ГЕНЕТИКА - Підручник - А.В. Сиволоб - 2008
РОЗДІЛ 3. Формальна генетика: закономірності спадкування ознак
ВІДХИЛЕННЯ ВІД МЕНДЕЛІВСЬКИХ РОЗЩЕПЛЕНЬ
Установлення факту відхилення: критерій χ2
Перш ніж з'ясовувати причини та механізми відхилень, у кожному конкретному випадку слід відповісти на питання, чи дійсно має місце таке відхилення від очікуваного за Менделем розподілу ознак. Адже відсутність відповідності між очікуваним та реальним співвідношенням фенотипів може бути викликана просто випадковими відхиленнями. Проілюструємо це на простому прикладі підкидання монеток з наступним падінням орлом або решкою. Зрозуміло, що ймовірність падіння на орла / решку становить 1/2, тобто очікуване співвідношення падінь дорівнює 1 : 1. Конкретно на 10 підкидань має бути приблизно 5 падінь на орла та 5 - на решку. Ключовим у попередньому реченні є слово "приблизно" - чим більше буде підкидань, тим ближчим до очікуваного буде результат. Через випадкові відхилення зазвичай (у чому можна легко переконатися) спостерігаються співвідношення на кшталт 3-7 падінь на орла та 7-3 на решку (а 7 : 3 = 2,333:1, що суттєво відрізняється від теоретично очікуваного співвідношення).
Отже, випадкові відхилення можуть приводити до різниці між теоретично очікуваними розщепленнями та такими, що спостерігаються в досліді. Чим більший розмір вибірки, тим меншими будуть такі відхилення. Якщо експериментальні дані відрізняються від теоретично очікуваних тільки за рахунок випадкових відхилень, то кажуть, що виправдовується нульова гіпотеза. У протилежному разі необхідно запропонувати інше пояснення розщепленням, які спостерігаються, а отже, запропонувати іншу гіпотезу.
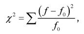
Для оцінки нульової гіпотези в математичній статистиці користуються χ2-критерієм. Величина χх2 кількісно відображає відхилення від очікуваного розподілу з урахуванням розміру вибірки:

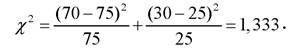
де f - кількість особин з фенотипами певного класу у вибірці, f0 - очікувана кількість, знак суми вказує на підсумовування по всіх фенотипових класах (числом п). Припустимо, наприклад, що у схрещуванні гороху з жовтим і зеленим насінням (рис. 3.1) у другому поколінні отримано 70 рослин з жовтим насінням і 30 - із зеленим (n = 2). Нульова гіпотеза передбачає співвідношення 3 : 1, тобто очікувані кількості становлять відповідно 75 і 25. Застосування наведеної формули дає
![]()
Важливою характеристикою є також число ступенів свободи. Серед усіх фенотипових класів імовірність появи одного з них однозначно визначається ймовірностями решти класів, тобто число ступенів свободи m = n - 1. У нашому прикладі кількість фенотипових класів n = 2, а число ступенів свободи m = 1: для певної вибірки кількість особин одного класу автоматично дає кількість особин іншого класу. Число ступенів свободи важливо враховувати, оскільки зі збільшенням цієї величини росте й імовірність випадкового відхилення від очікуваних величин.
Після визначення числа ступенів свободи необхідно інтерпретувати значення χ2 стосовно ймовірності (1 - р) того, що відхилення від очікуваного розподілу є статистично значущими (не випадковими), - насправді, саме таке завдання найчастіше стоїть перед дослідником. Величина р залежить від значення х2 і числа ступенів свободи - зазвичай р установлюють, використовуючи спеціальні таблиці або графіки. На рис. 3.3 наведено у графічній формі табличні значення залежності р від χ2 для різних значень числа ступенів свободи. Якщо, наприклад, провести вертикальну лінію з точки 1,333 на осі абсцис до перетину з графіком для m = 1, то можна оцінити, що в нашому прикладі р ≈ 0,27.

Рис. 3.3. Залежність імовірності р від χ2 для чотирьох значень числа ступенів свободи m.
Зеленим зафарбовано зону p > 0,05, червоним - p < 0,05
Отриману величину р порівнюють з певним рівнем значущості а, який задає прийнятну для даного випадку ймовірність хибного визнання нульової гіпотези невірною: якщо р > а, нульову гіпотезу приймають; якщо р < α, - відкидають, визнаючи відхилення, що спостерігаються, статистично значущими. Зазвичай у біологічних дослідженнях використовують α = 0,05. Тобто, якщо р < 0,05, то з імовірністю > 0,95 (так звана довірча ймовірність 1 - α) відхилення, що спостерігаються, визнаються статистично значущими; для всіх інших значень р береться нульова гіпотеза. Отже, у нашому прикладі нульова гіпотеза виправдовується. У попередньому простому прикладі з підкиданням монети (також одна степінь вільності ) при семи випадіннях орла та трьох - решки χ2 = 1,6 і р ≈ 0,2 - нульова гіпотеза (у справедливості якої в даному випадку ніхто не сумнівається) також виправдовується.
Таблиця 3.2. Величини χ2 для двох значень р залежно від числа ступенів свободи
Число степенів вільності |
χ2 |
|
р = 0,05 |
р = 0,01 |
|
1 |
3,841 |
6,635 |
2 |
5,991 |
9,210 |
3 |
7,815 |
11,341 |
4 |
9,488 |
13,277 |
5 |
11,070 |
15,086 |
6 |
12,592 |
16,812 |
7 |
14,067 |
18,475 |
8 |
15,507 |
20,090 |
9 |
16,919 |
21,666 |
10 |
18,307 |
23,209 |
На практиці з метою перевірки нульової гіпотези порівнюють розраховане значення χ2 із таким критичним значенням, що відповідає р = α (рис. 3.3, табл. 3.2), і приймають нульову гіпотезу, якщо χ2 є меншим за критичний, та відкидають у протилежному випадку.