Химия 11 класс - контрольные и проверочные работы к учебнику О. С. Габриелян - 2016 год
Классификация химических реакций
ВАРИАНТ 1
Часть А. Тестовые задания с выбором одного правильного ответа
А1. Взаимодействие водорода с иодом относится к реакциям
1) соединения, экзотермическим
2) соединения, эндотермическим
3) обмена, экзотермическим
4) разложения, экзотермическим
А2. Реакция нейтрализации относится к реакциям
1) замещения
2) разложения
3) экзотермическим
4) окислительно-восстановительным
А3. Обратимой является реакция взаимодействия между
1) карбидом кальция и водой
2) серой и водородом
3) магнием и кислородом
4) калием и хлором
А4. Эндотермической является реакция
1) горения пропана
2) фотосинтеза
3) окисления глюкозы
4) гашения извести
А5. Окислительно-восстановительной является реакция, уравнение которой

А6. Процесс превращения уксусного альдегида в этанол относится к реакциям
1) гидрирования
2) изомеризации
3) гидратации
4) дегидратации
А7. По радикальному механизму протекает реакция
1) гидратации этилена
2) щелочного гидролиза 2-хлорпропана
3) омыления жиров
4) хлорирования бутана
А8. Какие из утверждений о химических реакциях верны?
А. Реакции обмена, протекающие с образованием осадка, являются практически необратимыми.
Б. Изомеризация бутана происходит с изменением состава его молекул.
1) верно только А
2) верно только Б
3) верны оба суждения
4) неверны оба суждения
А9. В результате реакции, термохимическое уравнение которой
![]()
образовалось 56 л (н. у.) оксида азота (II). Количество поглотившейся при этом теплоты равно
1) 90,4 кДж
2) 113 кДж
3) 226 кДж
4) 452 кДж
А10. Возрастанием энтропии сопровождается реакция, уравнение которой

Часть В. Тестовые задания с выбором трёх правильных ответов (В1 и В2) и на соответствие (В3)
В1. По ионному механизму протекают реакции, схемы которых

В2. Без изменения степеней окисления атомов протекают реакции

В3. Установите соответствие между типом реакции и уравнением, по которому она протекает.
|
ТИП РЕАКЦИИ A) соединения, эндотермическая Б) соединения, экзотермическая B) разложения, эндотермическая Г) обмена, экзотермическая |
УРАВНЕНИЕ РЕАКЦИИ
|
Часть С. Задания с развёрнутым ответом
С1. Рассчитайте ΔН° реакции
![]()
используя следующие данные:
![]()
С2. С помощью расчётов определите возможность восстановления водородом кальция из его оксида по следующим данным:
![]()
ВАРИАНТ 2
Часть А. Тестовые задания с выбором одного правильного ответа
А1. Горение метана
![]()
является реакцией
1) соединения, каталитической, эндотермической
2) разложения, каталитической, экзотермической
3) обмена, некаталитической, эндотермической
4) окислительно-восстановительной, некаталитической, экзотермической
А2. По реакции поликонденсации получают каждое из двух веществ
1) поливинилхлорид и фенолформальдегидную смолу
2) полистирол и бутадиеновый каучук
3) лавсан и капрон
4) полипропилен и полиакрилонитрил
А3. Обратимой является реакция взаимодействия между
1) карбидом алюминия и водой
2) иодом и водородом
3) карбонатом кальция и соляной кислотой
4) калием и кислородом
А4. Эндотермической является реакция, уравнение которой

А5. Окислительно-восстановительной является реакция, уравнение которой

A6. Процесс превращения этина в бензол относится к реакциям
1) гидрирования.
2) тримеризаци.
3) гидратации
4) дегидратации
А7. По радикальному механизму протекает реакция
1) нитрования пропана
2) гидратации пропена
3) гидролиза триолеата.
4) дегидратации этанола
А8. Какие из утверждений о химических реакциях верны?
А. Все реакции соединения являются экзотермическими.
Б. В химических реакциях процесс окисления не всегда сопровождается процессом восстановления.
1) верно только .
2) верно только .
3) верны оба суждения
4) неверны оба суждения
А9. При окислении оксида азота (II) объёмом 11,2 л в соответствии с уравнением реакции
![]()
выделилось 28,5 кДж теплоты. Тепловой эффект реакции равен
1) +57 кДж .
2) -228 кДж
3) -114 кДж .
4) +114кДж
А10. Возрастанием энтропии сопровождается реакция, уравнение которой

Часть В. Тестовые задания с выбором трёх правильных ответов (В1 и В2) и на соответствие (В3)
В1. По ионному механизму протекают реакции, схемы которых

В2. Без изменения степеней окисления атомов протекают реакции

В3. Установите соответствие между типом реакции и уравнением, по которому она протекает.
|
ТИП РЕАКЦИИ A) соединения, обратимая Б) соединения, необратимая B) обмена, обратимая Г) обмена, необратимая |
УРАВНЕНИЕ РЕАКЦИИ
|
Часть С. Задания с развёрнутым ответом
C1. Рассчитайте энтальпию образования ΔН° карбоната магния, используя следующие данные:

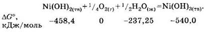
С2. С помощью расчётов определите возможность самопроизвольного окисления гидроксида никеля (II) кислородом в присутствии воды в стандартных условиях, используя следующие данные:


