Поурочные разработки по химии 11 класс
Урок упражнений в составлении уравнений ОВР - ХИМИЧЕСКИЕ РЕАКЦИИ - ПОУРОЧНЫЕ РАЗРАБОТКИ ПО ХИМИИ 11 класс - поурочные разработки - разработки уроков - авторские уроки - план-конспект урока - химия
Цели урока: совершенствовать умения и навыки в составлении ОВР методом электронного баланса, дать представление о составлении ОВР подстрочным и электронно-ионным методом.
Ход урока
I. Организационный момент. Проверка знаний учащихся
Выполнение домашнего задания у доски.

Устный опрос учащихся по следующим вопросам (кодотранспорант).
Теоретическая часть
1. Какие реакции называются окислительно-восстановительными?
2. Что называется процессом восстановления? Как изменяется С.О. элемента при восстановлении?
3. Что называется процессом окисления? Как изменяется С.О. элемента при окислении?
4. Определение понятия «восстановитель».
5. Определение понятия «окислитель».
6. Какие типы ОВР знаете?
7. Как предсказать функцию вещества по С.О. элемента?
8. Какие важнейшие окислители и восстановители известны?
Практическая часть
9. Какие из перечисленных ниже процессов представляют собой: окисление (о-е), какие — восстановление (в-е). Определите число отданных или принятых электронов.

10. Что происходит со С.О. восстановителя? Окислителя?
11. Предскажите функции следующих веществ в ОВР.
a) H2SO4; б) SO2; в) S; г) H2S.
а)
— окислитель, т. к. элемент сера проявляет максимальную С.О.
б)
— окислитель и восстановитель, т. к. элемент сера проявляет промежуточную С.О.
в)
— восстановитель, т.к. элемент сера проявляет минимальную С.О.
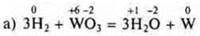
12. Составить уравнения ОВР методом электронного баланса.

II. Самостоятельная работа
|
Вариант I |
Вариант II |
|
|
|
Ответы на вопросы самостоятельной работы
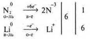
|
Межмолекулярная ОВР |
Межмолекулярная ОВР |
|
Межмолекулярная ОВР |
Межмолекулярная ОВР |
|
Межмолекулярная ОВР |
Реакция диспропорционирования |
II. Дополнительная информация
В оставшееся время урока следует ознакомить учащихся с подстрочным методом составления ОВР. Этот метод позволяет экономить время составления ОВР при выполнении тестовых заданий.
Задание: Определить сумму коэффициентов в уравнении ОВР.

1) Определить С.О. всех элементов
2) С учетом индексов, определить количество принятых и отданных электронов элементами.
3) Под формулой в уравнении поставить число отдельных или принятых электронов:
а)
— С.О. понизилась, принято 6 электронов;
б)
— С.О. повысилась, отдано 2 · 5 = 10 электронов.
Если есть возможность сократить значения на одно и то же число, следует сократить. В нашем случае сокращаем на два.
4) Найденные значения ставим так, чтобы количество отданных электронов оказалось перед формулой вещества, где они принимаются и наоборот:

5) Затем сравниваем количество всех атомов левой части уравнения и правой в той же последовательности, что и водород сравнивается предпоследним, кислород — последним.
Электронно-ионный метод дает возможность в конечном итоге выйти практически сразу на все коэффициенты уравнения. Почему электронно-ионный? Так как большинство ОВР происходят в растворах, среда может быть щелочной, нейтральной, то все вещества в растворах находятся в виде катионов и анионов, т.к. прошла их диссоциация. В схеме баланса записываются не отдельные элементы, а катионы и анионы, в состав которых они входят. Вещества, которые не диссоциируют, записываются молекулярной формулой. Обязательно учитываются количество кислородных атомов в этих частицах и самое главное — среда. Если время урока позволяет, то учащимся можно показать этот метод на определенной ОВР:

Общий ионный вид:

Полученные коэффициенты переносим в уравнение:
![]()
Если подстрочно, то так:

III. Домашнее задание
Составить ОВР тремя методами:
![]()
Ответ:
а) Подстрочный:

б) Электронный баланс:

Электронно-ионный:








