Поурочные разработки по химии 11 класс
Урок обобщающего повторения по теме «Неметаллы» - ВЕЩЕСТВА И ИХ СВОЙСТВА - ПОУРОЧНЫЕ РАЗРАБОТКИ ПО ХИМИИ 11 класс - поурочные разработки - разработки уроков - авторские уроки - план-конспект урока - химия
Цели урока: обобщить узловые вопросы темы; научить применять их в выполнении упражнений; повторить решение расчетных задач на выведение формул соединений.
Оборудование: карточки-задания с вопросами теории и практики, расчетными задачами.
Ход урока
I. Организационный момент
Постановка целей и задач урока, организация учащихся на выполнение вопросов карточек заданий.
Урок можно провести, организовав учащихся в группы по 4 человека, определив старшего в группе. Можно организовать парную работу. Все зависит от состава учащихся класса по способности к изучению предмета, отношения их к данному предмету, а также способности самостоятельно мыслить и работать. Как правило, на параллели уроки проходят по-разному. В классах повышенного уровня обычно идет групповая работа, а вот в классах с низкой мотивацией к обучению обсуждение вопросов теории проходит вместе с учителем; самостоятельную работу выполняют с возможностью обращения за помощью к учителю.
II. Самостоятельная работа
1. Особенности строения атомов-неметаллов. Степени окисления. Дать обоснованный ответ на конкретных примерах.
2. Каковы причины изменения неметалличности по периоду и по группе, главной подгруппе. Дать понятие электроотрицательности. Привести примеры.
3. Особенности физических свойств неметаллов — простых веществ. Виды химической связи. Типы кристаллических решеток. Привести примеры.
4. В чем причина аллотропных видоизменений неметаллов? Примеры аллотропных видоизменений.
5. Какими химическими свойствами обладают неметаллы — простые вещества? В каких случаях они проявляют:
а) окислительные свойства;
б) восстановительные свойства?
Дать обоснованный ответ на примере Cl2, Н2, SO2.
6. Как изменяются кислотно-основные свойства:
а) водородных соединений неметаллов (II период, VI группа, главная подгруппа);
б) оксидов неметаллов (VII группа, главная подгруппа, III период);
в) гидроксидов, образованных оксидами неметаллов (VII группа главная подгруппа, III период, в периодах, группах, главных подгруппах). В чем причина таких изменений?
7. Решение схемы превращений.

8. Решение расчетных задач на выведение формулы соединения:
а) по продуктам горения;
б) известной массовой доле элемента в соединении.
№ 1. Вывести формулу углеводорода, массовая доля водорода в котором составляет 20%. Относительная плотность углеводорода по воздуху 1,035.
№ 2. При сжигании углеводорода массой 5,2 г выделилось 8,96 л (н.у.) оксида углерода (IV) и 3,6 г воды. Относительная плотность этого вещества по водороду равна 13. Найти молекулярную формулу этого углеводорода.
Обсуждение вопросов теории и решение расчетных задач по времени занимает один урок — 45 минут.
Учащиеся подготовлены к предстоящему зачету по теме «Неметаллы».
III. Домашнее задание
Повторить § 19. № 8 (3), № 9 (2). Задачи № 18, 21.
Ответы на вопросы теории учащиеся могут отыскать, используя текст учебника, конспекты в рабочей тетради.
Примерные ответы
1. Пример. Особенности строения атомов неметаллов в сравнении О — кислород, S — сера, Ne — неон.
На внешнем энергетическом уровне 6 электронов; уровень близок к завершению; две пары спаренных электронов и два неспаренных.
С.О.-2 и +2.

На внешнем энергетическом уровне 6 электронов, до устойчивости не хватает двух электронов; две пары спаренных электронов и два неспаренных. В атоме возможно распаривание при возбуждении, т. к. возможно открытие 3d-подуровня.
С.О. минимальная: -2.
Промежуточная: +4. 3s23p33d1 (возбуждение первое).
Максимальная: +6. 3s13p33d2 (возбуждение второе).

На внешнем энергетическом уровне октет (8) электронов. Уровень устойчивый, завершенный. Все электроны спаренные.
С.О. -0.
2. Причиной изменения неметалличности по периодам и в группах главных подгруппах является изменение заряда ядра атома, радиуса атома, количества электронов внешнего энергетического уровня.
К концу периода возрастает заряд ядра атома, количество электронов на внешнем энергетическом уровне, вследствие чего атомный радиус уменьшается, усиливается неметалличность, способность принимать электроны. К концу группы главной подгруппы возрастает заряд ядра, увеличивается количество энергетических уровней, не изменяется количество электронов на внешнем энергетическом уровне, неметалличность ослабевает, нарастает металличнось — отдача электронов. Электрооотрицательность — количественная характеристика неметалличности. Она увеличивается к концу периода и к началу группы главной подгруппы.
Пример: II период, неметалличность, ЭО возрастает в ряду: В, С, N, О, F.
V группа главная подгруппа. Неметалличность возрастает в ряду: Bi, Sb, As, Р, N.
3. Причиной аллотропии является строение атома элемента. Чем больше в атоме неспаренных электронов, тем больше возможностей у атома образовывать химические связи друг с другом по-разному и в разном количестве входить в состав молекулы.
Пример: Р — красный фосфор, Р4 — белый фосфор, S8 — сера кристаллическая, Sn — сера пластическая, O2 — кислород, O3 — озон.
4. Атомы-неметаллы образуют простые вещества-неметаллы с ковалентной неполярной связью, молекулярными или атомными кристаллическими решетками.
В результате химических реакций возможно присоединение электронов, проявление окислительных свойств.
Пример:

Если в результате химических реакций происходит отдача электронов — неметалл выступает восстановителем.

5. а) Водородные соединения II периода: ![]()
![]()
К концу периода усиливается кислотный характер, ослабевает основной, т. к. С.О. возрастает, радиус иона уменьшается.
VI группа главная подгруппа: ![]()
К концу группы главной подгруппы увеличивается радиус иона, С.О. остается неизменной, усиливается кислотный характер, ослабевает основной.
б) Оксиды неметаллов.
III период: ![]()
К концу периода возрастает С.О., уменьшается радиус иона, усиливается кислотный характер.
VII группа главная подгруппа: ![]()
С.О. остается неизменной, радиус иона возрастает, кислотные свойства ослабевают.
в) Гидроксиды — кислоты кислородсодержащие.
Причины те же, что и у оксидов в периодах — возрастает сила кислоты к концу периода.
![]()
В группах, главных подгруппах ослабевает сила кислот к концу группы главной подгруппы.

8. Задача 1:
I способ

СН3 — простейшая формула.
MCH3 г/моль
![]()
- настоящая формула
II способ
СxНу — углеводород;
= 1 моль;


CH3 — простейшая формула: MCH3 = 15 г/моль.
![]()
C2H6 — настоящая формула.
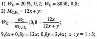
Задача 2:

СН — простейшая формула,
MCH = 13 г/моль.
![]()
С2Н2 — настоящая формула.
Ответы к домашнему заданию
§ 19 № 8 (3)


Задача 18

SiH3 — простейшая формула. MSiH3 = 31 г/моль.
![]()
- настоящая формула.
Задача 21

С2Н3 — простейшая формула; MC2H3 = 27 г/моль.
![]()
С4Н6 — настоящая формула.