Поурочные разработки по химии 11 класс
Урок-лекция по теме «Валентные возможности атомов химических элементов. Степень окисления»
Цель урока: дать понятия «валентность», «валентные электроны», научить определять валентность атома в основном состоянии; закрепить знания о возбужденном состоянии атома и научить определять его валентные возможности; закрепить знание понятия «степень окисления» (С.О.), научить определять С.О. в бинарных соединениях и более сложного состава; убедиться в существенном различии понятий «степень окисления» и «валентность атома»; дать представление об атомах-донорах и атомах-акцепторах.
Основные понятия: валентность, основное и возбужденное состояние атома, валентные электроны, атом-донор, атом-акцептор, степень окисления.
Оборудование: ПСХЭ Д.И. Менделеева, таблицы «Электронное строение атома».
Ход урока
I. Организационный момент
Учитель сообщает учащимся о результатах работы на уроке-семинаре, рассматривает типичные ошибки выполнения самостоятельной работы, а
также домашних заданий в рабочих тетрадях некоторых учащихся. Рекомендуется некоторые замечания объяснить учащимся в индивидуальном порядке. Обязательно отметить положительную работу учащихся в рабочих тетрадях.
В дальнейшем следует ознакомить учащихся с темой урока и теми целями, которые будут перед ними поставлены в ходе изучения данного вопроса. Следует ознакомить с планом изложения учебного материала (желательно его записать либо на доске, либо на кодотранспоранте).
II. Вступительная беседа
Вы никогда не задумывались над таким фактом, почему атом фосфора образует множество соединений?
а) с водородом — РН3.
б) с кислородом — Р2O5; Р2O3;
атом хлора:
а) с водородом — НСl;
б) с кислородом — Сl2O3; Сl2O; Сl2o7.
Нам предстоит выяснить, вследствие каких причин возможно такое.
III. Изучение нового материала
План изложения материала
1. Основное состояние атома. Валентность. Валентные электроны на примере атомов Li, С, Н, Сl, Мn.
2. Валентные возможности атомов химических элементов, атом-донор, атом-акцептор.
3. Возбужденное состояние атомов химического элемента.
4. Степень окисления. Определение С.О. в соединениях;
минимальные промежуточные и максимальные — С.О.
Понятия С.О. и валентности и их существенное различие.
Атомы химических элементов в основном состоянии на внешнем энергетическом уровне могут иметь электроны спаренные и неспаренные. Электроны этих уровней, а иногда и предвнешних уровней могут принимать участие в образовании химических связей.
Такие электроны называются валентными. В первую очередь валентность атома определяется числом неспаренных электронов, принимающих участие в образовании химической связи. Далее объяснение учителя сопровождается составлением таблицы.
У s- и p-элементов валентные электроны расположены на s- и р-подуровнях внешнего энергетического уровня.
У d-элементов — на s-подуровне последнего энергетического уровня и d-подуровне предвнешнего энергетического уровня.
У f-элементов — на s-подуровне последнего энергетического уровня и d-подуровне предпоследнего энергетического уровня и f-подуровень, третьего с края энергетического уровня.
Вместе с учителем составляется таблица.
Расположение валентных электронов элементов разных семейств
|
Семейства элементов |
Подуровни, на которых располагаются валентные электроны |
Энергетические уровни |
|
s-элементы |
s-подуровень |
внешний энергетический уровень |
|
р-элементы |
s- и р-подуровни |
внешний энергетический уровень |
|
d-элементы |
s-подуровень d-подуровень |
внешнего энергетического уровня предвнешний энергетический уровень |
|
f-элементы |
s-подуровень d-подуровень f-подуровень |
внешний энергетический уровень предвнешний энергетический уровень третий с края энергетический уровень |
Все валентные электроны определяют основные свойства элементов. Уровни, подуровни, на которых располагаются валентные электроны, называются валентными.
Учащиеся вместе с учителем составляют электронные и электронно-графические формулы s-, р-, d-, f-элементов в основном состоянии.
Литий (Li): +3; 3е-, 1s22s1; s-элемент, атом имеет один неспаренный s-электрон, валентность лития — 1.

Фосфор (Р): +15; 15е-.
1s22s22p63s23p3; p-элемент.

Фосфор имеет пять валентных электронов — два спаренных s-электрона и 3 неспаренных р-электрона.
Марганец (Мn): +25; 25е-.
1s22s22p63s23p64s23d5; d-элемент.

Марганец имеет семь валентных электронов, два спаренных s- электрона и пять неспаренных d-электронов.
Однако следует помнить, что в первую очередь в реакцию вступают неспаренные электроны последнего энергетического уровня. В зависимости от заполнения последнего энергетического уровня химические элементы делятся на активные, если есть неспаренные электроны, и малоактивные, если есть парные — спаренные электроны. На основании строения атома в основном состоянии можно определить металличность и неметалличность элемента. Если на последнем энергетическом уровне электронов меньше, чем три — это металлический элемент; в нашем случае Li, Мn — металлические элементы; если электронов на последнем энергетическом уровне больше, чем четыре, это неметаллический элемент, в нашем случае это Р. Следовательно, все s-, d-, f-элементы — это металлические элементы; а p-элементы могут быть и металлические и неметаллические.
В ПСХЭ по диагонали от В к At все p-элементы выше диагонали — неметаллические, ниже — металлические. По строению атома элементы, у которых на внешнем энергетическом уровне три или четыре электрона, считаются переходными элементами; многие d-элементы — металлические с переходными свойствами.
Таким образом, валентность элемента в первую очередь определяется количеством неспаренных электронов внешнего энергетического уровня. Однако: каким же образом атом углерода в основном состоянии С; +6; 6е-, 1s22s22p2, р-элемент, 2 неспаренных электрона (следовательно, его валентность — два) может проявить валентность четыре?

Известно, что если в атоме элемента имеются свободные орбитали, то в случае имеющейся энергии извне возможно распаривание парных электронов и переход электрона на свободную орбиталь. Атом в таком случае находится в возбужденном состоянии. В случае с атомом углерода на р-подуровне имеется свободная орбиталь. В возбужденном состоянии происходит переход одного s-электрона с 2s-подуровня на свободную орбиталь 2р-подуровня. Затрата Е равна 400 кДж/моль. Она компенсируется при образовании двух моль С—Н связей, выделяется 720 кДж/моль. что превышает энергию перевода атома углерода в возбужденное состояние на 320 кДж/моль.

Вследствие чего в атоме углерода образуется четыре неспаренных углерода, валентность углерода равна четырем.
Вопрос: Чем же определяются валентные возможности атомов?
Ответ: Валентные возможности атомов определяются числом неспаренных электронов в основном и в возбужденном состоянии.
Однако валентные возможности атомов могут определяться и числом пустых орбиталей, и числом неподеленных электронных пар.
Атом элемента, предоставляющий неподеленную электронную пару, называется атом-донор, атом-акцептор имеет свободные орбитали и предоставляет их неподеленным парам электронов.
Пример: Азот (N): +7, 7е-.
1s22s22p3; р-элемент.

На внешнем энергетическом уровне в основном состоянии: пара спаренных s-элементов и три неспаренных p-электрона, валентность по количеству неспаренных электронов — три, а также атом азота — атом-донор, предоставляет неподеленную пару s-электронов. В основном состоянии атом азота проявляет валентность четыре.
Сделаем общий вывод о валентных возможностях атомов химических элементов.
Валентные возможности атомов определяются:
1) количеством неспаренных электронов в основном и в возбужденном состоянии;
2) наличием неподеленных пар электронов, и быть атомами-донорами;
3) числом пустых орбиталей, и быть атомами-акцепторами.
В качестве закрепления учащиеся выполняют задание: определить валентные возможности атомов а) фосфора; б) хлора в основном и в возбужденном состоянии.
Фосфор (Р): +15; 15е-.


В основном состоянии атом фосфора может проявить валентность:
— три — т. к. в атоме три неспаренных p-электрона;
— четыре — т. к. атом фосфора, атом-донор, может предоставить пару электронов для образования химической связи.

Если атом фосфора находится в возбужденном состоянии, то возможен переход s-электрона с подуровня 3s на подуровень 3d — на свободную орбиталь, вследствие чего в атоме появляются пять неспаренных электронов, что обеспечивает валентность атома фосфора — пять.
Хлор (Сl), +17, 17е-;

В основном состоянии валентность — один (один неспаренный p-электрон), хлор — атом-донор и может предоставить пары спаренных электронов и проявлять в основном состоянии валентность, равную один, два, три, четыре.

Первое возбужденное состояние — переход р-электрона (одного на 3d-подуровень): три неспаренных электрона — валентность — три; атом-донор — валентность — четыре, пять.

Второе возбужденное состояние — переход p-электрона (следующего с p-подуровня, на 3d-подуровень): пять неспаренных электронов — валентность — пять; атом-донор — валентность — шесть.

Третье возбужденное состояние — семь неспаренных электронов; валентность — семь.

Максимальная валентность атомов химических элементов II периода всегда четыре, так как на II энергетическом уровне возможно открытие только четырех орбиталей: одной s- и трех р-; у элементов III периода возможно открытие 9 орбиталей — одной s-; трех р- и пяти d-. Они могут проявлять валентность до максимальной (9), однако известна только 8. (В дальнейшем мы узнаем конкретно, какие элементы и в каких соединениях имеют такую валентность.)
Как правило, валентность записывается римской цифрой у элемента в соединении.
Пример: ![]()
Однако у элементов в соединении определяется не только валентность, но и степень окисления. Одно ли это понятие?
Валентность атома — это количество общих электронных пар, которые данный атом образует с другими атомами в данном соединении, учитывая его валентные возможные, которые он проявил в данном соединении.
Степень окисления (С.О.) — условный заряд, который приобретает атом в соединении в случае смещения электронов от атома — положительный заряд и, наоборот, смещение электронов к атому — отрицательный заряд, если считать все связи в веществе ионными.
Если в соединении атом не проявляет валентность как донор, то степень окисления (С.О.) численно совпадает с валентностью.
Пример:

В образовании связи азот выступил как атом-донор. С.О. может быть минимальной (min), максимальной (шах) и промежуточной.
C.O.min определяется числом валентных мест в незавершенном энергетическом уровне для неметаллических элементов. У атома углерода C.O.mjn = -4, т. к. до устойчивости внешнего энергетического уровня атома углерода — до 8 электронов — число валентных мест четыре, у атома азота C.O.min = -3; кислорода C.O.min = -2.
Максимальная С.О. определяется числом электронов внешнего энергетического уровня s- и р-электронов (суммой), а также суммой s- и d-электронов для d-элементов.
Пример: атом марганца — это d-элемент, металлический. У металлических элементов С.О. соответствует количеству электронов внешнего энергетического уровня.
Для металлических элементов s- либо +1, +2: s- и р- +3, +4 для d-элементов, Мn 4s23d5 минимальная, у марганца +2; максимальная сумма s- и d-электронов +7.
Промежуточные С.О. возможны от 0, +1, +2 +3 +4, +5, +6, +7. Однако устойчивыми считаются 0, +2, +4, +6, +7.
Далее необходимо объяснить учащимся определение С.О. элементов в соединениях.
а) бинарные соединения:
— определить элемент более электроотрицательный, к которому смещаются электроны, и его минимальную С.О., в данном случае это сера; min = -2.
Молекула всегда электронейтральна, следовательно произведение С.О. электроотрицательного элемента на количество атомов по абсолютной величине равно произведению его электроположительного элемента на количество атомов.
2х = 6; х = 3. С.О. алюминия+3;
б) соединения более сложного состава:
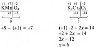
— поставить С.О. известных элементов, в данном случае это кислород -2 и калий +1; неизвестный элемент — х.
Далее так же, как и в бинарных соединениях.
(+1) · 1 + x + (-2) · 4 = 0;
+ 1 + x — 8 = 0; 1 + х = 8; х = +7.
По абсолютной величине верно х = +7.
1 + х = 8; х = 7; х = +7;
либо по схеме:

Если соединение с неполярной ковалентной связью — простое вещество, то С.О. равно 0.
![]()
В органических соединениях С.О. углерода определяется у каждого в отдельности, учитывая С.О. элементов, связанных с ним.

Углерод во всех соединениях четырехвалентен, однако С.О. имеет различные. Этот факт еще раз подтверждает то, что С.О. и валентность не одно и то же понятие.
II. Домашнее задание
§ 4, № 5, 6, 7 (S); № 1, 2, 3 (устно).
Некоторым учащимся предложить подготовить сообщения к следующему уроку по теме:
1. Работы ученых — предшественников Д.И. Менделеева.
2. Открытие Д.И. Менделеевым Периодического закона.
3. Периодический закон и строение атома. Современная формулировка закона.