Химия - учебно-практический справочник
Амфотерные соединения - Основные классы неорганических соединений - Неорганическая химия
|
Амфотерные соединения |
||
|
оксиды |
гидроксиды |
|
|
проявляют двойственные свойства, т. е. реагируют и с кислотами, и с основаниями |
||
|
Al2O3, ZnO |
|
|
Химические свойства
|
оксидов |
гидроксидов |
|
|
|
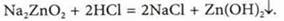
Получение Аl(ОН)3 и Zn(OH)2
1. Взаимодействие солей со щелочами в растворе:
![]()
2. Взаимодействие алюминатов и цинкатов с кислотами:
![]()

