Химия - учебно-практический справочник
Характерные химические свойства простых веществ — переходных металлов (медь, цинк, хром) - Металлические элементы и их соединения. Металлы - Неорганическая химия
Медь
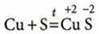
1. Взаимодействие с простыми веществами:
а) с галогенами: ![]()
б) с кислородом: ![]()
в) с серой: ![]()
2. Взаимодействие со сложными веществами — кислотами:

Цинк
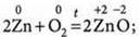
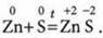
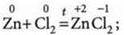
1. Взаимодействие с простыми веществами:
а) с галогенами: ![]()
б) с кислородом: ![]()
в) с серой: ![]()
2. Взаимодействие со сложными веществами:
а) с водой: ![]()
б) со щелочами: ![]()
в) с растворами щелочей: 
г) с концентрированной H2SO4 в зависимости от условий протекания реакции может выделиться SO2. S или H2S:

д) с разбавленной H2SO4: ![]()
е)

По уравнениям реакций видно, что Zn имеет двойственную природу: реагирует с кислотами, со щелочами, т. е. его соединения (оксид и гидроксид) обладают амфотерными свойствами.
Хром
Поверхность хрома покрыта очень тонкой, но химически устойчивой пленкой оксида, которую даже кислоты разрушают с трудом. Даже во влажном воздухе он совершенно не изменяется. Разбавленные кислоты НСl и H2SO4 с хромом начинают реагировать только через некоторое время, после разрушения оксидной пленки:
![]()
HNO3 пассивирует хром.