Оксиды - Основные классы неорганических соединений - Неорганическая химия

Химия - учебно-практический справочник

Оксиды - Основные классы неорганических соединений - Неорганическая химия

Оксиды — сложные вещества, состоящие из атомов двух элементов, одним из которых является кислород (EmOn)

солеобразующие


несолеобразующие

кислотные

основные

амфотерные

N2O, NO, СО, SiO

образуют неметаллические элементы и металлы с валентностьюV-VII (SO3, Мn2O7)

образуют металлы с валентностью I, II (Li2O, СаО)


образуют металлы с валентностью III, IV (Аl2O3). исключение: ВеО, PbO, ZnO, SnO



Получение оксидов

1. Взаимодействие простых веществ с кислородом:

2. Разложение гидроксидов:

3. Разложение кислот и солей кислородосодержащих кислот (нитратов, карбонатов, сульфатов):


Химические свойства солеобразующих оксидов

1. Отношение к воде:

а) оксиды щелочных и щелочноземельных металлов с водой образуют щелочи:

б) кислотные оксиды с Н2O образуют соответствующие кислоты (кроме SiO2):

2. Отношение к кислотам:

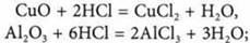
а) основные и амфотерные оксиды взаимодействуют с кислотами и образуют соли и воду:

б) при избытке многоосновной кислоты образуется кислая соль:

При избытке оксида, которому соответствует многокислотное основание, образуется основная соль:

3. Отношение к основаниям:

а) оксиды щелочных и щелочноземельных металлов при сплавлении реагируют с амфотерными основаниями:

б) амфотерные оксиды взаимодействуют только со щелочами:

• при сплавлении твердых веществ образуется средняя соль

• в растворе образуется комплексная соль

в) кислотные оксиды взаимодействуют и образуют соли и воду: со щелочами:

с нерастворимыми основаниями (при сплавлении):

4. Отношение к солям. Реагируют только во время сплавления:

Оксиды имеют названия по международной номенклатуре, а некоторые — еще и тривиальные. Второе слово в химическом названии оксида является названием соответствующего элемента:

SO3 — оксид серы(VI), SO2 — оксид серы(IV), FeO — оксид железа(II).






Для любых предложений по сайту: fun-project@cp9.ru