Химия самостоятельная подготовка к ЕГЭ - универсальные материалы с методическими рекомендациями, решениями и ответами - 2018 год
Задания для самостоятельной работы - Урок 3 - ОРГАНИЧЕСКАЯ ХИМИЯ
1. Вещество с молекулярной формулой С4Н8 может относиться к классам
1) алкенов
2) алканов
3) диенов
4) алкинов
5) циклоалканов
Ответ: ![]()
2. Общая формула алкенов

Ответ: ![]()
3. К соединениям, имеющим общую формулу СnН2n, относятся
1) бензол
2) циклогексан
3) гексан
4) гексин
5) пропен
Ответ: ![]()
4. К простым эфирам относится вещество, формула которого

Ответ: ![]()
5. Функциональную группу альдегидов содержит
1) муравьиная кислота
2) пропанон
3) диэтиловый эфир
4) ацетальдегид
5) пропанол-1
Ответ: ![]()
6. Соединения, в состав которых входит функциональная группа —NH2, могут относиться к классам
1) аминов
2) нитросоединений
3) карбоновых кислот
4) аминокислот
5) альдегидов
Ответ: ![]()
7. Метаналь и формальдегид являются
1) гомологами
2) структурными изомерами
3) геометрическими изомерами
4) одним и тем же веществом
Ответ: ![]()
8. Установите соответствие между названием вещества и его принадлежностью к определенному классу органических соединений.
|
НАЗВАНИЕ ВЕЩЕСТВА А) пентанол Б) декан В) бутаналь Г) пропин |
КЛАСС ОРГАНИЧЕСКИХ СОЕДИНЕНИЙ 1) углеводороды 2) спирты 3) амины 4) альдегиды 5) эфиры 6) кислота |
|
А |
Б |
В |
Г |
9. Установите соответствие между названием соединения и его принадлежностью к определенному классу органических веществ.
|
НАЗВАНИЕ СОЕДИНЕНИЯ А) ацетон Б) анилин В) этилформиат Г) дихлорметан |
КЛАСС / ГРУППА ОРГАНИЧЕСКИХ ВЕЩЕСТВ 1) галогенопроизводные углеводородов 2) амины 3) карбонильные соединения 4) спирты 5) сложные эфиры 6) простые эфиры |
|
А |
Б |
В |
Г |
10. Пространственные цис-, транс-изомеры имеют вещества
1) 3-метилгексен-.
2) 2,2-диметилпента.
3) бутен-2
4) циклогексан
5) бутин-2
Ответ: ![]()
11. Для вещества состава С3Н8 характерно(а):
1) существование структурных изомеров
2) наличие π-связи между атомами углерода
3) sр2-гибридизация орбиталей атомов углерода
4) газообразное агрегатное состояние
5) реакция замещения
Ответ: ![]()
12. Структурным изомером нормального гексана является
1) 3-этилпентан
2) 2,3-диметилпентан
3) 3-метилпентан
4) 2,2-диметилбутан
5) 2,2-демитилпропан
Ответ: ![]()
13. Бутаналь и 2-метилпропаналь являются
1) гомологами
2) структурными изомерами
3) геометрическими изомерами
4) одним и тем же веществом
Ответ: ![]()
14. Изомерами являются
1) пентан и пентадиен-1,3
2) уксусная кислота и метилформиат
3) этан и ацетилен
4) этиловый спирт и этаналь
5) метилциклобутан и пентен-1
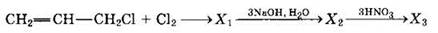
Ответ: ![]()
15. Гомологами являются
1) этен и метан
2) пропан и бутан
3) бензол и циклогексан
4) формальдегид и этаналь
5) этин и пропадиен
Ответ: ![]()
16. Гомологом уксусной кислоты являются кислоты
1) хлоруксусная
2) муравьиная
3) олеиновая
4) бензойная
5) стеариновая
Ответ: ![]()
17. Какие из утверждений верны?
А. Циклоалканы изомерны ароматическим углеводородам.
Б. Алкины изомерны диеновым углеводородам.
1) верно только .
2) верно только Б
3) верны оба утверждени.
4) оба утверждения неверны
Ответ: ![]()
18. Одному и тому же веществу соответствуют формулы:

Ответ: ![]()
19. В молекуле 2,2-диметилбутана тип гибридизации атомных орбиталей атомов углерода
1) только sp3 .
2) только sp2 .
3) sp3 и sp2
4) sp3, sp2 и sp
Ответ: ![]()
20. В молекуле ацетилена имеются
1) одна σ-связь
2) две σ-связи
3) три σ-связи
4) одна π-связь
5) две π-связи
Ответ: ![]()
21. При взаимодействии 1 моль СН4 с 2 моль Сl2 при освещении получается преимущественно
1) хлорметан
2) дихлорметан
3) хлороформ
4) тетрахлорэтан
Ответ: ![]()
22. Из предложенного перечня выберите два вещества, с которыми взаимодействует пропан.
1) натрий
2) хлор
3) водород
4) раствор перманганата калия
5) азотная кислота
Ответ: ![]()
23. При действии спиртового раствора щелочи на 2-хлорбутан преимущественно образуется
1) 1-бутен
2) 2-бутен
3) циклобутан
4) метилциклопропан
Ответ: ![]()
24. Превращение бутана в бутен относится к реакции
1) полимеризации
2) дегидрирования
3) дегидратации
4) изомеризации
Ответ: ![]()
25. 2-метилбутен-1 не взаимодействует с
1) бромом
2) оксидом меди(II)
3) водородом
4) азотом
5) кислородом
Ответ: ![]()
26. При гидрировании алкенов образуются
1) алканы
2) алкины
3) алкадиены
4) спирты
Ответ: ![]()
27. Продуктом реакции пропена с хлором является
1) 1,2-дихлорпропен
2) 2-хлорпропен
3) 2-хлорпропан
4) 1,2-дихлорпропан
Ответ: ![]()
28. Продуктом взаимодействия бутена-1 с бромоводородом является
1) 1-бромбутен-2
2) 1,2-дибромбутан
3) 2-бромбутан
4) 1,2-дибромбутен-2
Ответ: ![]()
29. И бутан, и бутилен реагируют с
1) бромной водой
2) раствором КМnO4
3) водородом
4) хлором
5) кислородом
Ответ: ![]()
30. Бромэтан можно получить взаимодействием
1) бромоводорода и этанола
2) брома и этилена
3) бромоводорода и этилена
4) бромной воды и этана
5) бромметана и натрия
Ответ: ![]()
31. При действии водного раствора щелочи на монобромалканы преимущественно образуются
1) алканы
2) алкены
3) спирты
4) альдегиды
Ответ: ![]()
32. Этилен можно получить
1) дегидратацией этанола
2) восстановлением уксусной кислоты
3) гидрированием ацетальдегида
4) гидролизом этилацетата
5) термическим разложением этана
Ответ: ![]()
33. При взаимодействии 2-метилбутена-2 с бромоводородом преимущественно образуется
1) 2-бром-2-метилбутан
2) 1-бром-2-метилбутан
3) 2,3-дибром-2-метилбутан
4) 2-бром-3-метилбутан
Ответ: ![]()
34. Какое из веществ вступает в реакцию гидратации в соответствии с правилом В.В. Марковникова?

Ответ: ![]()
35. Присоединение НСl к бутену-1 приводит к образованию преимущественно
1) 1-хлорбутана.
2) 1-хлорбутена
3) 2-хлорбутана.
4) 2-хлорбутена
Ответ: ![]()
36. Присоединение НСl к метилпропену в соответствии с правилом Марковникова приводит к образованию
1) 2-метил-2-хлорпропана
2) 2-метил-1-хлорпропана
3) 2-метил-2-хлорпропена
4) 2-метил-1-хлорпропена
Ответ: ![]()
37. Бензол в одну стадию можно получить из
1) этилена
2) ацетилена
3) циклогексана
4) гексанола
5) фенола
Ответ: ![]()
38. Бензол не взаимодействует с
1) бромом
2) азотной кислотой
3) бромоводородом
4) раствором перманганата калия
5) кислородом
Ответ: ![]()
39. С водородом реагирует каждое из двух веществ:
1) пропин и изобутан
2) бутан и пропадиен
3) бензол и этаналь
4) дивинил и этанол
Ответ: ![]()
40. Этанол в одну стадию можно получить из
1) пропанола
2) хлорэтана
3) этаналя
4) ацетилена
5) этиленгликоля
Ответ: ![]()
41. При щелочном гидролизе 2-хлорбутана преимущественно образуется
1) бутанол-2
2) бутанол-1
3) бутаналь
4) бутен-2
Ответ: ![]()
42. При щелочном гидролизе 1,2-дихлорпропана образуется
1) пропанол-1
2) пропаналь
3) пропанол-2
4) пропандиол-1,2
Ответ: ![]()
43. Для предельных одноатомных спиртов характерно взаимодействие с
1) NaOH(p-p) .
2) Na .
3) Си(ОН)2
4) НСl
5) Сu
Ответ: ![]()
44. Пропанол не взаимодействует с
1) Ag
2) O2
3) НСl
4) K
5) H2
Ответ: ![]()
45. При дегидратации этилового спирта могут образовываться
1) бутан .
2) этен .
3) этин
4) пропен
5) диэтиловый эфир
Ответ: ![]()
46. При окислении пропанола-1 могут образовываться
1) пропилен
2) пропанон
3) пропаналь
4) пропановая кислота
5) пропан
Ответ: ![]()
47. При окислении этанола оксидом меди(II) образуется
1) формальдегид.
2) ацетальдегид
3) муравьиная кислота
4) диэтиловый эфир
Ответ: ![]()
48. Многоатомные спирты можно обнаружить
1) раствором КМnO4
2) Ag2O (в аммиачном растворе)
3) Сu(ОН)2 (щелочной р-р)
4) бромной водой
Ответ: ![]()
49. Из предложенного перечня выберите два вещества, с которыми взаимодействует фенол
1) соляная кислота
2) гидроксид натрия
3) бромная вода
4) этилен
5) метан
Ответ: ![]()
50. Кислотные свойства наиболее выражены у
1) фенола
2) метанола
3) этанола
4) глицерина
Ответ: ![]()
51. При взаимодействии фенола с натрием образуются
1) фенолят натрия и вода
2) фенолят натрия и водород
3) бензол и гидроксид натрия
4) бензоат натрия и водород
Ответ: ![]()
52. При взаимодействии ацетальдегида с водородом образуется
1) ацетилен
2) уксусная кислота
3) этанол
4) этиленгликоль
Ответ: ![]()
53. Из предложенного перечня выберите два вещества, с которыми взаимодействует уксусный альдегид
1) водород
2) гидроксид меди(II)
3) соляная кислота
4) этан
5) оксид кальция
Ответ: ![]()
54. При гидратации этина в присутствии сульфата ртути(II) образуется
1) этанол
2) этаналь
3) этановая кислота
4) диэтиловый эфир
Ответ: ![]()
55. При окислении пропаналя образуется
1) пропановая кислота
2) пропанол-1
3) пропен
4) пропанол-2
Ответ: ![]()
56. Уксусная кислота не взаимодействует с
1) Mg .
2) Cu(OH)2 .
3) Сu
4) SiO2
5) NaOH
Ответ: ![]()
57. При взаимодействии муравьиной кислоты с магнием образуются
1) формиат магния
2) карбонат магния
3) ацетат магния
4) водород
5) вода
Ответ: ![]()
58. При сливании растворов уксусной кислоты и гидроксида калия образуются
1) ацетат калия
2) карбонат калия
3) формиат калия
4) вода
5) водород
Ответ: ![]()
59. Между собой могут взаимодействовать
1) уксусная кислота и карбонат натрия
2) глицерин и сульфат меди(II)
3) фенол и гидроксид меди(II)
4) метанол и углекислый газ
5) ацетальдегид и водород
Ответ: ![]()
60. Какие вещества образуются в организме человека в результате полного окисления глюкозы?
1) СO2 .
2) СО .
3) Н2O
4) NH3
5) N2
Ответ: ![]()
61. Дисахаридом является углевод, название которого
1) крахмал
2) сахароза
3) глюкоза
4) целлюлоза
Ответ: ![]()
62. Альдегидоспиртом является
1) глюкоза
2) фруктоза
3) сахароза
4) крахмал
Ответ: ![]()
63. Полисахаридом является
1) глюкоза
2) рибоз.
3) сахароза
4) крахмал
Ответ: ![]()
64. Этанол образуется при спиртовом брожении
1) целлюлозы .
2) глюкозы
3) крахмала .
4) сорбита
Ответ: ![]()
65. Взаимодействие пропена и бромоводорода
1) протекает по правилу Марковникова
2) приводит к образованию 2-бромпропана
3) относится к реакциям замещения
4) не сопровождается разрывом π-связи
5) осуществляется по ионному механизму
6) приводит к образованию 2,2-дибромпропана
Ответ: ![]()
66. В соответствии со схемой реакции (дайте три верных ответа)
![]()
происходит взаимодействие между
1) серной кислотой и пропанолом-1
2) метилпропионатом и этанолом
3) масляной кислотой и пропанолом-1
4) метанолом и этанолом
5) бутанолом-1 и олеиновой кислотой
6) пальмитиновой кислотой и метанолом
Ответ: ![]()
67. Из предложенного перечня выберите три вещества, с которыми взаимодействует аланин.

Ответ: ![]()
68. Какие из следующих утверждений верны?
А. Анилин легче реагирует с бромом, чем бензол.
Б. Анилин является более сильным основанием, чем аммиак.
1) верно только А
2) верно только Б
3) верны оба утверждения
4) оба утверждения неверны
Ответ: ![]()
69. Более сильные основные свойства, чем метиламин проявляют
1) анилин
2) аммиак
3) диметиламин
4) дифениламин
5) триметиламин
Ответ: ![]()
70. Более слабые основные свойства, чем аммиак, проявляют
1) этил амин
2) диметиламин
3) диэтиламин
4) дифениламин
5) анилин
Ответ: ![]()
71. При полном сгорании аминов образуются
1) СО
2) СO2
3) Н2
4) Н2O
5) NO2
6) N2
Ответ: ![]()
72. При взаимодействии этиламина с водным раствором НВr образуется
1) бромэтан и азот
2) бромид аммония
3) бромид этиламмония
4) аммиак, бром и вода
Ответ: ![]()
73. Из предложенного перечня выберите два вещества, с которыми взаимодействует этиламин.
1) кислород
2) бромная вода
3) водород
4) хлороводород
5) оксид меди(II)
Ответ: ![]()
74. Анилин в отличие от бензола реагирует с
1) раствором гидроксида натрия
2) свежеосажденным гидроксидом меди (II)
3) бромной водой
4) соляной кислотой
5) аммиаком
Ответ: ![]()
75. Амфотерность аланина проявляется при его взаимодействии с
1) спиртами
2) кислотами
3) альдегидами
4) растворами средних солей
5) растворами щелочей
Ответ: ![]()
76. При взаимодействии аминокислот между собой образуются
1) сложные эфиры
2) пептиды
3) амины и кислоты
4) аммиак и кислота
Ответ: ![]()
77. Из предложенного перечня выберите три вещества, с которыми взаимодействует аминоуксусная кислота.

Ответ: ![]()
78. При гидролизе пептидов образуются
1) амины
2) аминокислоты
3) карбоновые кислоты
4) спирты
Ответ: ![]()
79. В результате гидролиза белков образуются(-ется)
1) глицерин
2) аминокислоты
3) карбоновые кислоты
4) глюкоза
Ответ: ![]()
80. Сложный эфир образуется при взаимодействии глицина с
1) NaOH
2) С2Н5ОН
3) НВr
4) H2SO4
Ответ: ![]()
81. Из предложенного перечня выберите три вещества, с которыми взаимодействует этен.
1) хлорид железа(III)
2) бром
3) перманганат калия
4) вода
5) этанол
6) карбонат натрия
Ответ: ![]()
82. Из предложенного перечня выберите три вещества, с которыми взаимодействует метаналь.

Ответ: ![]()
83. Из предложенного перечня выберите три вещества, с которыми взаимодействует фенол.
1) кислород
2) бензол
3) гидроксид натрия
4) хлороводород
5) натрий
6) оксид кремния(IV)
Ответ: ![]()
84. Из предложенного перечня выберите три вещества, с которыми взаимодействует олеиновая кислота.
1) водород
2) бромоводород
3) медь
4) хлорид хрома(III)
5) азот
6) карбонат натрия
Ответ: ![]()
85. Из предложенного перечня выберите три вещества, с которыми взаимодействует метилэтиламин.
1) этан
2) бромоводородная кислота
3) кислород
4) гидроксид калия
5) пропан
6)вода
Ответ: ![]()
86. Из предложенного перечня выберите три вещества, с которыми взаимодействует анилин.
1) гидроксид натрия
2) пропионовая кислота
3) хлор
4) толуол
5) хлороводород
6) метан
Ответ: ![]()
87. В схеме превращений
2
веществами Х1 и Х2 являются
1) глицерат меди(II)
2) этанол
3) 1,1-дибромэтан
4) 1,2-дибромэтан
5) этиленгликолят меди(II)
Ответ: ![]()
88. В схеме превращений
![]()
веществами Х1 и Х2 являются
1) 1,2-дибромбутан
2) бромэтан
3) этан
4) этилен
5) 2-бромбутан
Ответ: ![]()
89. В схеме превращений
![]()
веществами Х1 и Х2 являются
1) 2-бромпропан
2) пропановая кислота
3) 1-бромпропан
4) пропен
5) дипропиловый эфир
Ответ: ![]()
90. В схеме превращений
![]()
веществами Х1 и Х2 являются

Ответ: ![]()
91. В схеме превращений:
![]()
веществами Х2 и Х3 являются
1) 1,2,3-тринитропропан
2) глицерин
3) 2,3-дихлор-1-пропанол
4) 1,2,3-глицерат натрия
5) тринитроглицерин
Ответ: 
92. В схеме превращений:
![]()
веществами Х2 и Х3 являются
1) хлорбензол
2) толуол
3) 4-хлортолуол
4) бензол
5) 1,3,5 триметилбензол
Ответ: 
93. В схеме превращений
![]()
веществами X2 и X3 являются
1) этилацетат
2) 1,2-этандиол
3) метилацетат
4) ацетат меди(II)
5) уксусная кислота
Ответ: 
94. В схеме превращений:
![]()
веществами Х2 и Х3 являются
1) 1-бромбутан
2) 1-аминобутан
3) 2-аминобутан
4) бромид бутиламмония
5) 2-бромбутан
Ответ: 
95. Напишите уравнения реакций, с помощью которых можно осуществить следующие превращения:

96. Напишите уравнения реакций, с помощью которых можно осуществить следующие превращения:

97. Напишите уравнения реакций, с помощью которых можно осуществить следующие превращения:

98. Напишите уравнения реакций, с помощью которых можно осуществить следующие превращения:

99. Напишите уравнения реакций, с помощью которых можно осуществить следующие превращения:

100. Напишите уравнения реакций, с помощью которых можно осуществить следующие превращения:
