Химия - Единый государственный экзамен - Комплекс материалов для подготовки учащихся - 2018 год
Строение электронных оболочек атомов элементов первых четырех периодов: s-, p- и d-элементы. Электронная конфигурация атома. Основное и возбужденное состояние атомов - ТЕОРЕТИЧЕСКИЕ ОСНОВЫ ХИМИИ - ЗАДАНИЯ ДЛЯ ТЕМАТИЧЕСКОГО КОНТРОЛЯ
В структуре данного блока выделяют четыре содержательные линии:
• Современные представления о строении атома.
• Периодический закон и Периодическая система химических элементов Д.И. Менделеева.
• Химическая связь и строение вещества.
• Химическая реакция.
Для каждой из этих линий указаны проверяемые элементы содержания (см. таблицу 1).
Таблица 1
|
Проверяемые элементы содержания |
Уровень сложности задания, проверяющего усвоение элемента содержания |
|
Современные представления о строении атома |
|
|
Строение электронных оболочек атомов элементов первых четырех периодов: s-, р- и d-элементы. Электронная конфигурация атома. Основное и возбужденное состояние атомов |
Б |
|
Периодический закон и Периодическая система химических элементов Д.И. Менделеева |
|
|
Закономерности изменения свойств элементов и их соединений по периодам и группам |
Б |
|
Химическая связь и строение вещества |
|
|
Электроотрицательность. Степень окисления и валентность химических элементов. |
Б, П |
|
Ковалентная химическая связь, её разновидности и механизмы образования. Характеристики ковалентной связи (полярность и энергия связи). Ионная связь. Металлическая связь. Водородная связь. |
Б |
|
Вещества молекулярного и немолекулярного строения. Тип кристаллической решетки. Зависимость свойств веществ от их состава и строения. |
Б |
|
Химическая реакция |
|
|
Классификация химических реакций в неорганической и органической химии. |
Б |
|
Скорость реакции, её зависимость от различных факторов. |
Б |
|
Обратимые и необратимые химические реакции. Химическое равновесие. Смещение химического равновесия под действием различных факторов. |
П |
|
Электролитическая диссоциация электролитов в водных растворах. Сильные и слабые электролиты. |
Б |
|
Реакции ионного обмена. |
Б |
|
Гидролиз солей. Среда водных растворов: кислая, нейтральная, щелочная. |
П |
|
Реакции окислительно-восстановительные. Коррозия металлов и способы защиты от неё. |
П, В |
|
Электролиз расплавов и растворов солей, щелочей, кислот. |
П |
Строение электронных оболочек атомов элементов первых четырех периодов: s-, p- и d-элементы. Электронная конфигурация атома. Основное и возбужденное состояние атомов
Задания с комментариями и решениями
Пример 1. Из указанных в ряду химических элементов выберите два элемента, атомы которых имеют на внешнем энергетическом уровне в основном состоянии неспаренные электроны.
1) Be
2) Si
3) Аr
4) Mg
5) Al
Запишите в поле ответа номера выбранных элементов.
Атом бериллия имеет конфигурацию внешнего электронного слоя 2s2 (два электрона на одной атомной орбитали спарены). Аналогичную электронную конфигурацию (3s2) имеет атом магния. В атоме аргона на внешнем уровне 8 электронов, образующих четыре электронные пары: 3s23p6. В атоме кремния на внешнем уровне четыре электрона: 3s23p2, два из них являются неспаренными. Элемент IIIА группы алюминий на внешнем уровне имеет три электрона 3s23p1, при этом электрон, находящийся на p-орбитали, является неспаренным.
Ответ: 25
Пример 2. Какие из указанных ионов имеют электронную конфигурацию инертного газа?
1) Сr3+
2) Сl-. 3) Сu2+
4) Na+
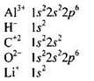
5) Fe2+ Атомы инертных газов имеют завершенный внешний энергетический уровень: 1s2(He) или ns2nр6, т.е. содержащий 8 внешних электронов. В условии задания указаны положительно заряженные ионы хрома, меди и железа, которые относят к 3d-элементам. Число электронов в этих частицах равно, соответственно 21, 27 и 24, что не соответствует ни одному из инертных газов. Атом хлора на внешнем уровне содержит 7 электронов (3s23p5), соответственно хлорид-ион содержит 8 электронов и имеет строение внешнего уровня 3s23p6. Именно таково строение внешнего уровня инертного газа - аргона. Электронная конфигурация атома натрия 1s22s22p63s1. Катион натрия содержит на один электрон меньше. Строение внешнего уровня катиона натрия совпадает со строением внешнего уровня инертного газа-неона (1s22s22p6). Ответ: 24 Пример 3. Из указанных в ряду химических элементов выберите два элемента, имеющих сходную конфигурацию внешнего энергетического уровня. 1) Rb 2) Р 3) Mg 4) Сr 5) Аl Запишите в поле ответа номера выбранных элементов. Рубидий является элементом пятого периода IA группы. Электронная конфигурация внешнего слоя его атома 5s1. Фосфор, магний и алюминий - также элементы A-групп. Число электронов на внешнем энергетическом уровне атомов этих элементов равно номеру группы: Р 3s23p3 Mg 3s2 Al 3s23p1 Атом хрома является d-элементом. На внешнем энергетическом уровне атомов d-элементов находится не более двух электронов. У атома хрома из-за “провала” электрона на внешнем энергетическом уровне находится только один электрон 4s1. Таким образом, сходную конфигурацию внешнего энергетического уровня имеют атомы хрома и рубидия. Ответ: 14 Пример 4. Какие из указанных ионов имеют электронную конфигурацию атома гелия? 1) Аl3+. 2) Н- . 3) С+2. 4) О2-. 5) Li+ Атом гелия, расположенный в 1-м периоде VIIIА группе имеет конфигурацию 1s2. Среди предложенных ионов только гидрид-ион Н- и-катион лития содержат на внешнем 1s уровне два электрона. Электронные конфигурации остальных ионов отличаются от конфигурации атома гелия: Ответ: 25 Задания для самостоятельной работы 1. Из указанных в ряду ионов выберите два иона, имеющих электронную конфигурацию 1s22s22p63s23p6. 1) Fe2+ . 2) S2- . 3) Al3+ . 4) N3- . 5) Са2+ Запишите в поле ответа номера выбранных элементов. Ответ: 2. Из указанных в ряду частиц выберите два атома или иона, которым соответствует электронная формула внешнего электронного слоя 3s23р6. 1) Na0 . 2) Аr0 . 3) К+ . 4) О2- . 5) Li+ Запишите в поле ответа номера выбранных элементов. Ответ: 3. Из указанных в ряду элементов выберите два элемента, атомы которых в основном состоянии имеют электронную конфигурацию внешнего энергетического уровня ж2пр\ 1) Li . 2) Аl . 3) Сu . 4) В . 5) Fe Запишите в поле ответа номера выбранных элементов. Ответ: 4. Из указанных в ряду элементов выберите два элемента, атомы которых в основном состоянии имеют только один неспаренный электрон. 1) Ва . 2) Fe . 3) Сu . 4) F . 5) S Запишите в поле ответа номера выбранных элементов. Ответ: 5. Определите, какие из приведенных электронных конфигураций соответствуют возбуждённому состоянию атомов. Ответ: 6. Определите, атомы каких из перечисленных элементов в основном состоянии содержат на внешнем энергетическом уровне неспаренные электроны. 1) фтор 2) цинк 3) кальций 4) магний 5) алюминий Ответ: 7. Среди указанных частиц выберите две частицы, которые содержат одинаковое число электронов. Запишите в поле ответа номера выбранных частиц. Ответ: 8. У каких элементов, указанных в ряду, наиболее распространённые изотопы имеют равное число протонов и нейтронов. 1) Са 2) F 3) Аl 4) Si 5) Na Запишите в поле ответа номера выбранных элементов. Ответ: 
![]()
![]()
![]()
![]()

![]()
![]()

![]()
![]()