Химия - Единый государственный экзамен - Комплекс материалов для подготовки учащихся - 2018 год
Взаимосвязь различных классов неорганических веществ - НЕОРГАНИЧЕСКАЯ ХИМИЯ - ЗАДАНИЯ ДЛЯ ТЕМАТИЧЕСКОГО КОНТРОЛЯ
Задания с комментариями и решениями
Пример 25. В схеме превращений
![]()
веществами “X” и “Y” являются:

Ответ: 
Проанализируем указанные превращения веществ. Первое превращение можно осуществить в результате реакции обмена между растворимыми соединениями, которая согласно сокращённому ионному уравнению
идет с образованием осадка. Значит, веществом “X” может быть хлорид кальция - СаСl2 (ответ 4). Второе превращение - образование гидрокарбоната кальция - Са(НСO3)2 из нерастворимого карбоната СаСO3 возможно только под действием раствора оксида углерода (IV):
![]()
Значит, реагентом “Y” будет СO2 + Н2O (ответ 5).
Ответ: 
Пример 26. В схеме превращений
![]()
веществами “X” и “Y” являются:

Ответ: 
Анализ схемы превращений веществ, указанной в задании, свидетельствует о том, что в результате реакции ионного обмена со щёлочью из соли двухвалентного железа получится гидроксид железа(II). Далее по схеме происходит реакция окисления гидроксида железа(II) кислородом в присутствии воды, что приводит к образованию гидроксида железа(IIi).
Ответ: 
Пример 27. Смесь оксида азота(IV) и кислорода пропустили через раствор гидроксида калия. Полученную при этом соль высушили и прокалили. Остаток, полученный после прокаливания соли, растворили в воде и смешали с раствором иодида калия и серной кислотой. Образовавшееся в ходе этой реакции простое вещество прореагировало с алюминием.
Напишите уравнения четырёх описанных реакций.
Прежде всего, следует освежить в памяти информацию об основных классах неорганических соединений, их важнейших представителях и химических свойствах.
Проанализируем условие задания. Оксид азота(IV) в щелочной среде в присутствии кислорода легко окисляется до производного азота(V), т.е. до нитрат-ионов:
![]()
Нитраты термически неустойчивы и легко разлагаются при нагревании. При нагревании нитратов самых активных металлов (щелочных и щелочноземельных) образуется нитрит и выделяется кислород:
![]()
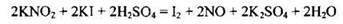
Следовательно, остаток после прокаливания нитрата калия представляет собой нитрит калия - соль с явно выраженными окислительными свойствами. Иодид-ионы в кислой среде легко окисляются нитрит-ионами до свободного иода:
![]()
Свободный иод легко взаимодействует с металлами, например с алюминием, с образованием соли - иодида алюминия:
![]()
Итак, ответ включает в себя четыре уравнения возможных реакций, соответствующих описанным превращениям:

Пример 28. В раствор сульфата меди(II) поместили железную пластинку. По окончании реакции пластинку вынули, а к образовавшемуся зеленоватому раствору добавляли по каплям раствор нитрата бария до тех пор, пока не прекратилось образование осадка. Осадок отфильтровали, раствор выпарили, оставшуюся сухую соль прокалили на воздухе. При этом образовался красно-коричневый порошок, который обработали концентрированной иодоводородной кислотой. Напишите уравнения четырёх описанных реакций.
Первое превращение - это реакция замещения: атомы железа вытесняют медь из сульфата меди(II):
![]()
Образовавшийся при этом зеленоватый раствор содержит сульфат железа(II), который с нитратом бария образует белый осадок сульфата бария (качественная реакция на сульфаты), а в растворе образуется новая соль - нитрат железа(II):
![]()
Процесс термического разложения нитрата железа(II) сопровождается окислением железа:
![]()
Красно-коричневый порошок представляет собой оксид железа(III), который, растворяясь в иодоводородной кислоте, восстанавливается вновь до железа(+2), а иодид-ионы окисляются при этом до элементарного иода:
![]()
Таким образом, вы должны записать уравнения четырех реакций:

Пример 29. Твёрдый хлорид лития нагрели с концентрированной серной кислотой, выделившийся при этом газ растворили в воде. При взаимодействии полученного раствора с перманганатом калия образовалось простое газообразное вещество жёлто-зелёного цвета. При горении железной проволоки в этом веществе получили соль. Соль растворили в воде и смешали с раствором карбоната натрия.
Напишите уравнения четырёх описанных реакций.
В данном задании есть и простые уравнения реакций, есть и сложные. Так, при взаимодействии твёрдого хлорида лития с концентрированной серной кислотой выделяется газообразный хлороводород. Наряду с НСl образуется гидросульфат лития (сульфат практически не образуется в указанных условиях).
Хлороводород, растворяясь в воде, образует соляную кислоту, которая вступает с перманганатом калия в окислительно-восстановительную реакцию (лабораторный способ получения хлора - газообразного вещества желто-зелёного цвета).
Железо взаимодействует с хлором, окисляясь до степени окисления +3.
Хлорид железа(III), взаимодействуя с водным раствором карбоната натрия, вступает с ним в реакцию совместного гидролиза, в результате чего выпадает осадок гидроксида железа(III) и выделяется углекислый газ (напомним, что карбонат железа(III) не существует).
Вы должны записать следующие уравнения химических реакций:

Пример 30. При сливании водных растворов сульфита калия и перманганата калия выпал осадок. Осадок при нагревании обработали концентрированной соляной кислотой, при этом наблюдалось образование газа. Полученный газ прореагировал с алюминием. Продукт данной реакции растворили в избытке раствора гидроксида натрия.
Напишите уравнения четырёх описанных реакций.
Первая из описанных реакций относится к окислительно-восстановительным процессам: сульфит-ион окисляется до сульфат-иона, перманганат-ион восстанавливается в слабощелочной среде до диоксида марганца.
Вторая реакция также относится к окислительно-восстановительным и может рассматриваться как лабораторный способ получения хлора.
При взаимодействии алюминия с хлором образуется хлорид алюминия, которьщ с избытком гидроксида натрия образует гидроксокомплекс (тетрагидроксо- или гексагидроксоалюминат натрия).
Требуемые уравнения реакций:

Пример 31. Порошок сульфида хрома(III) обработали водой. Выпавший при этом серо-зелёный осадок обработали хлорной водой в присутствии гидроксида калия. К полученному жёлтому раствору прилили раствор сульфита калия, при этом вновь выпал серо-зелёный осадок, который прокалили до постоянства массы.
Запишите уравнения четырёх описанных реакций.
Проанализируем текст задания.
1) Сульфид хрома(III) имеет формулу Cr2S3 и относится к солям, образованным слабым основанием и слабой кислотой. Такие соли подвергаются гидролизу и по катиону, и по аниону. Особенностью взаимодействия сульфида хрома с водой является то, что гидролиз протекает практически полностью, “до конца”:
![]()
Это связано с образованием осадка нерастворимого гидроксида хрома и выделением газообразного сероводорода (оба эти фактора смещают равновесие гидролиза вправо и делает реакцию практически необратимой).
2) Выпавший серо-зелёный осадок представляет собой гидроксид хрома(III). Под действием сильного окислителя - хлора, хром(III) окисляется до хрома(VI). В щелочной среде образуется жёлтый хромат калия - соль хромовой кислоты:
![]()
3) Сульфит калия является хорошим восстановителем, а хроматы(VI) проявляют окислительные свойства. Поэтому возможна окислительно-восстановительная реакция, в ходе которой хром восстанавливается до устойчивой степени окисления +3:
![]()
4) Выпавший осадок гидроксида хрома(III), являясь термически неустойчивым, при нагревании легко распадается с образованием оксида и воды:
![]()
Пример 32. Железную окалину (минерал магнетит) растворили при нагревании в концентрированной азотной кислоте. В раствор полученной при этом соли внесли избыток порошка железа. После завершения реакции раствор отфильтровали и к фильтрату добавили гидроксид калия до прекращения выпадения осадка. Выпавший осадок отфильтровали и оставили на воздухе до полного изменения его цвета.
Запишите уравнения четырёх описанных реакций.
1) Железная окалина Fe3O4является смешанным оксидом железа(II,III): FeO∙Fe2O3. Концентрированной азотной кислотой, особенно при нагревании, железо(II) окисляется до железа(III):
![]()
2) В присутствии металлического железа возможна реакция сопропорционирования железа, в ходе которой происходит “усреднение” степени окисления железа:
![]()
3) При действии щелочи на раствор получившегося нитрата железа(II) выпадает осадок гидроксида железа(II):
![]()
4) Под действием воздуха гидроксид железа(II) быстро буреет - окисляется кислородом до гидроксида железа(III):
![]()
Пример 33. Красный фосфор сожгли в избытке газообразного хлора. Продукт реакции нагрели ещё с одной навеской фосфора. Получившееся вещество внесли в воду. Образовавшуюся при этом фосфорсодержащую кислоту обработали подкисленным раствором перманганата калия. Запишите уравнения четырёх описанных реакций.
В результате горения фосфора в избытке хлора образуется хлорид фосфора(V). На втором этапе фосфор выступает в роли восстановителя и происходит восстановление хлорида фосфора(V) до хлорида фосфора(III). В результате гидролиза хлорида фосфора(III) образуется фосфористая кислота, степень окисления фосфора в которой соответствует степени окисления фосфора в хлориде, т.е. +3.
А при действии перманганата калия в кислой среде на образовавшуюся кислоту Н3РO3 происходит её окисления фосфора фосфорной кислоты Н3РO4 восстановления марганца до +2 (MnSO4). Составим уравнения описанных реакций:

Задания для самостоятельной работы
111. В цепочке превращений
![]()
веществами “X” и “Y” являются:

Ответ: 
112. В схеме превращений
![]()
веществами “X1” и “Х2” являются:

Ответ: 
113. В схеме превращений
![]()
веществами “Х1” и “Х2” являются:

Ответ: 
114. В схеме превращений
![]()
веществами “Х1” и “Х2” являются:
1) FeO
2) НСl
3) FeCl3
4) FeCl2
5) Fe2O3
Ответ: 
115. В схеме превращений
![]()
веществами “Х1” и “Х2” являются:
1) сульфат железа(III)
2) сульфат железа(II)
3) сульфид железа(III)
4) гидроксид железа(II)
5) гидроксид железа(III)
Ответ: 
116. В схеме превращений
![]()
веществами “X1” и “Х2” являются:

Ответ: 
117. В схеме превращений
![]()
веществами “X1” и “Х2” являются:

Ответ: 
118. В схеме превращений
![]()
веществами “X1” и “Х2” являются:

Ответ: 
119. В схеме превращений
![]()
веществами “X1” и “Х2” являются:

120. В схеме превращений
![]()
веществами “X1” и “Х2” являются:

Ответ: 
121. В схеме превращений
![]()
веществами “X1” и “Х2” являются:

Ответ: 
122. В схеме превращений
![]()
веществами “X1” и “Х2” являются соответственно

Ответ: 
123. В схеме превращений
![]()
веществами “X1” и “Х2” являются соответственно

Ответ: 
124. Железо растворили в разбавленном растворе серной кислоты, образовавшуюся соль выделили. При взаимодействии полученной соли со щелочным раствором перманганата калия наблюдается выпадение осадка и изменение цвета раствора на зелёный. Осадок отделили и растворили в соляной кислоте. Полученный раствор нагрели и поместили в него порошок меди, при этом наблюдали изменение цвета раствора.
Напишите уравнения четырёх описанных реакций.
125. Нитрат серебра прокалили. К образовавшемуся твёрдому остатку добавили концентрированную азотную кислоту и наблюдали интенсивное выделение бурого газа. Газ собрали и полностью поглотили раствором гидроксида калия при охлаждении. К образовавшемуся раствору прилили раствор дихромата калия, подкисленный серной кислотой.
Напишите уравнения четырёх описанных реакций.
126. Железо растворили в соляной кислоте. Через образовавшийся раствор пропустили аммиак. Образовавшийся при этом осадок отделили и обработали пероксидом водорода без нагревания, при этом наблюдали изменение цвета осадка. Полученное бурое вещество сплавили с твёрдым гидроксидом натрия.
Напишите уравнения четырёх описанных реакций.
127. На перманганат калия подействовали концентрированной соляной кислотой. Образовавшийся жёлто-зелёный газ пропустили над нагретым порошком меди. Полученное вещество растворили в воде и смешали с раствором нитрата серебра(I), выпавший при этом осадок отделили. К оставшемуся раствору добавили раствор иодида калия.
Напишите уравнения четырёх описанных реакций.
128. Фосфат кальция прокалили с углём в присутствии речного песка. Образовавшееся простое вещество прореагировало с избытком хлора. Полученный продукт внесли в избыток раствора гидроксида калия. На образовавшийся раствор подействовали известковой водой.
Напишите уравнения описанных реакций.
129. Металлический алюминий растворили в растворе гидроксида натрия. Через полученный раствор пропустили избыток углекислого газа. Выпавший осадок прокалили и полученный продукт сплавили с карбонатом натрия.
Напишите уравнения описанных реакций.
130. Металлическую медь обработали при нагревании иодом. Полученный продукт растворили в концентрированной серной кислоте при нагревании. Образовавшийся раствор обработали гидроксидом калия. Выпавший осадок прокалили.
Напишите уравнения описанных реакций.
131. К раствору хлорида меди(II) добавили избыток раствора соды. Выпавший осадок прокалили, а полученный продукт нагрели в атмосфере водорода. Полученный порошок растворили в разбавленной азотной кислоте.
Напишите уравнения описанных реакций.
132. Оксид алюминия сплавили с содой. Полученный продукт растворили в соляной кислоте и обработали избытком аммиачной воды. Выпавший осадок растворился в растворе гидроксида натрия с образованием тетрагидроксоалюмината натрия.
Напишите уравнения описанных реакций.
133. Провели электролиз раствора хлорида натрия. К полученному раствору добавили хлорид железами). Выпавший осадок отфильтровали и прокалили. Твёрдый остаток растворили в иодово-дородной кислоте.
Напишите уравнения четырёх описанных реакций.
134. Алюминий прореагировал с раствором гидроксида натрия. Выделившийся газ пропустили над нагретым порошком оксида меди(II). Образовавшееся простое вещество растворили при нагревании в концентрированной серной кислоте. Полученную соль выделили и добавили к раствору иодида калия.
Напишите уравнения четырёх описанных реакций.
135. Хлорат калия нагрели в присутствии катализатора, при этом выделился бесцветный газ. Сжиганием железа в атмосфере этого газа была получена железная окалина. Её растворили в избытке соляной кислоты. К полученному при этом раствору добавили раствор, содержащий дихромат натрия и соляную кислоту.
Напишите уравнения четырёх описанных реакций.
136. Порошок магния нагрели в атмосфере азота. При взаимодействии полученного вещества с водой выделился газ. Газ пропустили через водный раствор сульфата хрома(III), в результате чего образовался серый осадок. Осадок отделили и обработали при нагревании раствором, содержащим пероксид водорода и гидроксид калия.
Напишите уравнения четырёх описанных реакций.
137. Оксид хрома(VI) прореагировал с гидроксидом калия. Полученное вещество обработали серной кислотой, из образовавшегося раствора выделили соль оранжевого цвета. Эту соль обработали бромоводородной кислотой. Полученное простое вещество вступило в реакцию с сероводородом.
Напишите уравнения четырёх описанных реакций.
138. Твёрдый хлорид лития нагрели с концентрированной серной кислотой, выделившийся при этом газ растворили в воде. При взаимодействии полученного раствора с перманганатом калия образовалось простое газообразное вещество жёлто-зелёного цвета. При горении железной проволоки в этом веществе получили соль. Соль растворили в воде и смешали с раствором карбоната натрия.
Напишите уравнения четырёх описанных реакций.