Химия - Единый государственный экзамен - Комплекс материалов для подготовки учащихся - 2018 год
Вычисление массы растворенного вещества, содержащегося в определенной массе раствора с известной массовой долей - МЕТОДЫ ПОЗНАНИЯ В ХИМИИ. ХИМИЯ И ЖИЗНЬ - ЗАДАНИЯ ДЛЯ ТЕМАТИЧЕСКОГО КОНТРОЛЯ
Задания с комментариями и решениями
Пример 10. К 280 г 8%-ного раствора ацетата натрия добавили 120 мл воды. Массовая доля ацетата натрия в растворе равна _______ %.
Ответ:___________ (Запишите число с точностью до десятых.)
Решая задачу, обратите внимание на то, что в ее условии речь идет о двух растворах - исходном и полученном после добавления воды к исходному раствору. Присвоим индекс 1 данным задачи по исходному раствору, а индекс 2 - по полученному раствору.
Масса растворенного вещества при получении раствора 2 из исходного раствора 1 не изменилась, так как по условию задачи ацетат натрия к исходному раствору не добавляли. Следовательно,

Ответ: 5,6
Пример 11. К 180 г 8 %-ного раствора хлорида натрия добавили 20 г NaCl. Массовая доля хлорида натрия в образовавшемся растворе равна __________ %.
Ответ:___________ (Запишите число с точностью до десятых.)
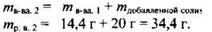
В этой задаче также присутствуют два раствора. Найдем массу вещества в первом растворе:
![]()
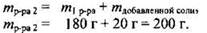
В конечном растворе масса вещества увеличилась на 20 г:
![]()
Масса раствора также увеличилась на 20 г:
![]()
Зная массу вещества и массу конечного раствора, находим долю вещества:
![]()
Ответ: 17,2
Пример 12. Смешали 120 г раствора серной кислоты с массовой долей 20 % и 40 г 50 %-ного раствора того же вещества. Массовая доля кислоты в полученном растворе равна __________ %.
Ответ:___________ (Запишите число с точностью до десятых.)
В условии этой задачи присутствуют три раствора, отразим это в обозначениях.
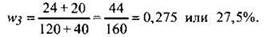
Массовая доля кислоты (w3) в итоговом растворе (3) равна:
![]()
Вычислим массы веществ в исходных растворах:
![]()
Подставляя найденные величины в формулу вычислим долю вещества в конечном растворе:
![]()
Ответ: 27,5
Задания для самостоятельной работы
33. В 150 мл воды растворили 10 г глюкозы. Массовая доля глюкозы в получившемся растворе равна _________ %.
Ответ: ___________(Запишите число с точностью до сотых.)
34. Смешали 300 г раствора хлорида бария с массовой долей 6% и 150 г раствора этой же соли с массовой долей 14%. Масса соли в полученном растворе равна _________ г.
Ответ:___________ (Запишите число с точностью до целых.)
35. Масса соли, которую надо растворить в 50 мл воды для приготовления 20%-ного раствора равна _________ г.
Ответ:___________ (Запишите число с точностью до десятых.)
36. К 280 г раствора с массовой долей соли 12% добавили 40 мл воды и 28 г этой же соли. Массовая доля соли в полученном растворе равна _________ %.
Ответ: ____________(Запишите число с точностью до десятых.)
37. Из 150 г раствора с массовой долей бромида натрия 6% выпарили 10 г воды и добавили 5 г той же соли. Массовая доля соли в полученном растворе равна _________ %.
Ответ:___________ (Запишите число с точностью до десятых.)
38. К 200 г 10%-ного раствора КСl добавили 50 г воды. Массовая доля КСl в полученном растворе равна _________ %.
Ответ:___________ (Запишите число с точностью до целых.)
39. Смешали 150 г раствора нитрата калия с массовой долей 12% и 300 г раствора этой же соли с массовой долей 7%. Массовая доля соли в полученном растворе равна _________ %.
Ответ:___________ (Запишите число с точностью до десятых.)
40. К раствору, состоящему из 45 г воды и 15 г соли, добавили 65 г воды и 10 г той же соли. Вычислите массовую долю соли в полученном растворе.
Ответ:___________ (Запишите число с точностью до десятых.)
41. К 700 г водного раствора этанола с массовой долей 10% добавили 60 мл С2Н5ОН (плотность 0,80 г/мл). Рассчитайте массу спирта в полученном растворе.
Ответ:___________ (Запишите число с точностью до целых.)
42. Определите массу воды, которую надо добавить к 10 г раствора уксусной кислоты с массовой долей 70% для получения раствора уксусной кислоты с массовой долей 10%.
Ответ:___________ (Запишите число с точностью до целых.)
43. Смешали 200 г раствора серной кислоты с массовой долей 20% и 300 г раствора серной кислоты с массовой долей 40%. Массовая доля кислоты в полученном растворе равна _________ %.
Ответ:___________ (Запишите число с точностью до целых.)
44. К 130 г раствора с массовой долей хлорида натрия 20% добавили 36 мл воды и 24 г этой же соли. Массовая доля соли в полученном растворе равна _________ %.
Ответ:___________ (Запишите число с точностью до целых.)
45. К 150 г раствора с массовой долей нитрата магния 10% добавили 15 г этой же соли и выпарили 45 мл воды. Массовая доля соли в полученном растворе равна _________ %.
Ответ:___________ (Запишите число с точностью до целых.)
46. Смешали 70 г раствора с массовой долей нитрата натрия 30% и 130 г раствора этой же соли с массовой долей 20%. Массовая доля соли в полученном растворе равна _________ %.
Ответ:___________ (Запишите число с точностью до десятых)