Химия - Единый государственный экзамен - Комплекс материалов для подготовки учащихся - 2018 год
Электроотрицательность. Степень окисления и валентность химических элементов - ТЕОРЕТИЧЕСКИЕ ОСНОВЫ ХИМИИ - ЗАДАНИЯ ДЛЯ ТЕМАТИЧЕСКОГО КОНТРОЛЯ
Задания с комментариями и решениями
Пример 8. Из числа указанных в ряду элементов
1) Na .
2) К .
3) Si .
4) Mg .
5) С
выберите два элемента, которые проявляют постоянную степень окисления равную +1.
Постоянную степень окисления +1 в соединениях имеют металлы IA группы. В приведенном ряду элементов металлами IA группы являются натрий и калий.
Ответ: 12
Пример 9. Из числа указанных в ряду элементов
1) Na .
2) К .
3) Si .
4) Mg .
5) С
выберите два элемента, которые могут проявлять отрицательную степень окисления.
Отрицательную степень окисления в соединениях могут проявлять только неметаллы. В приведенном ряду элементов неметаллами являются углерод и кремний.
Ответ: 35
Пример 10. Степень окисления +2 атом углерода имеет в соединении
1) СO2.
2) СВr4
3) НСООН
4) СН3СООН
Определим степени окисления углерода в указанных соединениях с учетом того, что атом водорода в органических соединениях проявляет степень окисления +1, атом галогена -1, а атом кислорода -2. В молекулах СO2, CBr4, НСООН степень окисления углерода равна, соответственно, +4, +4 и +2. В молекуле уксусной кислоты атомы углерода имеют разные степени окисления: -3 и +3. Таким образом, степень окисления +2 имеет атом углерода в молекуле муравьиной кислоты.
Ответ: 3
Пример 11. Установите соответствие между химической формулой соединения и степенью окисления фосфора в нем.
|
ХИМИЧЕСКАЯ ФОРМУЛА
|
СТЕПЕНЬ ОКИСЛЕНИЯ ФОСФОРА 1) +1 2) +3 3) +5 4) -1 5) -3 |
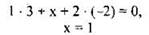
Определим степень окисления фосфора в каждом из соединений, указанных в первом множестве. Это можно сделать, используя правило электронейтральности: алгебраическая сумма степеней окисления всех элементов равна нулю. Например, для кислоты Н3РO2 имеем:
![]()
Следовательно, степень окисления фосфора в этом соединении равна +1.
Затем установим соответствие между элементами обоих множеств:
A) Н3РO3 - ответ 2;
Б) Н3РO4 - ответ 3;
B) Н3РO2 - ответ 1;
Г) Н4Р2O7 - ответ 3.
Полученную последовательность цифр запишем в таблицу
|
А |
Б |
В |
Г |
|
2 |
3 |
1 |
3 |
Ответ: 2313
Пример 12. Установите соответствие между формулой соли и степенью окисления углерода в ней.
|
ФОРМУЛА СОЛИ
|
СТЕПЕНЬ ОКИСЛЕНИЯ УГЛЕРОДА 1) -4 2) -2 3) 0 4) +2 5) +3 6) +4 |
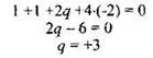
Вспомним, что такие элементы как калий, кальций и натрий проявляют постоянную степень окисления (+1, +2, +1, соответственно). Кислород, как правило, имеет степень окисления -2. Водород, как правило, +1. Поскольку сумма всех степеней окисления в молекуле равна нулю, то в первом соединении углерод должен иметь степень окисления +4, во втором также +4, в третьем +2, в последнем +3. Покажем на примере соединения NaHC2O4как найти степень окисления углерода.
Обозначим степень окисления как q. Тогда, с учётом выше сказанного, можем записать:

Ответ: 6645
Задания для самостоятельной работы
26. Наименьшую степень окисления сера имеет в соединении

Ответ: ![]()
27. В каких из перечисленных соединений фосфор проявляет максимальную степень окисления?

Ответ: ![]()
28. Из числа указанных в ряду элементов
1) N .
2) Аl .
3) Li .
4) Р .
5) С
выберите два элемента, которые в летучих водородных соединениях проявляют степень окисления равную -3.
Ответ: ![]()
29. Из числа указанных в ряду элементов
1) N .
2) Аl .
3) Li .
4) Р .
5) С
выберите два элемента, которые в соединениях проявляют постоянную степень окисления.
Ответ: ![]()
30. Из числа указанных в ряду элементов
1) N .
2) Аl .
3) Li .
4) Р .
5) С
выберите два элемента, которые образуют оксиды общей формулы ЭO2.
Ответ: ![]()
31. Какие из приведенных неметаллов не проявляют высшей степени окисления, равной номеру группы?
1) N .
2) S .
3) F .
4) Вr .
5) O
Ответ: ![]()
32. Из числа указанных в ряду элементов
1) N .
2) Аl .
3) Li .
4) Р .
5) С
выберите два элемента, образующих бинарные соединения с водородом, в которых степень окисления водорода равна -1.
Ответ: ![]()
33. Степень окисления, равную +3, железо имеет в соединениях:

Ответ: ![]()
34. Степень окисления +7 иод имеет в соединениях

Ответ: ![]()
35. Какие из приведенных элементов проявляют степень окисления +7?
1) N .
2) Fe .
3) Мn .
4) Вr .
5) F
Ответ: ![]()
36. Установите соответствие между формулой частицы и степенью окисления азота в ней.
|
ФОРМУЛА ЧАСТИЦЫ
|
СТЕПЕНЬ ОКИСЛЕНИЯ АЗОТА 1) -3 2) -2 3) +2 4) +3 5) +4 6) +5 |
Ответ:
|
А |
Б |
В |
Г |
37. Установите соответствие между формулой вещества и степенью окисления углерода в нем.
|
ФОРМУЛА ВЕЩЕСТВА
|
СТЕПЕНЬ ОКИСЛЕНИЯ УГЛЕРОДА 1) -4 2) -2 3) 0 4) +2 5) +4 |
Ответ:
|
А |
Б |
В |
Г |
38. Установите соответствие между формулой иона и степенью окисления центрального атома в нём.
|
ФОРМУЛА ИОНА
|
СТЕПЕНЬ ОКИСЛЕНИЯ 1) +7 2) +2 3) +3 4) +4 5) +5 6) +6 |
Ответ:
|
А |
Б |
В |
Г |
39. Установите соответствие между формулой вещества и степенью окисления азота в нем.
|
ФОРМУЛА ВЕЩЕСТВА
|
СТЕПЕНЬ ОКИСЛЕНИЯ АЗОТА 1) -3 2) -2 3) +2 4) +3 5) +4 6) +5 |
Ответ:
|
А |
Б |
В |
Г |





