Химия ЕГЭ - 1000 заданий с ответами и решениями - 2018 год
Гидролиз солей. Среда водных растворов: кислая, нейтральная, щелочная - Химическая реакция - ТЕОРЕТИЧЕСКИЕ ОСНОВЫ ХИМИИ
Тесты с выбором ответа с решениями
1. Какие из приведенных суждений верны? А. Ионное произведение воды равно
при 22°С. Б. Водородный показатель (pH) — это логарифм концентрации ионов водорода.
1) верно только А
2) верно только Б
3) верны оба суждения
4) оба суждения неверны
2. Окраска лакмуса в растворе, в котором фенолфталеин имеет малиновую окраску,
1) желтая
2) фиолетовая
3) красная
4) синяя
3. Какая из солей в водном растворе не подвергается гидролизу?
1) сульфид калия
2) сульфат калия
3) сульфат железа(II)
4) сульфид хрома(III)
4. Какая из солей в водном растворе подвергается полному гидролизу?
1) сульфид алюминия
2) сульфат аммония
3) нитрат калия
4) хлорид меди(II)
5. Какая из солей в водном растворе гидролизуется только по катиону?
1) сульфид алюминия
2) хлорид цинка
3) хлорид натрия
4) фосфат калия
6. Какая из солей в водном растворе гидролизуется только по аниону?
1) ацетат аммония
2) сульфат железа(III)
3) сульфид калия
4) нитрат натрия
7. Гидролиз по катиону ослабевает при
1) добавлении НСl
2) нагревании
3) добавлении NaOH
4) разбавлении
8. Какая из солей имеет в водном растворе кислотную среду вследствие гидролиза?
1) сульфид калия
2) сульфат калия
3) сульфид хрома(III)
4) сульфат железа(II)
9. Водный раствор какой из солей окрашивает фенолфталеин в малиновый цвет?
1) сульфат аммония
2) карбонат кальция
3) нитрат цинка
4) фосфат натрия
10. Гидролиз карбоната натрия усиливается при добавлении
1) NaCl
2) Al2(SO4)3
3) Na2S
4) NaOH
Тесты с выбором ответа для самостоятельного решения
11. Укажите окраску лакмуса в растворе, в котором метилоранж имеет красную окраску.
1) бесцветная
2) синяя
3) фиолетовая
4) красная
12. Какая из солей в водном растворе не подвергается гидролизу?
1) сульфат аммония
2) карбонат калия
3) нитрат кальция
4) сульфид натрия
13. Какая из солей в водном растворе подвергается полному гидролизу?
1) нитрат калия
2) сульфат аммония
3) хлорид меди(II)
4) сульфид алюминия
14. Водный раствор какой из солей имеет кислотную среду вследствие гидролиза?
1) сульфат бария
2) нитрат кальция
3) хлорид железа(III)
4) сульфид натрия
15. Какая из солей имеет в водном растворе pH < 7 вследствие гидролиза?
1) хлорид кальция
2) сульфит калия
3) сульфат хрома(III)
4) сульфид хрома(III)
16. Какая из солей имеет в водном растворе pH > 7 вследствие гидролиза?
1) карбонат алюминия
2) карбонат натрия
3) хлорид алюминия
4) хлорид натрия
17. Гидролиз по аниону ослабевает при
1) добавлении НСl
2) нагревании
3) добавлении NaOH
4) разбавлении
18. Водный раствор какой из солей имеет кислотную среду?
1) сульфат алюминия
2) сульфат натрия
3) нитрат калия
4) хлорид кальция
19. Водный раствор какой из солей окрашивает фенолфталеин в малиновый цвет?
1) нитрат калия
2) сульфид алюминия
3) сульфат железа(II)
4) карбонат калия
20. Гидролиз хлорида алюминия усиливается при добавлении
1) КСl
2) НСl
3) Na2S
4) Al(NO3)3
Тесты с кратким ответом с решениями
21. Установите соответствие между названием соли и отношением ее к гидролизу.
|
А) хлорид кальция Б) сульфит калия В) сульфат железа(II) Г) ацетат аммония |
1) гидролизуется по катиону 2) гидролизуется по аниону 3) гидролизуется по катиону и аниону 4) не гидролизуется |
22. Установите соответствие между формулой соли и реакцией среды в ее водном растворе.
|
|
1) нейтральная 2) щелочная 3) кислая |
23. Установите соответствие между названием соли и окраской индикатора в ее водном растворе.
|
А) нитрат лития Б) силикат калия В) бромид алюминия Г) иодид калия |
1) фенолфталеин — малиновый 2) лакмус — фиолетовый 3) метилоранж — красный |
24. Установите соответствие между формулой соли и вели чиной pH ее водного раствора.
|
|
1) pH > 7 2) pH < 7 3) pH = 7 |
25. Установите соответствие между формулой соли и средой ее водного раствора.
|
|
1) кислая 2) нейтральная 3) щелочная |
26. Установите соответствие между формулой соли и сокращенным ионным уравнением гидролиза этой соли.

27. Установите соответствие между названиями двух солей, отношение которых к гидролизу одинаковое.
|
А) нитрат калия |
1) нитрат цинка |
|
Б) сульфид калия |
2) ортофосфат натрия |
|
В) хлорид железа(III) |
3) ацетат аммония |
|
Г) сульфид хрома(III) |
4) сульфат цезия |
28. Установите соответствие между формулой соли и реакцией среды в ее водном растворе.
|
|
1) нейтральная 2) щелочная 3) кислая |
29. Установите соответствие между формулой соли и окраской индикатора в ее водном растворе.
|
|
1) фенолфталеин — малиновый 2) метилоранж — красный 3) лакмус — фиолетовый |
30. Установите соответствие между формулой соли и отношением ее к гидролизу.
|
|
1) не гидролизуется 2) гидролизуется по катиону и аниону 3) гидролизуется по аниону 4) гидролизуется по катиону |
Тесты с кратким ответом для самостоятельного решения
31. Установите соответствие между формулой соли и отношением ее к гидролизу.

1) гидролизуется по катиону
2) гидролизуется по аниону
3) гидролизуется по катиону и аниону
4) не гидролизуется
32. Установите соответствие между названием соли и ре акцией среды в ее водном растворе.
A) хлорид бериллия
Б) фторид калия
B) сульфат натрия
Г) гидросульфид калия
1) нейтральная
2) щелочная
3) кислая
33. Установите соответствие между формулой соли и окраской индикатора в ее водном растворе.
|
|
1) лакмус — фиолетовый 2) метилоранж — красный 3) фенолфталеин — малиновый |
34. Установите соответствие между названием соли и величиной pH ее водного раствора.
|
A) сульфат хрома(III) Б) ортофосфат натрия B) сульфат калия Г) ацетат цезия |
1) pH > 7 2) pH < 7 3) pH = 7 |
35. Установите соответствие между формулой соли и средой ее водного раствора.
|
|
1) щелочная 2) нейтральная 3) кислая |
36. Установите соответствие между названием соли и сокращенным ионным уравнением гидролиза этой соли.
|
A) ортофосфат натрия Б) дигидрофосфат натрия B) гидрофосфат натрия Г) нитрат алюминия |
|
37. Установите соответствие между формулами двух солей, отношение которых к гидролизу одинаковое.

38. Установите соответствие между формулой соли и реакцией среды в ее водном растворе.
|
|
1) кислая 2) щелочная 3) нейтральная |
39. Установите соответствие между названием соли и окраской индикатора в ее водном растворе.
|
А) силикат калия |
1) лакмус — фиолетовый |
|
Б) ацетат натрия |
2) фенолфталеин — малиновый |
|
В) сульфат алюминия Г) нитрат бария |
3) метилоранж — красный |
40. Установите соответствие между названием соли и отношением ее к гидролизу.
|
А) нитрит натрия |
1) не гидролизуется |
|
Б) перманганат калия |
2) гидролизуется по аниону |
|
В) сульфат цинка |
3) гидролизуется по катиону |
|
Г) сульфит аммония |
4) гидролизуется по катиону и аниону |
Ответы на тесты раздела 1.4.7
1. 1 2. 4 3. 2 4. 1 5. 2 6. 3 7. 1 8. 4 9. 4 10. 2 11. 4 12. 3 13. 4 14. 3 15. 3 16. 2 17. 3 18. 1 19. 4 20. 3 21. 4213 22. 2131 23. 2132 24. 2231 25. 3311 26. 4361 27. 4213 28. 3123 29. 3213 30. 4321 31. 3421 32. 3212 33. 3312 34. 2131 35. 1123 36. 4265 37. 2314 38. 2123 39. 2231 40. 2134
Решения тестов раздела 1.4.7
Решение 1. Ионное произведение воды (Kводы) — это произведение концентраций ионов водорода и гидроксид-ионов. Ионное произведение воды есть величина постоянная при определенной температуре. При 22 °С ![]()
Поэтому если
то ![]()
Суждение А верно.
Водородный показатель (pH) — это отрицательный логарифм концентрации ионов водорода.
Если [Н+] = 10-2, то pH = -lg(10-2) = 2. Если pH = 5, то [Н+] = 10-5 моль/л. Суждение В неверно.
Ответ: 1.
Решение 2. Реакция среды может быть кислой, щелочной или нейтральной в зависимости от преобладания в растворе ионов водорода, гидроксид-ионов или равенства их концентраций соответственно. Индикаторы (метилоранж, лакмус, фенолфталеин) меняют свою окраску в зависимости от характера среды.
|
Индикатор |
Среда |
||
|
кислая |
нейтральная |
щелочная |
|
|
метилоранж |
красный |
оранжевый |
желтый |
|
лакмус |
красный |
фиолетовый |
синий |
|
фенолфталеин |
бесцветный |
бесцветный |
малиновый |
Фенолфталеин имеет малиновую окраску в щелочной среде, значит, раствор имеет щелочную среду. В щелочной среде лакмус синий.
Ответ: 4.
Решение 3. Гидролиз соли — это взаимодействие ионов соли с водой с образованием слабого электролита. Соли, образованные сильным основанием и сильной кислотой, не подвергаются гидролизу. Среди перечисленных в задании солей этому условию отвечает только сульфат натрия, который образован сильным основанием NaOH и сильной кислотой H2SO4. Сульфат натрия не гидролизуется.
Ответ: 2.
Решение 4. Гидролиз соли — это взаимодействие ионов соли с водой с образованием слабого электролита. Многозарядные ионы гидролизуются ступенчато, при этом в большей степени гидролиз идет по первой ступени. Соли, образованные слабыми основаниями и слабыми кислотами одновременно, подвергаются полному гидролизу, если в таблице растворимости для этих солей написано, что они не существуют или разлагаются водой. В этом случае гидролизуется как катион, так и анион соли. К таким солям, например, относится Al2S3. Если соль, образованная слабым основанием и слабой кислотой, растворяется в воде, например CH3COONH4, то гидролиз этой соли идет лишь частично, причем как по катиону, так и по аниону. Среди перечисленных в задании солей условию полного гидролиза отвечает только сульфид алюминия, образованный слабой кислотой H2S и слабым основанием Аl(ОН)3. В таблице растворимости для этой соли указано, что в водном растворе она не существует. Уравнение гидролиза этой соли записывается следующим образом:
![]()
Ответ: 1.
Решение 5. Соль гидролизуется только по катиону, если эта соль образована слабым основанием и сильной кислотой. Раствор подобной соли имеет кислотную среду, а pH раствора этой соли меньше 7. Среди перечисленных в задании солей подобной солью является хлорид цинка. Уравнения I стадии гидролиза этой соли записываются следующим образом:

Ответ: 2.
Решение 6. Соль гидролизуется только по аниону, если эта соль образована сильным основанием и слабой кислотой. Раствор подобной соли имеет щелочную среду, а pH раствора этой соли больше 7.
Среди перечисленных в задании солей подобной солью является сульфид калия. Уравнения I стадии гидролиза этой соли записываются следующим образом:

Ответ: 3.
Решение 7. Гидролиз — обратимый процесс, он усиливается при разбавлении. Гидролиз соли — это эндотермический процесс, поэтому гидролиз усиливается при нагревании. Если соль образована слабым основанием М(ОН)n, то гидролизу подвергается катион Мn+:
![]()
В соответствии с правилом смещения равновесия добавление соляной кислоты и увеличение концентрации ионов водорода будут сдвигать равновесие в сторону ослабления гидролиза. Добавление гидроксида натрия и увеличение концентрации гидроксид-ионов приводят к уменьшению концентрации ионов водорода и смещению равновесия в сторону усиления гидролиза.
Ответ: 1.
Решение 8. Кислотную среду имеют водные растворы солей, образованных слабым основанием и сильной кислотой. Растворы этих солей имеют pH < 7 и окрашивают и метилоранж, и лакмус в красный цвет. Среди перечисленных в задании солей подобной солью является сульфат железа(II). Уравнения I стадии гидролиза этой соли записываются следующим образом:

Ответ: 4.
Решение 9. Фенолфталеин имеет малиновую окраску в щелочной среде. Щелочную среду имеют водные растворы солей, образованных сильным основанием и слабой кислотой. Растворы этих солей имеют pH > 7 и окрашивают лакмус в синий цвет, а метилоранж — в желтый цвет. Среди перечисленных в задании солей подобной солью является фосфат натрия. Уравнения I стадии гидролиза этой соли записываются следующим образом:

Ответ: 4.
Решение 10. Напишем уравнения I стадии гидролиза карбоната натрия:

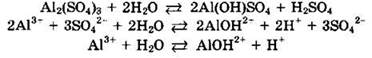
Усиление гидролиза этой соли, как любой другой соли, происходит при нагревании и разбавлении раствора. Кроме того, гидролиз Na2CO3 можно усилить, уменьшив концентрацию гидроксид-ионов, что достигается добавлением кислоты или соли, имеющей кислотную среду вследствие гидролиза. Среди перечисленных в задании соединений таким соединением является сульфат алюминия. Запишем уравнения реакции I стадии гидролиза Al2(SO4)3:

При сливании растворов двух этих солей гидроксид-ионы взаимодействуют с ионами водорода с образованием молекул воды. Уменьшение концентраций этих ионов в соответствующих реакциях приводит к взаимному усилению гидролиза, который протекает полностью. В результате при сливании растворов этих солей идет следующая реакция:
![]()
Ответ: 2.
Решение 21. Хлорид кальция, образованный сильным основанием (Са(ОН)2) и сильной кислотой (НСl), не гидролизуется — ответ 4. Сульфит калия, образованный сильным основанием (КОН) и слабой кислотой (H2SO3), гидролизуется по аниону — ответ 2. Сульфат железа(II), образованный слабым основанием (Fe(OH)2) и сильной кислотой (H2SO4), гидролизуется по катиону — ответ 1. Ацетат аммония, образованный слабым основанием (NH4OH) и слабой кислотой (СН3СООН), гидролизуется по катиону и по аниону — ответ 3.
Ответ: 4213.
Решение 22. Раствор силиката натрия Na2SiO3, образованного сильным основанием (NaOH) и слабой кислотой (H2SiO3), имеет щелочную среду — ответ 2. Раствор хлорида натрия NaCl, образованного сильным основанием (NaOH) и сильной кислотой (НСl), имеет нейтральную среду — ответ 1. Раствор бромида цинка ZnBr2, образованного слабым основанием (Zn(OH)2) и сильной кислотой (НВr), имеет кислую среду — ответ 3. Раствор нитрата калия KNO3, образованного сильным основанием (КОН) и сильной кислотой (HNO3), имеет нейтральную среду — ответ 1.
Ответ: 2131.
Решение 23. Фенолфталеин имеет малиновую окраску в щелочной среде, лакмус имеет фиолетовую окраску в нейтральной среде, а метилоранж имеет красную окраску в кислой среде. Раствор нитрата лития LiNO3, образованного сильным основанием (LiOH) и сильной кислотой (HNO3), имеет нейтральную среду, окрашивая лакмус в фиолетовый цвет, — ответ 2. Раствор силиката калия K2SiO3, образованного сильным основанием (КОН) и слабой кислотой (H2SiO3), имеет щелочную среду, окрашивая фенолфталеин в малиновый цвет, — ответ 1. Раствор бромида алюминия АlВr3, образованного слабым основанием (Аl(ОН)3) и сильной кислотой (НВr), имеет кислую среду, окрашивая метилоранж в красный цвет, — ответ 3. Раствор иодида калия KI, образованного сильным основанием (КОН) и сильной кислотой (HI), имеет нейтральную среду, окрашивая лакмус в фиолетовый цвет, — ответ 2.
Ответ: 2132.
Решение 24. Следует помнить, что в нейтральной среде pH = 7, в кислой среде pH < 7, в щелочной среде pH > 7. Раствор хлорида цинка ZnCl2, образованного слабым основанием (Zn(OH)2) и сильной кислотой (НСl), имеет кислую среду, в которой pH < 7, — ответ 2. Раствор сульфата меди(II) CuSO4, образованного слабым основанием (Сu(ОН)2) и сильной кислотой (H2SO4), имеет кислую среду, в которой pH < 7 — ответ 2. Раствор сульфата калия K2SO4, образованного сильным основанием (КОН) и сильной кислотой (H2SO4), имеет нейтральную среду, в которой pH = 7, — ответ 3. Раствор сульфита натрия Na2SO3, образованного сильным основанием (NaOH) и слабой кислотой (H2SO3), имеет щелочную среду, в которой pH > 7, — ответ 1.
Ответ: 2231.
Решение 25. Раствор ортофосфата калия К3РO4, образованного сильным основанием (КОН) и слабой кислотой (Н3РO4), имеет щелочную среду — ответ 3. Кислые соли гидрофосфат цезия Cs2HPO4 и дигидрофосфат натрия NaH2PO4 образованы сильными основаниями (CsOH и NaOH) и слабой кислотой (Н3РO4) и должны иметь в растворе вследствие гидролиза щелочную среду. С другой стороны, гидрофосфат и дигидрофосфат-ионы диссоциируют с образованием ионов водорода и могут создавать кислую среду. Среда растворов этих солей зависит от преобладания одного из этих двух факторов. Раствор Cs2HPO4 имеет щелочную среду — ответ 3. Раствор NaH2PO4 имеет кислую среду — ответ 1. В кислой соли гидросульфате калия KHSO4 ионы не гидролизуются, а кислая среда раствора определяется диссоциацией гидросульфат-иона в растворе — ответ 1.
Ответ: 3311.
Решение 26. Напишем уравнения гидролиза предложенных солей, помня, что многозарядные ионы гидролизуются ступенчато, при этом гидролиз, как правило, идет по первой ступени. Написав сокращенное ионное уравнение, находим это уравнение среди уравнений, предложенных в задаче.

Ответ: 4361.
Решение 27. Определим характер гидролиза солей, перечисленных в задании, и установим соответствие. Нитрат калия, образованный сильным основанием (КОН) и сильной кислотой (HNO3), не гидролизуется. Также не гидролизуется сульфат цезия, образованный сильным основанием (CsOH) и сильной кислотой (H2SO4), — ответ 4. Сульфид калия, образованный сильным основанием (КОН) и слабой кислотой (H2S), гидролизуется по аниону. Аналогично гидролизуется ортофосфат натрия, образованный сильным основанием (NaOH) и слабой кислотой (Н3РO4), — ответ 2. Хлорид железа(III), образованный слабым основанием (Fe(OH)3) и сильной кислотой (НСl), гидролизуется по катиону. Аналогично гидролизуется нитрат цинка, образованный слабым основанием (Zn(OH)2) и сильной кислотой (HNO3), — ответ 1. Сульфид хрома(III), образованный слабым основанием (Сr(ОН)3) и слабой кислотой (H2S), гидролизуется по катиону и по аниону. Аналогично гидролизуется ацетат аммония, образованный слабым основанием (NH3H2O) и слабой кислотой (СН3СООН), — ответ 3.
Ответ: 4213.
Решение 28. Раствор нитрата алюминия Al(NO3)3, образованного слабым основанием (Аl(ОН)3) и сильной кислотой (HNO3), имеет кислую среду — ответ 3. Раствор бромида бария, образованного сильным основанием (Ва(ОН)2) и сильной кислотой (НВr), имеет нейтральную среду — ответ 1. Раствор силиката натрия Na2SiO3, образованного сильным основанием (NaOH) и слабой кислотой (H2SiO3), имеет щелочную среду — ответ 2. Раствор хлорида аммония NH4Cl, образованного слабым основанием (NH3 ∙ H2O) и сильной кислотой (НСl), имеет кислую среду — ответ 3.
Ответ: 3123.
Решение 29. Фенолфталеин имеет малиновую окраску в щелочной среде, лакмус имеет фиолетовую окраску в нейтральной среде, а метилоранж имеет красную окраску в кислой среде. Раствор сульфата натрия Na2SO4, образованного сильным основанием (NaOH) и сильной кислотой (H2SO4), имеет нейтральную среду, окрашивая лакмус в фиолетовый цвет, — ответ 3. Раствор хлорида цинка ZnCl2, образованного слабым основанием (Zn(OH)2) и сильной кислотой (НСl), имеет кислую среду, окрашивая метилоранж в красный цвет, — ответ 2. Раствор ортофосфата калия К3РO4, образованного сильным основанием (КОН) и слабой кислотой (Н3РO4), имеет щелочную среду, окрашивая фенолфталеин в малиновый цвет, — ответ 1. Раствор хлорида бария ВаСl2, образованного сильным основанием (Ва(ОН)2) и сильной кислотой (НСl), имеет нейтральную среду, окрашивая лакмус в фиолетовый цвет, — ответ 3.
Ответ: 3213.
Решение 30. Сульфат алюминия, образованный слабым основанием (Аl(ОН)3) и сильной кислотой (H2SO4), гидролизуется по катиону — ответ 4. Сульфид натрия, образованный сильным основанием (NaOH) и слабой кислотой (H2S), гидролизуется по аниону — ответ 3. Фторид аммония, образованный слабым основанием (NH3 ∙ H2O) и слабой кислотой (HF), гидролизуется по катиону и по аниону — ответ 2. Нитрат бария, образованный сильным основанием (Ва(ОН)2) и сильной кислотой (HNO3), не гидролизуется — ответ 1.
Ответ: 4321.









