Химия и повседневная жизнь человека - поурочные разработки
Химические секреты агронома - Сценарии уроков на основе проблемных заданий
Цели урока. Повторить изученный программный материал по химии в его взаимосвязи с биологией; познакомить учащихся с отдельными агротехническими приемами, основанными на закономерностях протекания химических реакций; сформировать практические знания, необходимые для работы на даче или приусадебном участке.
Задания
10.1. Ваш сосед прочел в книге для садоводов-любителей, что при посадке плодовых деревьев и ягодных кустарников надо в яму для саженца, кроме удобрений, положить несколько расплющенных и обожженных на костре металлических консервных банок, и попросил вас объяснить смысл этого приема. Как вы это объясните с точки зрения химии? Почему нередко комнатные растения, посаженные в металлическую банку из-под консервов, лучше растут, чем такие же растения и глиняных горшках?
10.2. Известно, что под большинство сельскохозяйственных культур можно вносить только перепревший навоз, лучше прошлогодний. Но при хранении навоза он теряет много азота — основного питательного элемента. Чтобы уменьшить потери азота, к навозу добавляют суперфосфат. За счет каких процессов теряется азот при хранении навоза и почему эти потери можно уменьшить с помощью суперфосфата?
10.3. Этилен является природным стимулятором созревания плодов: его накопление в плодах ускоряет их созревание, и чем раньше начинается накопление этилена, тем раньше созревают плоды. Поэтому этилен используют для искусственного ускорения созревания плодов.
Опыт по ускорению созревания плодов под действием этилена вы можете поставить в условиях школьного химического кабинета, например с помидорами.
Опытным путем установлено, что для дозревания помидоров необходима концентрация этилена 1:2000, т. е. один объем этилена на 2000 объемов воздуха. Этилен можно получить из этилового спирта и серной кислоты. Под действием концентрированной серной кислоты от этилового спирта отщепляется вода и образуется этилен:
![]()
В качестве камеры дозревания можно использовать герметический ящик. В камеру помещают зеленые томаты. Раз в сутки в нее подают этилен, предварительно проветрив. Под действием этилена томаты созреют за 5—6 дней, в контрольном опыте — за 10—12. Рассчитайте, сколько надо взять этилового спирта, чтобы получить нужное для опыта количество этилена.
10.4. В Петровской сельскохозяйственной академии (с 1923 г. — Московская сельскохозяйственная академия им. К. А. Тимирязева) в XIX в. произошел курьезный случай. Два года тщетно пытались вырастить зимой огурцы. Не помогали никакие научно обоснованные приемы. Тогда пригласили одного клинского огородника и предложили ему выращивать в теплицах огурцы в свою пользу, но при условии, что он разрешит перенять его приемы. Клинский гость решил проблему с помощью навоза, но в почву его не вносил. С первого же захода в теплице получили отменный урожай огурцов. По этому поводу профессор А. Г. Дояренко писал: «Клинские огородники вековым опытом... выработали приемы управления самыми тонкими жизненными процессами растений...» Каким именно процессом научились управлять клинские огородники с помощью навоза и в чем заключается их секрет?
10.5. У А. К. Толстого в одном из стихотворений есть строка: «...вслед за пахарем прилежным ходят жирные грачи». Действительно, все, кому приходилось наблюдать процесс вспашки почвы, замечают, что за плугом ходят стаи птиц и склевывают червей, которые при вспашке с оборотом пласта оказываются на поверхности. Может ли этот чисто биологический процесс — поедание червей птицами — повлиять на химический состав почвы?
10.6. Любителям разводить «огород на подоконнике» рекомендуют экологически чистое и к тому же бесплатное удобрение, которое можно приготовить, если скорлупу сырых яиц бросать в банку с водой. Через несколько дней вода приобретает специфический тухлый запах, значит, удобрение готово и можно поливать огород. Банку лучше держать закрытой, чтобы запах не распространялся но квартире. Какой элемент питания получают растения с этим удобрением и в какой форме? Чем обусловлен тухлый запах?
10.7. В связи с экономическим кризисом на Украине было закрыто много угольных шахт. Оставшиеся без работы шахтеры занялись огородничеством и, как люди хозяйственные, решили использовать все имущество, оставшееся после закрытия шахт. Пошла в ход и взрывчатка с истекшим сроком хранения — ее стали использовать в качестве удобрения (эта информация была опубликована в одной из газет г. Донецка). Насколько обосновано это с точки зрения агрохимии?
10.8. Если вы решили заново побелить потолки в своем доме мелом или известью, предварительно необходимо потолки размыть — после размачивания снять всю старую побелку скребком. Это очень грязная работа, после которой приходится выносить из дома большое количество старой побелки. Обычно ее выбрасывают в мусорные ящики. Можно ли попытаться использовать ее в саду или огороде?
10.9. Все, кто занимается огородничеством, знают, что хороший компост можно получить, если выдерживать компостную кучу не менее полугода. Но многим удается ускорить этот процесс, поливая компостную кучу водой, которую собирают после мытья молочной посуды, и бросая в нее отходы черного (ржаного) хлеба. За счет каких процессов происходит в этом случае ускорение созревания компоста?
10.10. Сейчас далеко не все дачники могут приобрести навоз, поэтому многие пользуются жидким удобрением, приготовленным из выполотых на огороде сорняков. Бочку заполняют до половины объема выполотой травой, доливают водой доверху, прикрывают полиэтиленовой пленкой и выдерживают 10—12 дней. Когда процесс брожения закончится, жидкое удобрение можно вносить на грядки. Как вы думаете, зависит ли эффективность такого удобрения от вида сорных растений, из которых оно приготовлено?
10.11. Раньше самые бережливые хозяйки воду, в которой отваривали очищенные овощи для салата, использовали для приготовления супа. Сейчас рекомендуют ее выливать, так как при варке в воду переходят нитраты, которые могут содержаться в овощах. Можно ли все-таки с пользой употребить этот отвар, если вы живете в городской квартире?
10.12. Вы обнаружили в хозяйстве полмешка цемента, который хранится очень давно, и хотя не потерял сыпучесть, но уже почти не схватывается. Можно ли найти ему какое-то применение в сельском хозяйстве?
10.13. В книге А. М. Юдина, М. Н. Ратманского «Домоводство. 5000 советов и рецептов в согласии с природой» приведен такой рецепт быстрого проращивания семян петрушки, которая, как известно, является тугорослым растением: «Семена петрушки могут прорасти в течение нескольких часов, если замочить их в свежем молоке, посыпать землю трижды с интервалом 10—15 мин тонко размолотой негашеной известью, после чего посеять семена и спрыснуть водой». Как вы можете объяснить сущность этого приема?
10.14. Навозная жижа— ценное быстродействующее азотно-калийное удобрение, в котором азот содержится преимущественно в виде мочевины (NH2)2CO. На крупных животноводческих фермах оборудуют специальные жижесборники для хранения навозной жижи. Нередко поверхность жижи в жижесборниках покрывают слоем нефти пли отработанного машинного масла. Попробуйте объяснить, с какой целью это делают.
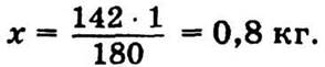
10.15. Чтобы семена сельскохозяйственных культур хорошо сохранялись, они должны иметь влажность не более 15%. Высушить семена не всегда просто, так как нагревание приводит к потере всхожести. Поэтому нередко применяют химическую сушку: смешивают семена с безводным сульфатом натрия. Эта соль легко образует очень прочный кристаллогидрат состава Na2SО4· 10Н2О, поэтому при смешивании ее с влажными семенами она отнимает от них воду и связывает ее в кристаллогидрат. Рассчитайте, сколько нужно сульфата натрия для высушивания 10 кг семян, имеющих влажность 25% , до кондиционной влажности 15%.
10.16. Современные теплицы оснащены сложным техническим оборудованием, которое автоматически поддерживает в теплице нужную температуру, влажность воздуха и его состав. В большинстве теплиц воздух искусственно обогащают оксидом углерода (IV) СО2, подавая его из баллонов. Все оборудование теплиц работает круглосуточно, но подачу СО2 ночью прекращают. Почему?
10.17. Во многих странах Востока бытовала одна легенда. Согласно ей, какой-то властелин приказал своему садовнику заставить зеленые груши вызревать за одну ночь. Если же посмеет ослушаться, может лишиться головы. Садовник поставил корзину с грушами в угол своей каморки, зажег ладан в кадиле и стал горестно молиться. И произошло чудо — к утру груши созрели! Можно ли объяснить это чудо с точки зрения химии и физиологии растений? Напомним, что ладан — смолистое вещество растительного происхождения.
10.18. В 1629 г. голландский ученый Ван Гельмонт поставил интересный опыт. В высушенную землю он посадил побег ивы, предварительно взвесив и землю, и побег. В течение пяти лет побег поливали дождевой водой. Через пять лет побег превратился в дерево, прибавив в весе 164 фунта. Земли убавилось только полтора фунта. Ученый сделал вывод: растение питалось только водой. Правильный ли вывод сделал ученый? За счет каких химических процессов и веществ произошло увеличение массы растения?
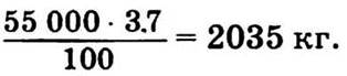
10.19. Обитающие в почве мелкие млекопитающие — кроты, слепыши, роя норы и строя гнезда, перемещают огромное количество почвы. Например, кроты, в зависимости от их численности, перерывают от 3,9 до 55 т на 1 га, а их выбросы в лесах занимают до 37% территории. Вместе с почвой перераспределяются и химические элементы. В перерытом слепышами верхнем слое чернозема возрастает содержание кальция: они перемещают почву из нижнего черноземного карбонатного горизонта, находящегося на глубине около 1 м, к верхнему. Попробуйте выразить эту «агрохимическую» работу в килограммах на гектар: рассчитайте, сколько кроты перемещают кремния и железа, если содержание этих элементов в тех слоях почвы, где протекает жизнедеятельность кротов, составляет соответственно 33,0 и 3,7%.
10.20. Все знают, что картофель, который хранили при слишком низких температурах, имеет сладковатый привкус. Как это можно объяснить с точки зрения химии и биологии и как избавиться от этого привкуса?
10.21. После выщелачивания сахара из свекольной стружки остается сахарный жом, который используют на корм скоту. На фильтре остается также плотный осадок, который технологи сахарного производства называют малопривлекательным производственным термином «фильтр-прессовая грязь». Эту грязь рекомендуют использовать в качестве удобрения для кислых почв. Присутствием каких веществ в этом осадке объясняется его удобрительная ценность? Почему процесс извлечения сахара из свекольной стружки называют выщелачиванием?
10.22. Даже людям, не имеющим отношения к сельскому хозяйству, известно, что наиболее ценными являются пшеницы твердых сортов. Над созданием и усовершенствованием именно таких сортов упорно трудятся селекционеры. Из пшеницы твердых сортов изготавливают самые лучшие макароны, самые дорогие сорта муки. Но есть одно пищевое производство, где особенно ценятся пшеницы мягких сортов, — это производство пищевого спирта. Как вы думаете, почему?
Подсказка. Химический состав зерна пшеницы мягких и твердых сортов.
10.23. Есть ли разница в содержании питательных веществ в листьях салата, срезанных утром и вечером? В какое время суток их лучше срезать?
Ответы и решения
10.1. Консервные банки изготовлены из специальной жести, устойчивой к коррозии и содержащей, помимо железа, олово и некоторые другие металлы. Все эти элементы являются необходимыми компонентами минерального питания растений (микроэлементами). Постепенно растворяясь под действием воды и почвенных кислот, они обеспечивают дополнительную минеральную подкормку, и растение лучше растет. Обжечь банки необходимо потому, что их поверхность изнутри покрыта специальным пищевым лаком, защищающим от коррозии.
10.2. В навозе часть азота содержится в виде мочевины (NH2)2CO, которая разлагается по уравнению:
![]()
Выделяющийся аммиак связывается суперфосфатом в более прочное соединение:
![]()
10.3. Прежде всего необходимо рассчитать объем камеры. Предположим, он равен 1 м3, или 10 000 л. Для создания концентрации этилена 1:2000 в камере такого объема необходимо 10 000 : 2000 = 5 л этилена ежедневно, на 6 дней — 30 л. По уравнению реакции из одной молекулы С2Н5ОН образуется 22,4 л этилена:
46 г — 22,4 л,
х г — 30 л.

Именно 60 г спирта необходимо для получения 30 л этилена.
10.4. Клинские огородники умели управлять процессом фотосинтеза. В теплицах они ставили бочки с навозом, разбавленным водой. При его брожении выделяется углекислый газ за счет разложения мочевины. Повышение концентрации СО2 в воздухе теплицы активизирует процесс фотосинтеза, что и приводит к повышению урожая. В современных тепличных хозяйствах СО2 подают из баллонов.
10.5. Дождевые черви пронизывают почву сетью ходов, что улучшает аэрацию и ускоряет протекание всех окислительных процессов в почве. Питаясь разлагающимися органическими веществами, черви пропускают через свой кишечник большое количество почвенной массы, выделяя ее в переработанном виде. Эти выделения составляют несколько сотен тонн на 1 га и являются прекрасной средой для размножения почвенных микроорганизмов, численность которых увеличивается в несколько раз, а это тоже способствует разложению органических веществ и превращению их в доступные растениям формы. Таким образом, жизнедеятельность червей ускоряет разложение органических веществ почвы и влияет на ее химический состав, повышая плодородие.
Сейчас в сельском хозяйстве получает все большее распространение технология выращивания экологически чистых овощей, основанная на использовании в качестве удобрения биогумуса, который получают, специально заселяя массу растительных остатков (компост) калифорнийскими червями. Следовательно, уничтожение червей птицами является неблагоприятным для земледельца процессом, так как приводит к изменению химического состава почвы в сторону уменьшения ее плодородия.
10.6. Содержимое яиц, оставшееся в пустой скорлупе, в водной среде при комнатной температуре подвергается реакции гниения, характерной для белков. Гниение называют также аммонификацией, так как при гниении азот, содержащийся в молекулах белков, превращается в аммиак и ион аммония NH4+ и становится доступным растениям, которые, как известно, могут усваивать азот только в виде неорганических ионов. Гниение белков протекает под действием гнилостных микроорганизмов и начинается с гидролиза белков до аминокислот, которые затем ассимилируются микроорганизмами, выделяющими разнообразные продукты, в том числе и дурно пахнущие аммиак и сероводород. Полученное таким способом жидкое удобрение содержит главным образом азот.
10.7. В промышленности в качестве взрывчатых веществ чаще всего применяют аммониты — смеси NH4NО3 с взрывчатыми нитросоединениями и различными добавками (например, с добавкой алюминия — аммонал). Нитрат аммония — высококонцентрированное азотное удобрение, так что идея шахтеров с точки зрения агрохимии вполне здравая. При внесении в почву сухого аммонита хорошо растворимый нитрат аммония быстро проникает в почву, но остается плохо растворимый в воде тринитротолуол. Поэтому лучше использовать не аммонит, а водную вытяжку из него. Правда, такое удобрение трудно дозировать, для этого надо знать точный состав смеси и рассчитать концентрацию нитрата аммония в растворе.
10.8. Старая побелка состоит в основном из карбоната кальция СаСО3, который хорошо вносить в кислые почвы, хотя растворяется он довольно медленно.
10.9. При компостировании органических остатков происходят процессы аммонификации и нитрификации, за счет которых азот органических соединений превращается в усвояемую растениями форму. Процессы аммонификации и нитрификации по своей природе микробиологические, так как протекают под действием бактерий. Поливая компостную кучу молочными отходами и добавляя остатки хлеба, мы способствуем заселению ее полезными микроорганизмами, которые ускоряют разложение органических остатков.
10.10. Да, зависит. Чем больше в растении протеинов, тем больше азота в полученном жидком удобрении. Хорошее удобрение получается из крапивы.
10.11. Этой водой можно полить комнатные цветы, конечно, если овощи отваривали без соли.
10.12. Минералогический состав наиболее распространенного портландцемента: 3СаО · SiО2 — 45—65%, 2СаО · SiО2 — 10—25%, 3СаО · Аl2O3 — 4—12%, 4CaO · Al2O3 · Fe2O3 — 1—15%,CaSO4 · 2H2O до 5%.
С водой цемент взаимодействует по схеме:
![]()
Так что старый цемент можно внести в кислую почву для ее нейтрализации.
10.13. При замачивании в молоке семена покрываются тонкой пленкой питательных веществ, аналогичный прием, который называется дражирование, широко применяют в растениеводстве. Негашеная известь, вносимая в почву небольшими дозами, постепенно будет взаимодействовать с водой с выделением тепла и обеспечит длительный подогрев почвы, что очень важно для быстрого прорастания.
10.14. В навозной жиже значительное количество азота находится в виде мочевины (NH2)2CO, которая под влиянием уробактерий быстро превращается в карбонат аммония (NH4)2CO3, а последний легко разлагается:
![]()
При хранении жижи аммиак быстро улетучивается, и ценность жижи как азотного удобрения снижается. Слой нефти или машинного масла препятствует улетучиванию выделяющихся газов, и разложение (NH4)2CO3 замедляется.
10.15. В 10 кг семян при 25%-ной влажности содержится 10-0,25 — 2,5 кг воды, а при 15%-ной — 10 · 0,15 = 1,5 кг. Надо связать 2,5 - 1,5 = 1 кг воды. M(Na2SO4) — 142 г/моль, следовательно, 142 г Na2SO4 связывает 10 моль воды — 180 г.
142 г — 180 г воды,
х г — 1 кг.

10.16. СO2 нужен для фотосинтеза и может использоваться только на свету (см. задание 10.4).
10.17. При горении смол природного происхождения образуется много различных газообразных веществ, в том числе и некоторое количество этилена, который ускоряет созревание плодов. В естественных условиях его выделяют созревающие плоды. Этилен и продукты, высвобождающие его, широко применяют для ускорения созревания всех экзотических фруктов, которые снимают и везут в Европу недозрелыми, а затем они «созревают» в специальных камерах под действием этилена (см. задание 10.3).
10.18. Ван Гельмонт сделал ошибочный вывод: он не учел процесс фотосинтеза, за счет которого и происходит накопление растительной массы:

10.19. Если кроты перемещают от 3,9 до 55 т почвы на 1 га, то кремния они при этом перемещают от
до
а железа от
до 
Конечно, следует учесть, что эти цифры — усредненные, а такой большой разброс значений объясняется большим разбросом значений численности кротов в различных почвенно-климатических зонах.
10.20. Надо вспомнить сущность физиологических процессов дыхания растений и прорастания семян и клубней. В клубнях картофеля постоянно происходит превращение крахмала в сахара, который расходуется на дыхание клубней. При пониженных температурах (ниже +2 °С) дыхание клубней сильно замедляется, и начинается накопление глюкозы. Если такой картофель подержать 5 -7 дней при комнатной температуре, сладкий и кус исчезнет, так как дыхание возобновится, а имеете с ним возобновится и расходование глюкозы. Исчезает он и при прорастании клубней, так как в этом процессе также расходуется глюкоза.
10.21. Этот осадок содержит карбонат кальция СаСО3. Выщелачиванием процесс называют потому, что раствор сахарозы, полученный из свекольной стружки, для извлечения сахарозы обрабатывают известковым молоком.
10.22. Зерно пшеницы твердых сортов содержит много белка, а в пшенице мягких сортов меньше относительное содержание белка, но больше относительное содержание крахмала, который нужен для производства спирта.
10.23. Зная условия протекания реакции фотосинтеза, можно утверждать, что к вечеру происходит максимальное накопление углеводов в листьях, а ночью они частично расходуются на дыхание. Поэтому вечерний салат полезнее утреннего.