Химия и повседневная жизнь человека - поурочные разработки
Рога и копыта - Сценарии уроков на основе проблемных заданий
Цели урока. Повторить программный материал курса химии в связи с его практическим значением для животноводства и показать на конкретных примерах, как важно и животноводу знать основы химии, уметь решать расчетные задачи самых различных типов.
Основной объем материала, включенного в урок, связан с неорганической химией, поэтому его можно проводить при повторении курса неорганической химии в 9 классе, исключив некоторые задания. Полностью урок можно проводить в 11 классе.
Оборудование. В качестве наглядного материала можно использовать образцы силоса — хорошего качества и испорченного, скорлупу яйца; образцы минеральных подкормок, таблицы химического состава кормов, тела животных, схемы устройства вентиляционных систем животноводческих помещений.
Методические рекомендации по проведению урока
Материал этого урока рассчитан прежде всего на сельских школьников. Роль химии в сельском хозяйстве традиционно связывают с растениеводством. Значительно меньше внимания уделяют связи химии с проблемами животноводства.
Примерный текст введения к уроку
Рога и копыта — очень важные части организма многих сельскохозяйственных животных. Все мы знаем, что без помощи химии невозможно заниматься растениеводством. Но о том, что химия необходима и животноводам, известно значительно меньше. На этом уроке мы узнаем, как химия помогает сохранить здоровыми рога и копыта, а также клювы, шерсть и перья и, что самое главное, получить больше молока, мяса, яиц.
Задания
12.1. Скорлупа яиц состоит преимущественно из карбоната кальция СаСО3. Подсчитайте, сколько кальция теряет организм курицы с каждым снесенным яйцом, если масса скорлупы в среднем 10 г, и сколько кальция должна получить несушка с кормами в течение года, если средняя яйценоскость составляет 220 яиц в год. Определите также годовой запас мела для домашней птицефермы, если на ней содержат 5 кур-несушек.
12.2. Минеральные подкормки, содержащие кальций, — обязательный компонент рациона кур. Этот химический элемент добавляют в корм птице в виде мела, ракушек, известняка, мраморной крошки. Если этих веществ нет, можно воспользоваться известью. Но во всех руководствах по птицеводству указано, что птице можно скармливать только старую известь, после гашения которой прошло не менее полугода. Как это можно объяснить?
12.3. У сельскохозяйственных животных при недостатке каких-либо компонентов питания в рационе появляются отклонения в поведении: они пытаются поедать несъедобные предметы. Так животные инстинктивно пытаются восполнить недостающие им элементы питания. Например, животноводы замечают, что дефицит серы в организме крупного рогатого скота проявляется не только в уменьшении прочности копыт, выпадении шерсти, но и в том, что животные пытаются жевать резиновые сапоги работников фермы. Почему именно в резине ищут животные источник недостающего элемента?
12.4. Если телята упорно слизывают побелку со стен и перегородок телятника, недостаток какого элемента питания в их рационе можно предположить?
12.5. Поросята-сосуны часто страдают от анемии (малокровия), так как в молоке свиней мало железа. Поэтому минеральные подкормки, содержащие железо, — обязательный компонент их рациона. На крупных фермах поросятам делают внутримышечные инъекции препаратов железа. Владельцы небольших свиноферм пользуются более простыми способами: добавляют соли железа в питьевую воду или сбрызгивают их растворами корма. Обычно минеральную подкормку готовят так: в 1 л воды растворяют 2,5 г железного и 1 г медного купороса (медь стимулирует ассимиляцию железа в организме). Рассчитайте, сколько надо запасти железного и медного купороса, если у свиноматки родилось 8 поросят, а норма расхода — ежедневно 10 мл раствора на одного поросенка до достижения 20-дневного возраста.
12.6. Для профилактики и лечения диспепсии (расстройства пищеварения) поросят очень эффективен йодкрахмальный препарат, который легко приготовить в домашних условиях: 10 г крахмала размешать в 50 мл холодной воды и влить и 450 мл кипящей воды, после охлаждения добавить 10 мл 5%-ной спиртовой настойки йода. Этот раствор интенсивно-синего цвета, в котором йод проявляет сильное антибактериальное действие и при этом не раздражает слизистые оболочки органов пищеварения. Рассчитайте, сколько вам потребуется крахмала и настойки йода, если надо провести 12-дневный профилактический курс пяти поросятам, а ежедневная доза препарата — 10 мл на одного поросенка.
12.7. Все птицеводы-любители знают, что курам надо дать возможность «купаться» в чистой древесной золе. Это помогает птице избавиться от паразитов, обитающих в оперении. Выполняет ли зола и еще какие-то функции в содержании птицы?
Подсказка. Древесная зола содержит карбонаты калия, кальция, магния, а также соединения фосфора, серы, микроэлементы.
12.8. В желудке жвачных животных в результате гидролиза углеводов образуются уксусная СН3СООН, пропионовая С2Н5СООН и масляная С3Н7СООН кислоты в количестве до 12 кг кислот в сутки. Соотношение между отдельными кислотами зависит от рациона. Сено и солома способствуют образованию ацетатов, зерно — образованию пропионовой и масляной кислот. Соотношение кислот влияет на направленность обмена в организме животных. Уксусная кислота способствует повышению жирномолочности коров, пропионовая — образованию мышечной массы, а масляная способствует возникновению патологии. Поэтому в рационе молочных коров должно быть много грубых кормов, а бычкам при откорме дают большое количество зерновых кормов. Чтобы сдвинуть обмен веществ в организме животных в нужном направлении (у коров — в сторону образования молока, у бычков — мяса), применяют кормовые добавки, которые изменяют соотношение различных кислот в желудке животных. Это позволяет значительно повысить продуктивность животных. Какие химические соединения вы предложили бы для этой цели?
12.9. В 80-е гг. в одном известном подмосковном колхозе случилось ЧП: в январе сгорел весь запас сена. В течение месяца коров кормили только силосом и концентратами. Молочное стадо колхоза было укомплектовано коровами айрширской породы, которая отличается не только высокими удоями (4—5 тыс. кг молока в год), но и жирномолочностью (4,5%). Через месяц после такого резкого изменения рациона удои заметно снизились, а 4 коровы, причем самые высокоудойные, погибли. Как вы думаете, почему снизились удои и почему погибли самые высокопродуктивные животные?
Подсказка в тексте предыдущего задания.
12.10. Одна из серьезных проблем животноводства — очистка воздуха в животноводческих помещениях, который загрязняется парами воды, углекислым газом, аммиаком, сероводородом. Это снижает продуктивность животных и влияет на здоровье животноводов. В агрессивной атмосфере электрические вентиляторы быстро выходят из строя, система естественной вентиляции недостаточно эффективна и приводит к возникновению сквозняков. Поэтому необходимо очищать воздух животноводческих помещений и другими вспомогательными средствами. Может ли частая побелка стен и перегородок известью повлиять на состав воздуха?
12.11. Часто в животноводческих помещениях ставят поддоны с суперфосфатом для улучшения состава воздуха. Какие вредные примеси поглощает суперфосфат и за счет каких процессов?
12.12. В воздухе любого животноводческого помещения скапливается диоксид углерода (IV) (углекислый газ) за счет дыхания животных. Где будет выше концентрация этого газа во время дойки — к зоне дыхания коров или в зоне работы доярок?
12.13. По нормам зоогигиены допустимая концентрация вредных газов в свинарниках составляет: NH3— 0,026%, H2S— 0,01%. Известно, что запах аммиака ощущается человеком при концентрации 35 мг/м3, а запах сероводорода — при концентрации 1,4—2,8 мг/м3. Можно ли надеяться на свое обоняние при оценке качества воздуха и свинарнике?
12.14. Ионы кальция, помимо ведущей роли в формировании костной системы животных, выполняют и нейрофизиологические функции: стабилизируют возбудимость нервов и контролируют количество активизирующего мышцы вещества, которое выделяется нервными окончаниями. Поэтому недостаток кальция приводит к нарушению двигательных функций. Известны случаи, когда высокоудойные коровы после отела не могут подняться на ноги из-за частичного паралича мышц. Это заболевание называется послеродовым парезом, а причина его — резкое снижение концентрации ионов кальция в крови, вызванное секрецией больших количеств молока.
Для профилактики послеродового пареза необходимо обеспечить поступление в организм животного достаточного количества кальция в сухостойный период и сразу же после отела. При этом очень важно также поддерживать оптимальное соотношение между кальцием и фосфором. Физиологами установлено, что в сухостойный период соотношение Са и Р в рационе должно составлять 1:1, а сразу же после отела — 1,3:1. В качестве минеральной подкормки, содержащей кальций и фосфор, можно использовать костную муку, в 100 г которой содержится 31,6 г фосфора и 14,6 г кальция, а также соли кальция: преципитат СаНРО4 · 2Н2О, монокальций фосфат Са(Н2РО4)2 и трикальций фосфат Са3(РО4)2. Какую из перечисленных ниже солей кальция лучше всего выбрать в качестве подкормки для коров в сухостойный период (так называют период за 2 месяца до отела, во время которого коров не доят) и после отела? Назовите все указанные соли в соответствии с требованиями современной номенклатуры.
12.15. Известно, что в рубце жвачных животных обитает огромное количество бактерий, способных перерабатывать корма с высоким содержанием клетчатки. Таким способом жвачные животные наращивают собственную массу.
Организм коровы, переваривая массу бактерий, получает необходимые ему белки. В скотоводстве применяются в качестве кормовых добавок вещества, содержащие небелковый азот — мочевину (амид угольной кислоты (NH2)2CO), сульфат аммония (NH4)2SО4, гидроаммонийортофосфат (NH4)2HPО4, которые в рубце под действием фермента уреазы расщепляются с образованием NH3 и СО2. Бактерии рубца из аммиака синтезируют аминокислоты, идущие затем на построение белка тела микроорганизмов — бактериального белка. Благодаря такой особенности жвачных можно за счет кормовых добавок экономить наиболее дорогостоящие концентрированные корма, являющиеся основным источником белка для животных. Обычно небелковые азотистые вещества добавляют в силос по норме 5 кг мочевины на 1 т силоса. Сколько пшеничных отрубей можно сэкономить за счет скармливания 2 т такого силоса, если 1 г мочевины заменяет 2,6 г перевариваемого протеина, содержание которого в пшеничных отрубях составляет 130 г/кг?
12.16. Солома — грубый малопитательный корм, к тому же плохо переваривается животными, так как содержит в основном клетчатку. Но этот корм — дешевый и доступный, поэтому его широко применяют в животноводстве. Для улучшения перевариваемости соломы ее перед скармливанием подвергают обработке — запаривают водой или щелочными растворами. Щелочи растворяют лигнин — вещество, относящееся к классу фенолов, которое содержится между волокон целлюлозы, поэтому солома становится более мягкой. Для этой цели можно использовать растворы соды, гидроксида натрия, аммиачную воду. Какой реактив, по-вашему, следует предпочесть, если стоимость обработки примерно одинакова, а скармливать солому будут бычкам?
Подсказка в предыдущем задании.
12.17. После забоя свиньи помещение, где она содержалась, тщательно дезинфицируют, и только после этого туда можно помещать другое животное. Для дезинфекции можно использовать и такой доступный препарат, как формальдегид, 40%-ный раствор которого под названием «формалин» продается в аптеках. Сколько надо приобрести формалина для дезинфекции пола и стен в свинарнике размером 2 х 3 м, высотой 2 м, если норма расхода при дезинфекции — 0,5л 6%-ного раствора на 1 м2? (Принять плотность раствора формалина за 1 г/мл.)
12.18. Новорожденные поросята часто погибают из-за переохлаждения, поэтому в первые дни их содержат в специально огороженном месте — берложке, в которой устанавливают источник обогрева, чаще всего обычную электролампочку с защитным колпаком. За счет этого температура в зоне нахождения поросят на несколько градусов выше, чем во всем свинарнике. Может ли повлиять этот прием на чистоту воздуха в зоне нахождения поросят, если воздух в свинарнике загрязнен преимущественно оксидом углерода (IV), аммиаком и сероводородом?
12.19. В 1808 г. английский химик Г. Дэви впервые получил из навоза путем его сбраживания без доступа воздуха метан и оксид углерода (IV). В 1985 г. в Англии был создан первый в мире аппарат по переработке навоза в горючий газ, который стали называть биогазом. Сейчас основное количество биогазовых установок (БГУ) сосредоточено в странах Юго-Восточной Азии: Пакистане, Бангладеш, Индии. Опыт их эксплуатации в этих жарких странах показал, что навоза от четырех коров вполне достаточно, чтобы обеспечить энергией, необходимой для хозяйственных нужд, среднюю сельскую семью. Но БГУ вызывают интерес и у животноводов индустриально развитых стран как средство для решения серьезной экологической проблемы — утилизации больших объемов жидких навозных стоков крупных животноводческих ферм, где для уборки навоза часто применяют гидросмыв. Полученный биогаз можно использовать для отопления животноводческих построек и жилых домов и даже как топливо для тракторов. Биогаз в зависимости от сырья и условий сбраживания содержит 50—70% СН4, 30— 50% СО2, а также приблизительно 0,5% сероводорода, 1% водорода и до 4% азота.
Рассчитайте, сколько тепловой энергии можно получить в течение года за счет переработки в биогаз навоза, поступающего с фермы по откорму свиней, если на ней постоянно содержится 1000 голов, каждое животное выделяет в стуки в среднем 5 кг навоза влажностью 90%, а из 1 кг сухого свиного навоза можно получить 0,5 м3 биогаза, содержащего 60% СН4.
Подсказка. Теплота сгорания метана составляет 32,7 МДж/м3.
12.20. Навоз различных видов сельскохозяйственных животных имеет различный состав, поэтому при его метановом сбраживании образуется различное количество биогаза. Из 1 кг сухого свиного навоза можно получить 0,5 м3 биогаза, из 1 кг коровьего — 0,3 м3, а из 1 кг сухого куриного помета — 0,7 м3. Попробуйте сравнить «энергетическую ценность» коровы, свиньи и курицы с точки зрения количества биогаза, которое можно получить за счет переработки навоза или помета этих животных в течение года. Необходимые данные для расчетов: корова выделяет в сутки в среднем 55 кг навоза, свинья на откорме — 5 кг, курица 0,15 кг, влажность свиного и коровьего навоза 90%, куриного помета — 55%. (Средняя масса коровы — 400 кг, свиньи — 80 кг, курицы — 1,5 кг.)
12.21. Корова средних размеров потребляет в час примерно 2,5 м3 воздуха. Если в 1 м3 свежего воздуха содержится 209,5 л кислорода и 0,3 л углекислого газа, то в таком же объеме использованного — соответственно 160 и 40 л. Попробуйте рассчитать, через какой промежуток времени концентрация СО2 в коровнике на 50 голов превысит допустимую по нормам зоогигиены цифру — 0,20%, если в нем полностью отказала вентиляция. Размеры типового коровника на 50 голов 12 х 80 х 3 м.
12.22. В американском учебнике «Химия и общество» приведена интересная информация из опыта фермеров-птицеводов США. Летом в очень жаркую погоду нередко начинает снижаться прочность скорлупы. В таких случаях фермеры поят птицу не обычной, а газированной водой, и прочность скорлупы восстанавливается. Объясните это явление с точки зрения химии и с точки зрения физиологии животных.
Ответы и решения
12.1. М(СаСО3) = 100 г/моль.
ω(Са) = 40%, т. е. в 10 г скорлупы содержится 4 г Са.
С каждым яйцом курица теряет 4 г кальция, за год — 220 · 4 = 880 г. Такое количество кальция должна за год получить каждая несушка. Для расчета годового запаса мела проще воспользоваться весом скорлупы, которая и состоит из СаСО3.
10 г · 220 · 5 = 11 000 г.
Надо запасти 11 кг мела.
12.2. Гашеная известь, или гидроксид кальция, Са(ОН)2 обладает щелочными свойствами и при соприкосновении со слизистыми оболочками организма может вызвать сильные ожоги. При старении извести происходит ее взаимодействие с СО2 воздуха, и Са(ОН)2 превращается в СаСО3.
12.3. Резину получают вулканизацией каучука — нагреванием его с серой, в результате атомы серы присоединяются по месту некоторых двойных связей и как бы сшивают молекулы друг с другом. Поэтому резина содержит значительное количество серы.
12.4. Телятам, скорее всего, не хватает кальция, так как побелку производят или мелом СаСО3, или известью Са(ОН)2.
12.5. Для 8 поросят на 20 дней необходимо 8 · 10 · 20 = 1600 мл рабочего раствора, следовательно, необходимо иметь 1 · 1,6 = 1,6 г медного купороса и 2,5 г · 1,6 = 4 г железного купороса.
12.6. Всего потребуется 10 · 5 · 12 = 600 мл препарата. В соответствии с рецептом приготовления на 50 + 450 = 500 мл требуется 10 г крахмала и 10 мл настойки йода.
500 мл — 10,
600 мл — х.
крахмала и 12 мл настойки пода.
12.7. Зола содержит значительное количество карбонатов калия, кальция, магния, а также соединения серы, фосфора, кремния: сульфаты, фосфаты, силикаты этих же металлов и соли микроэлементов — железа, меди, марганца и др., поэтому она может служить и минеральной подкормкой для кур.
12.8. Включать в рацион животных непосредственно кислоты нежелательно, так как они могут вызвать раздражение пищеварительного тракта, к тому же эти кислоты — жидкие вещества, которые трудно хранить и дозировать. Поэтому пользуются их натриевыми солями — ацетатом и пропионатом натрия. В желудке они подвергаются гидролизу с образованием соответствующих кислот. Молочным коровам дают ацетат натрия, бычкам — пропионат натрия. Широкого распространения этот метод повышения продуктивности не получил из-за высокой стоимости указанных солей.
12.9. Силос имеет кислотную реакцию за счет содержания органических кислот — молочной, которая образуется в результате молочнокислого брожения углеводов:
![]()
а также небольших количеств уксусной кислоты СН3СООН. В хорошем силосе содержание уксусной кислоты не превышает 0,6%, в плохом — достигает 2% и может присутствовать также масляная, или бутановая, кислота С3Н7СООН. К сожалению, из-за нарушения технологии закладки силоса очень часто в силосной массе протекают процессы не только молочнокислого, но и масляно-кислого брожения, и накапливается масляная кислота:
![]()
Скармливание коровам больших количеств силоса нарушает баланс кислот в их желудке и весь обмен веществ в организме. А чем выше продуктивность животного, тем сильнее оно подвержено этому влиянию. Поэтому самые продуктивные животные погибли. Скорее всего, силос был не самого лучшего качества.
12.10. Да, может. Известь поглощает СО2 и H2S за счет реакций, уравнения которых

12.11. Суперфосфат поглощает аммиак за счет реакции, уравнение которой

при этом образуется более устойчивая соль (NH4)2HPО4.
12.12. В зоне работы доярок, так как СО2 тяжелее воздуха. Это особенно ощутимо, когда рабочее место доярки находится в траншее, как это предусмотрено конструкцией доильной установки «Тандем».
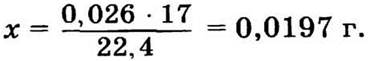
12.13. Вычисляем, сколько аммиака содержится в 1 м 3 воздуха:
100 м3 воздуха содержат 0,0026 м3 NH3.
1 м3 — 0,000026 м3, или 0,026 л, NH3.
Вычисляем массу 0,00026 м3 аммиака.
Масса 22,4 л NH3 составляет 17 г,
масса 0,026 л — х г.

Допустимая концентрация аммиака составляет 19,7 мг/м3 воздуха, а запах ощущается только при
35 мг/м3, следовательно, если в помещении ощущается запах аммиака, то его концентрация уже превышает допустимую.
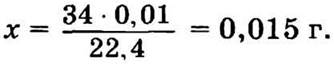
Проводим аналогичные расчеты для сероводорода.
100 м3 содержат 0,001 м3 H2S,
1 м3 — 0,00001 м3, или 0,01 л.
Вычисляем массу 0,01 л H2S.
Масса 22,4 л H2S составляет 34 г,
масса 0,01 л — х г.

Допустимая концентрация сероводорода составляет 15 мг/м3, а запах его ощущается при концентрации значительно более низкой.
Вывод: опасную концентрацию аммиака нельзя определить по запаху, а сероводорода — можно.
12.14. В костной муке соотношение Са и Р равно 31,6 : 14,6 = 2,16 : 1, в преципитате — 40 : 31 = 1,3 : 1, в монокальцийфосфате — 40 : 62 = 1 : 1,55, в трикальцийфосфате — 120 : 62 = 1,94 : 1. Ближе всего к оптимальному для коров после отела соотношение кальция и фосфора в преципитате. Но следует помнить, что подкормки — не единственный источник кальция и фосфора в рационе, эти элементы животные получают и с другими кормами, так что надо рассчитывать количество кальция и фосфора во всем рационе и только после этого корректировать их соотношение с помощью подкормок. По современной номенклатуре преципитат — дигидрат гидроортофосфата кальция, монокальцийфосфат — дигидроортофосфат кальция, трикальцийфосфат — ортофосфат кальция.
12.15. В 1 т силоса содержится 5 кг мочевины, в 2 т — 10 кг.
1 г мочевины заменяет 2,6 г перевариваемого протеина, а 10 кг — 26 кг протеина.
В 1 кг отрубей содержится 130 г перевариваемого протеина,
в х кг — 26 000 г.
— такое количество отрубей можно сэкономить за счет 10 кг мочевины.
12.16. Все перечисленные в задаче щелочные агенты не только растворяют лигнин, но и взаимодействуют с органическими кислотами, содержащимися в растениях, при этом образуются их натриевые, кальциевые или аммонийные соли, например аммонийная соль яблочной кислоты:

При обработке аммиачной водой солома не только размягчается, но и обогащается азотом, из которого в желудке жвачных может синтезироваться дополнительное количество белка, так что обработка аммиачной водой повышает не только переваримость соломы, но и ее питательность. Такая обработка кормов, называемая аммонизацией, широко применяется в животноводстве.
Скармливать обработанные таким способом корма можно только после полного исчезновения запаха аммиака, чтобы не допустить ожогов дыхательных путей и пищеварительного тракта животных.
12.17. Площадь пола составит 2 · 3 = 6 м2, стен — (2 + 2 + 3 + 3) · 2 = 20 м2, всего надо обработать 26 м2. При норме формалина 0,5 л на 1 м2 надо 0,5 · 26 — 13 л рабочего раствора.
Примем, что плотность раствора равна 1 г/мл. Тогда в 13 л 6%-ного раствора содержится
формальдегида.
В продажу обычно поступает 40%-ный раствор. В 100 г раствора — 40 г формальдегида,
в х т — 780 г.

Потребуется почти 2 л формалина.
Это довольно дорого, поэтому следует поискать более дешевый способ дезинфекции — хлорной известью, раствором соды.
12.18. В небольших свинарниках предусмотрены системы вентиляции с естественным побуждением тяги. Такие системы работают за счет разницы между температурами внутреннего и наружного воздуха: чем больше эта разница, тем лучше вентиляция. Поскольку сероводород и углекислый газ тяжелее воздуха, они будут скапливаться внизу, в зоне нахождения поросят, и нагревание воздуха в этой зоне будет способствовать лучшей ее вентиляции. Так что лампочка не только обогревает поросят, но и способствует очищению воздуха.
12.19. Ежедневно на ферме скапливается 1000 · 5 = 5000 кг навоза, в котором содержится сухого вещества 10%, или 500 кг.
Из 1 кг сухого навоза можно получить 0,5 м3 биогаза,
из 500 кг — х м3.
х = 0,5 · 500 = 250 м3.
В 250 м3 метана содержится 60%, или
150 м3.
При сжигании такого объем биогаза можно получить 32,7 · 150 = 4905 МДж энергии ежедневно, в течение года — 1 790 325 МДж.
12.20. Прежде всего следует рассчитать, сколько сухого навоза получают в сутки от каждого из животных:
от коровы - 
от свиньи - 
от курицы — 
Биогаза от этих животных мы получим:
от коровы — 49,5 · 0,3 = 14,85 м3,
от свиньи — 4,5 · 0,5 = 2,25 м3,
от курицы — 0,0825 · 0,7 = 0,05775 м3.
Как можно сопоставить эти цифры? Всего логичнее подсчитать, сколько биогаза можно получить от каждого животного в расчете на единицу массы его тела. Средний вес коровы — 400 кг, свиньи — 80 кг, курицы — 1,5 кг, следовательно, получим:
от коровы — 14,85 : 500 = 0,0297 м3,
от свиньи — 2,25 : 80 = 0,0281 м3,
от курицы — 0,0825 : 1,5 = 0,055 м3.
В соответствии с нашими расчетами самое «энергетически выгодное» животное — курица, так как от нее можно получить больше всего биогаза на единицу массы тела.
12.21. Рассчитаем объем коровника: 12 · 80 · 3 = 2880 м3. Определим, какой объем СО2 соответствует его объемной концентрации 0,20%:

Если каждая корова в течение 1 ч потребляет 2,5 м3 воздуха, а в выдыхаемом ею воздухе содержится 40 л СО2 на 1 м3, то 50 коров в течение 1 ч производят 2,5 · 40 · 50 = 5000 л углекислого газа. Так что уже через 1 ч концентрация СО2 в коровнике станет опасной для здоровья животных.
12.22. Скорлупа яиц состоит в основном из СаСО3. Для образования скорлупы необходимо наличие в организме достаточного количества кальция и СО2. У кур, в отличие от млекопитающих, нет потовых желез, поэтому в жаркую погоду теплообмен регулируется за счет повышения интенсивности дыхания, при этом из организма выделяется значительно больше СО2, чем в прохладную погоду. Концентрация СО2 в крови снижается, а это сказывается на прочности скорлупы. Поение кур газированной водой позволяет несколько повысить содержание СО2 в организме птицы и таким образом влиять на прочность скорлупы.