Химия и повседневная жизнь человека - поурочные разработки
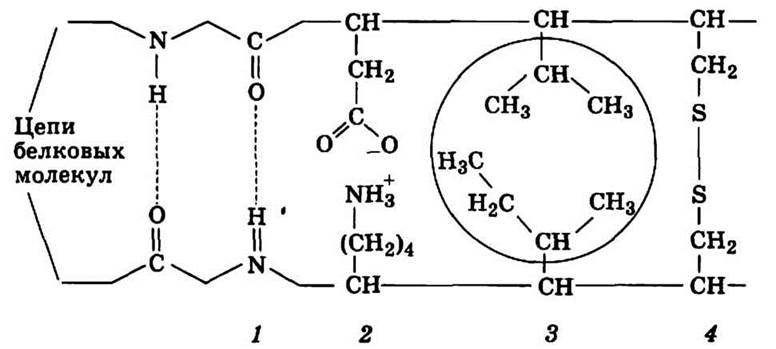
Типы взаимодействия между белковыми молекулами - Приложения

1 — водородные связи между цепями;
2 — солевые мостики;
3 — взаимодействия между неполярными группами, создающие области, из которых вытесняется вода;
4 — дисульфидная связь между двумя остатками цистеина