Химия и повседневная жизнь человека - поурочные разработки
Капитальный ремонт - Сценарии уроков на основе проблемных заданий
Цели урока. В занимательной форме повторить изученный материал, научить школьников использовать знания по химии для решения бытовых проблем и извлекать прикладную информацию из учебника, познакомить со свойствами некоторых строительных материалов, специальное изучение которых не предусмотрено программой.
Урок можно проводить в 11 классе или, в сокращенном варианте, исключив задания, которые требуют знаний по органической химии, — в 9 классе при повторении и обобщении материала по курсу неорганической химии. Для выполнения большинства заданий достаточно информации, содержащейся в учебнике. Дополнительная информация, которую желательно сообщить учащимся, включает свойства олифы (непредельные жиры) и химические особенности масляных красок и эмалей.
Некоторые задания повторяются с точки зрения сущности химического процесса, лежащего в их основе. Но поскольку цель урока — организовать повторение материала не по темам курса, а в связи с различными ситуациями, возникающими в быту, эти задания лучше давать в той последовательности, в какой они приведены в сценарии урока.
Во время урока можно провести демонстрационные опыты: «схватывание» штукатурных растворов различного состава, «схватывание» свежего и лежалого цемента, распознавание известкового молока и суспензии мела, разбавление загустевших масляных красок и эмалей различными растворителями. Можно провести урок и как теоретический.
Оборудование. Образцы различных строительных материалов (цемент свежий и лежалый, свежая и лежалая гашеная известь, алебастр, органические растворители, масляные краски и эмали), карточки-задания для учащихся.
Методические рекомендации по проведению урока
Примерный текст введения к уроку
Капитальный ремонт — серьезное событие для каждой семьи. Лучше всего поручить его специалистам, но нередко нам приходится заниматься ремонтом самостоятельно. Многие виды ремонтных работ может освоить каждый. Но химику это сделать проще, так как в основе применения большинства строительных материалов лежат химические процессы. Изучив закономерности протекания этих процессов, можно выполнить ремонт и быстрее, и более качественно.
Дополнительная информация для выполнения заданий
Все масляные краски — смеси пигментов, например оксида титана (IV) с олифами. Олифы — пленкообразующие вещества, которые хорошо смачивают металл, дерево, ткани и в тонком слое высыхают при комнатной температуре не более чем за 24 ч, образуя эластичные пленки, нерастворимые в воде и органических растворителях. Олифы получают частичной полимеризацией растительных масел, чаще всего льняного или конопляного. Эти масла представляют собой триглицериды непредельных карбоновых кислот типа линоленовой (см. задание 7.1).
После частичной полимеризации определенный процент двойных связей в их молекулах сохраняется, за счет дальнейшей полимеризации с участием этих связей и происходит высыхание олиф. Чтобы ускорить этот процесс, который должен протекать при комнатной температуре, в олифы в качестве катализаторов полимеризации добавляют сиккативы — соли свинца, марганца, кобальта. Следует также помнить, что все растительные масла являются сложными смесями веществ и могут содержать наряду с триглицеридами и некоторое количество свободных жирных кислот, например линолевой.
Эмали, или лаковые краски, — растворы пленкообразующих веществ в органических растворителях (одно из знакомых вам пленкообразующих веществ — динитроцеллюлоза):

Водоэмульсионные краски — смесь пигментов (TiO2, ZnO) с водной эмульсией полимера, например поливинилового спирта (—СН2—СН(ОН)—)n или поливинилацетата — полимера эфира винилового спирта с уксусной кислотой:

Задания
8.1. При выполнении штукатурных работ для ускорения затвердевания штукатурки в помещение вносят жаровни с горящими углями. Можно ли заменить эту процедуру прогреванием помещения электрическими нагревателями?
8.2. Опытные мастера определяют окончание «схватывания» штукатурки по внешним признакам. Можно ли определить это химическим путем — с помощью индикатора (например, фенолфталеина)?
8.3. Почему с точки зрения химии для лучшего сцепления масляной краски с оштукатуренной поверхностью ее предварительно шпаклюют?
8.4. Маляры во время ремонта торопились и нанесли масляную краску на плохо «схватившуюся» штукатурку. Краска начала очень быстро отслаиваться. Почему? Можно ли происходящие при этом процессы описать уравнением реакции?
8.5. Во время ремонта вы очень спешили и были вынуждены приступить к малярным работам, не дождавшись полного «схватывания» штукатурки. Какую краску — масляную, нитроэмаль или водоэмульсионную — вы выберете в этом случае? Какие химические процессы могут протекать при взаимодействии этих отделочных материалов со штукатуркой?
8.6. Как лучше с точки зрения гигиены отделать потолок и стены кухни: побелить мелом, известью, окрасить масляной краской, водоэмульсионной краской, эмалью, оклеить клеенкой или моющимися обоями?
8.7. Для приготовления штукатурного раствора рекомендуют использовать только свежегашеную известь. Почему это важно?
8.8. Для приготовления штукатурного раствора вы взяли лежалую известь, и штукатурка плохо «схватывалась». Можно ли ускорить этот процесс с помощью нагревания?
8.9. Вы собрались бетонировать дорожку на дачном участке. Когда лучше этим заняться: в жаркую сухую погоду или в дождливую, влажную?
8.10. Для пропитки древесины от поражения грибком используют фториды металлов (например, NaF, KF, BaF2, ZnF2), соединения цинка (ZnSО4, ZnCl2), смесь борной кислоты Н3ВО3 с неорганическими солями меди, смесь дихромата натрия Na2Cr2О7 и медного купороса CuSО4 · 5Н2О, мышьяковую кислоту H3AsО4 и ее соль Na2HAsО4. Какой из этих препаратов вы выберете для обработки деревянной перегородки, если предполагается затем оштукатурить ее известковым раствором?
8.11. Для штукатурных работ часто используют растворы на основе цемента, гипса и песка с различным соотношением компонентов. Имеются два раствора, в которых соотношение цемента, гипса и песка составляет 1:0,25:4 и 1:4:6. Какой из этих растворов вы выберете для оштукатуривания потолка?
Подсказка. Напоминаем, что гипс широко применяют в медицине для наложения фиксирующих повязок при переломах.
8.12. Можно ли для приготовления известкового побелочного раствора использовать алюминиевый бачок? Ответ обоснуйте.
8.13. В двух ведрах приготовлены материалы для ремонта: суспензия мела для побелки потолков в комнате и суспензия гашеной извести для побелки кухни. Как их можно отличить?
8.14. Вам необходимо проводить штукатурные работы. Все материалы были куплены заранее. Как можно определить, пригодна ли запасенная нами известь для приготовления штукатурного раствора?
8.15. Почему свежеоштукатуренные и сразу же побеленные известью поверхности долго не высыхают?
8.16. Известно, что оштукатуренные поверхности пористы и поглощают газы. При сгорании природного газа образуется, кроме оксида углерода (IV), оксид серы (IV). Можно ли считать, что улучшение состава воздуха в кухне при замене отделки клеенкой на штукатурку происходит только за счет адсорбции?
8.17. Для получения пористого бетона, который обладает высокими теплоизоляционными свойствами, в смесь для приготовления бетона добавляют алюминиевую пудру. В результате каких химических реакций происходит выделение газа?
8.18. К каким процессам можно отнести процессы высыхания масляной краски и эмали — к физическим или химическим?
8.19. Можно ли использовать ведра и бачки из оцинкованной жести для приготовления известковых побелочных растворов?
8.20. Для строительства и ремонта деревянных домов, бань, колодцев требуется древесина, которую нередко приходится покупать в виде бревен.
При этом важно определить, в какое время года были спилены деревья. Летняя древесина — плохой материал, рыхлый, в нем много соков, впоследствии такая древесина легко загнивает. Зимний лес — стойкий и крепкий. Определить качество древесины и время ее заготовки по цвету годовых колец невозможно. Но это нетрудно сделать с помощью обычной настойки йода — достаточно облить ею спил дерева. По тому, в какой цвет окрасится спил под действием йода, можно определить, зимой или летом было спилено дерево. Попробуйте объяснить, на чем основан этот способ.
Подсказка. Вспомните, что одно из основных питательных веществ, содержащихся в растениях, — крахмал.
Ответы и решения
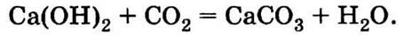
8.1. Одним из основных компонентов штукатурных растворов является гашеная известь Са(ОН)2. Затвердевание штукатурки происходит за счет взаимодействия Са(ОН)2 с СО2 воздуха:
![]()
Этот процесс можно ускорить за счет повышения концентрации в воздухе СО2. Сжигание в помещении угля позволяет не только поднять температуру воздуха, но и повысить концентрацию СО2 за счет реакции, уравнение которой
![]()
Электронагреватели дают только тепло и не влияют на состав воздуха.
Однако нельзя считать, что прогревание помещения электронагревателем не оказывает никакого влияния на процесс. Поскольку скорость большинства химических реакций возрастает с повышением температуры, процесс «схватывания»
тоже несколько ускоряется. Кроме того, при взаимодействии Са(ОН)2 с СО2 выделяется вода, испарение которой ускорится при повышении температуры в помещении.
8.2. При полном «схватывании» весь гидроксид кальция Са(ОН)2 превращается в карбонат, и проба с фенолфталеином не дает окрашивания. Если же штукатурка не схватилась полностью, то присутствующий Са(ОН)2 даст с фенолфталеином малиновое окрашивание.
8.3. Если нанести масляную краску на непросохшую штукатурку, то Са(ОН)2 может вступить во взаимодействие с кислотными функциональными группами, сохранившимися в олифе:

При этом будет выделяться вода, как и в любой реакции нейтрализации. Кроме того, вода образуется за счет ее испарения из штукатурного раствора и за счет взаимодействия Са(ОН)2 с СО2. Значит, под образующейся пленкой олифы идет процесс образования воды, в результате пленка отслаивается.
Шпаклевки, которыми обязательно покрывают оштукатуренные поверхности перед нанесением масляных красок, представляют собой густые пасты на основе костного клея, мыла, карбоната кальция.
Зашпаклеванную поверхность можно покрывать после высыхания шпаклевки и масляной краской, и эмалью, не опасаясь отслоения. Шпаклевка необходима и для того, чтобы краска ложилась более ровно, так как пористый слой штукатурки неодинаково впитывает краску, в результате стены кажутся окрашенными неровно — светлыми и темными пятнами.
8.4. См. ответ к предыдущему заданию.
8.5. При окраске эмалями пленка образуется не за счет необратимых химических процессов, как при высыхании масляных красок, а за счет испарения растворителя. Растворителями могут служить разнообразные химические соединения, например ксилол (диметилбензол СН3—С6Н4—СН3), или смеси, как растворитель-648, состоящий из бутилацетата С4Н9—О—С(О)—СН3, этанола С2Н5ОН и бутанола С4Н9ОН. Поскольку большинство эмалей изготовлены на основе органических растворителей, не смешивающихся с водой, при нанесении их на непросохшую штукатурку также возможно отслоение, так как под пленкой эмали при высыхании штукатурки будет образовываться вода за счет ее испарения из штукатурного раствора. Следует помнить, что воздухонепроницаемая пленка эмали будет препятствовать как испарению воды, так и взаимодействию Са(ОН)2 с СО2 воздуха, т. е. нормальному высыханию штукатурки. В результате возможно поражение стен плесневыми грибами.
Химическое взаимодействие компонентов эмали со штукатуркой зависит от состава растворителя. Если в его состав входят эфиры, например бутилацетат, то теоретически возможно протекание гидролиза под действием воды и взаимодействие образующейся при этом уксусной кислоты с Са(ОН)2:

Но эти процессы протекают очень медленно и практически не могут повлиять на процесс окраски.
В любом случае, если необходимо нанести краску на непросохшую штукатурку, следует предпочесть водоэмульсионную. Эти краски изготовлены на основе поливинилового спирта или поливипилацетата, который хорошо прилипает к любой пористой поверхности. После испарения воды краска образует прочную пористую пленку, которая обеспечивает газообмен между штукатуркой и воздухом помещения.
8.6. В большинстве современных домов в качестве топлива для кухонных плит используют природный газ, основным компонентом которого является метан. В нем содержатся также этан С2Н6, пропан С3Н8, бутан С4Н9. При сгорании природного газа образуются главным образом СО2 и пары поды:
![]()
Кроме того, природный газ в качестве примеси может содержать сероводород и оксид серы (IV). Примесь сероводорода приводит к образованию в продуктах сгорания некоторого количества оксида серы (IV):
![]()
В южных районах во многих частных домах в качестве бытового топлива используют каменный уголь, который обычно содержит примеси серы. При сгорании угля помимо СО2 образуется значительное количество SО2. Следовательно, воздух в кухне загрязнен СО2 и SО2.
Различные соединения попадают в воздух кухни при обработке пищевых продуктов, особенно при жарении (продукты термического разложения жиров).
Все без исключения загрязнители воздуха поглощаются пористыми поверхностями — штукатуркой, в меньшей степени — бетоном за счет физического явления — адсорбции.
При побелке кухни мелом происходит также химическое взаимодействие некоторых загрязнителей с отделочным материалом:
![]()
В процессе реакций выделяется СО2, который попадает в воздух помещения. Поэтому более эффективна с точки зрения химической очистки воздуха побелка гашеной известью, которая вступает во взаимодействие с загрязнителями по уравнениям:

Если побелку обновлять часто, этот способ очистки воздуха очень эффективен. Традиция часто обновлять побелку кухонь известью очень распространена среди домохозяек Украины и южных районов России.
Водоэмульсионная краска образует воздухопроницаемую пленку и не препятствует адсорбции вредных газов штукатуркой. Масляная краска и эмали образуют воздухонепроницаемую пленку. Клеенка или моющиеся обои с полимерным покрытием также полностью исключают газообмен между штукатуркой и воздухом помещения. Кроме того, полимерные материалы подвергаются деструкции в процессе старения, особенно в кухне, где постоянно повышена температура воздуха.
Продукты деструкции — «осколки» полимерных молекул попадают в воздух помещения и еще больше усиливают его загрязненность.
Таким образом, в порядке убывания гигиенических свойств материалы можно расположить так: известь — мел — водоэмульсионная краска — масляная краска — эмаль — клеенка.
8.7. Гашение извести протекает по уравнению:
![]()
«Схватывание» штукатурного раствора основано на взаимодействии Са(ОН)2 с СО2 воздуха (см. решения заданий 8.1, 8.2). При хранении гашеной извести также происходит взаимодействие Са(ОН)2 с СО2 воздуха с образованием карбоната кальция, поэтому штукатурный раствор, приготовленный из лежалой гашеной извести, будет плохо «схватываться».
8.8. Поскольку причина лежит в изменении химического состава раствора, нагревание не поможет.
8.9. Минералогический состав наиболее распространенного портландцемента: 3СаО · SiО2 — 45— 65%, 2СаО · SiО2 — 10—25%, 3СаО · Аl2O3 — 12%, 4СаО · Аl2O3 · Fe203 — 1—15%,CaSO4 · 2H2О — до 5%. Бетоны — смеси цемента, воды и различных наполнителей. При смешивании порошка цемента с водой образуется «тесто», в котором происходит образование гидратов основных компонентов цемента, например, по схеме

При взаимодействии компонентов цемента с водой сначала образуются коллоидные растворы, характерные для силикатов. Через несколько часов коллоидные растворы кристаллизуются, что приводит к повышению механической прочности бетонной массы.
Основным химическим процессом, происходящим при «схватывании» бетона, является гидратация. Поэтому все бетонные работы нежелательно проводить в жаркую сухую погоду, когда вода быстро испаряется из бетона и процессы гидратации и последующей кристаллизации не могут протекать нормально. Для нормального «схватывания» бетона по технологии строительных работ его надо поливать водой.
Поэтому для выполнения бетонных работ всегда предпочтительнее влажная погода.
8.10. Затвердевшая штукатурка на основе извести состоит преимущественно из карбоната кальция СаСO3. Эта соль растворяется в кислотах. Поэтому нежелательно использовать для пропитки кислотные растворы, так как при попадании влаги будет происходить взаимодействие СаСO3 с кислотой, впитавшейся в дерево, и постепенно вся кислота может быть израсходована. По этой же причине нежелательно использовать и соли, образующие при гидролизе сильные кислоты — сульфат и хлорид цинка.
8.11. Процесс затвердевания и цемента (см. решение задания 8.9), и алебастра (гипса) объясняется их гидратацией:
![]()
Получают этот строительный материал обжигом (нагреванием до 150—180 °С) природного гипса:
![]()
Гидратация гипса происходит значительно быстрее, чем цемента, — в течение нескольких минут, именно это свойство и позволяет использовать его для наложения гипсовых повязок, в то время как «схватывание» цемента происходит в течение нескольких часов. Поэтому для оштукатуривания потолков, где важно быстрое закрепление штукатурного раствора, лучше готовить растворы с большим содержанием гипса, в данном случае — раствор состава 1:4:6.
8.12, Поверхность всех алюминиевых изделий покрыта тонкой пленкой оксида, который является амфотерным и растворяется в щелочах. В алюминиевом бачке с побелочным раствором будет протекать реакция, уравнение которой:
![]()
В результате материал бачка будет постепенно растворяться. Если раствор держать в бачке недолго, то бачок в общем сохранится, только его стенки изнутри будут разъедены и станут неровными.
8.13. При взаимодействии карбонатов с кислотой как в твердом виде, так и в растворах образуется СO2, который выделяется с характерным шипением. Поэтому различить два раствора можно с помощью уксусной кислоты: при ее добавлении к суспензии мела будет выделяться СO2, который обнаруживается по пузырькам и шипению, а при добавлении кислоты к суспензии Са(ОН)2 происходит реакция нейтрализации, которая не сопровождается внешними эффектами (если не брать во внимание выделение теплоты).
8.14. Изменения при хранении гашеной извести описаны в решениях заданий 8.7, 8.8. Присутствие карбоната в гашеной извести можно обнаружить пробой с любой кислотой (выделение СO2). Если газ выделяется очень сильно, известь непригодна для побелки.
8.15. При взаимодействии Са(ОН)2 с СO2 (процесс затвердевания штукатурки) образуется вода (см. задания 8.1, 8.2). Поэтому при побелке свежеоштукатуренных стен известью наружные участки подпитываются влагой, и штукатурка долго не высыхает.
8.16. Все перечисленные оксиды вступают в химическое взаимодействие с СаСO3 в присутствии паров воды. Так что улучшение состава воздуха происходит за счет как адсорбции, так и химических процессов (см. также решение задания 8.6).
8.17. При замешивании цементного «теста» в числе прочих реакций протекает и реакция гидратации силикатов кальция с образованием Са(ОН)2 (см. решение задания 8.9). Происходит реакция Са(ОН)2 с Аl2O3, который покрывает поверхность частичек алюминиевой пудры (уравнение реакции см. в решении задания 8.12). Затем очищенный от пленки металл начинает взаимодействовать с водой:
![]()
Выделяющийся водород и вспучивает цементное «тесто», образуется пористый бетон.
8.18. Высыхание масляной краски — химический процесс, эмали — физический. Подробно эти процессы описаны в решениях заданий 8.3—8.5.
8.19. Цинк — химически активный металл, легко растворяется в кислотах, а при нагревании — и в щелочах:
![]()
Так что в суспензии Са(ОН)2 цинк будет очень медленно растворяться. Кроме того, необходимо учитывать, что оцинкованная поверхность бака покрыта тонкой пленкой оксида цинка, который является амфотерным оксидом и может растворяться как в кислотах, так и в щелочах. В щелочной среде Са(ОН)2 возможно протекание реакции
![]()
Можно сделать вывод, что при отсутствии более подходящей емкости можно воспользоваться и оцинкованной жестью, но этот материал не является химически нейтральным по отношению к Са(ОН)2.
8.20. Зимой дерево запасается крахмалом, поэтому если облить спил дерева йодом, то сердцевинные лучи окрасятся в синий или фиолетовый цвет. Если дерево спилено летом, то спил окрасится в темно-желтый цвет от самого йода.