Химия 9 класс - Основной государственный экзамен - Типовые тестовые задания А. С. Корощенко - 2018 год
ОТВЕТЫ И РЕШЕНИЯ
Часть 1
Напомним, что в соответствии с системой оценивания экзаменационной работы (см. раздел “Система оценивания экзаменационной работы по химии”) за верное выполнение заданий 1-15 выставляется 1 балл. Задание считается выполненным верно, если учащийся указал номер правильного ответа. Во всех остальных случаях (выбран другой ответ, выбрано два или более ответов, среди которых может быть и правильный, ответ на вопрос отсутствует) задание считается невыполненным.
Ответы к заданиям части 1 базового уровня
|
Задание |
Вариант |
|||||||||
|
1 |
2 |
3 |
4 |
5 |
6 |
7 |
8 |
9 |
10 |
|
|
1 |
3 |
1 |
4 |
2 |
1 |
1 |
3 |
2 |
4 |
3 |
|
2 |
1 |
1 |
1 |
4 |
1 |
3 |
3 |
3 |
1 |
2 |
|
3 |
3 |
1 |
1 |
4 |
4 |
1 |
2 |
3 |
2 |
3 |
|
4 |
2 |
4 |
1 |
2 |
4 |
3 |
2 |
3 |
3 |
1 |
|
5 |
4 |
4 |
3 |
2 |
1 |
1 |
4 |
4 |
2 |
3 |
|
6 |
2 |
3 |
4 |
1 |
4 |
1 |
3 |
4 |
3 |
3 |
|
7 |
2 |
3 |
4 |
3 |
3 |
4 |
4 |
3 |
3 |
3 |
|
8 |
3 |
4 |
2 |
1 |
3 |
1 |
1 |
1 |
4 |
2 |
|
9 |
1 |
3 |
2 |
3 |
1 |
3 |
2 |
4 |
1 |
3 |
|
10 |
4 |
2 |
2 |
2 |
2 |
2 |
3 |
1 |
3 |
2 |
|
11 |
4 |
4 |
3 |
2 |
2 |
1 |
2 |
1 |
1 |
1 |
|
12 |
4 |
3 |
1 |
2 |
2 |
2 |
4 |
4 |
1 |
4 |
|
13 |
4 |
3 |
1 |
4 |
1 |
4 |
2 |
1 |
4 |
3 |
|
14 |
4 |
2 |
2 |
4 |
3 |
3 |
1 |
4 |
4 |
2 |
|
15 |
1 |
1 |
2 |
4 |
1 |
3 |
2 |
4 |
3 |
4 |
В экзаменационной работе в заданиях 16-17 части 1 предусмотрены два правильных ответа из пяти предложенных.
Для заданий 18-19 надо правильно установить три соответствия.
За полный правильный ответ на задания 16-19 ставится 2 балла, за неполный правильный ответ — 1 балл. За неверный ответ (или при отсутствии ответа) — 0 баллов.
Ответы к заданиям части 1 повышенного уровня
|
Задание |
Вариант |
|||||||||
|
1 |
2 |
3 |
4 |
5 |
6 |
7 |
8 |
9 |
10 |
|
|
16 |
35 |
13 |
12 |
13 |
12 |
13 |
24 |
34 |
12 |
45 |
|
17 |
13 |
25 |
24 |
24 |
13 |
45 |
15 |
15 |
14 |
45 |
|
18 |
121 |
312 |
414 |
421 |
123 |
313 |
241 |
331 |
234 |
231 |
|
19 |
432 |
231 |
214 |
234 |
312 |
134 |
324 |
135 |
245 |
135 |
Часть 2
Задания этой части оцениваются в зависимости от полноты и правильности ответа. За выполнение заданий 20-21 ставится от 0 до 3 баллов. По модели 1 (варианты 1-5) за задание 22 ставится 5 баллов; по модели 2 (варианты 6-10) за задание 22 — 4 балла, 23 — 5 баллов.
Еще раз подчеркнем, что задания части 2 МОГУТ быть выполнены разными способами. Ниже, в качестве образца, для задания 21 приведены одни из возможных вариантов решения. Возможны и другие варианты решения, правильность которых должны определить эксперты- экзаменаторы на месте проведения и проверки экзаменационных работ.
Это же касается и ответов к расчетным задачам. Приводимые ниже ответы к заданиям 21 были получены авторами пособия, но у Вас числа в ответе могут чуть-чуть (но только чуть-чуть!) отличаться от приведенных ниже. Почему такое возможно? Дело в том, что в методической литературе описано множество способов решения расчетных задач. Одну и ту же задачу (в зависимости от методики) можно решать и в одно, и в два, и в три действия. В результате различных округлений в промежуточных расчетах ответы могут несколько различаться.
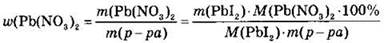
Например, задачу 21 из варианта № 5 можно решить следующим образом.
Решение.
Стехиометрическая схема: Pb(NO3)2→ Pbl2
Окончательная расчетная формула:
![]()
Ответ: ![]()
А можно эту же самую задачу решать и по-другому (по отдельным действиям).
Решение.
1) Стехиометрическая схема: Pb(NO3)2→ Pbl2

Ответ: 5,0%.
Ответы, как видим, идентичны.
А что если в последнем способе сильно округлить промежуточные вычисления? Например, положить, что во втором действии 0,0227 моль ≈ 0,02 моль. Проверьте сами, если вместо 0,0227 моль использовать в дальнейшем решении 0,02 моль, то в ответе получим w(Pb(NO3)2) = 4,4%! Разница в 0,6%!
Разумеется, и 5,0%, и 4,4% — это один и тот же ответ, но записанный с различной точностью.
Вот другие примеры округлений при решении задач. Так, при решении задачи 21 из варианта № 10 в последнем действии необходимо найти объем газа, зная количество вещества этого газа. При выполнении этого действия необходимо перемножить количество вещества (0,01 моль) на величину молярного объема газа (22,4 л/моль): 0,01 моль ∙ 22,4 л/моль = 0,224 л. Полученный ответ можно не округлять (он удобен, поскольку кратен величине молярного объема), но многие округляют полученную величину до сотых, а то и до десятых долей. Так и получаются “разные” ответы: 0,224 л, 0,22 л, 0,2 л.
В задании 21 варианта № 8 требуется найти массу цинка. Авторы-составители использовали округленные атомные массы элементов, например для цинка Аr = 65. В этом случае ответ равен 6,8 г. Если кто-то из Вас будет решать эту задачу с использованием точной атомной массы цинка (взятой из Периодической таблицы), то получит ответ 6,9 г. Очевидно, что оба эти ответа равноценны.
Вывод один: если небольшое расхождение в ответе экзаменуемого и в эталонном ответе является действительно результатом различного округления конечных или промежуточных вычислений, то это в итоге не должно приводить к снижению выставляемой экспертом оценки.
Ответы к заданиям части 2
Содержание верного ответа (допускаются иные формулировки ответа, не искажающие его смысла)
Вариант 1
20. 1. Составлен электронный баланс.
![]()
2. Расставлены коэффициенты в уравнении реакции:
![]()
3. Указано, что восстановителем является S-2, а окислителем Fe+3.
21. w(CaCO3) = 85,0%
22. Составлены два уравнения реакции:
![]()
Описаны признаки протекания реакций:
3) для первой реакции: растворение соли и выделение бесцветного газа;
4) для второй реакции: образование голубого осадка гидроксида меди.
Составлено сокращенное ионное уравнение первой реакции:
![]()
Вариант 2
20. 1) Составлен электронный баланс.
![]()
2) Расставлены коэффициенты в уравнении реакции:
![]()
3) Указано, что восстановителем является Р0 а окислителем N+5.
21. w(примесей) = 25,0%
22. Составлены два уравнения реакции:
![]()
Описаны признаки протекания реакций:
3) для первой реакции: растворение осадка и появление синевато зеленой окраски раствора;
4) для второй реакции: цементация на цинке красного осадка меди. Составлено сокращенное ионное уравнение второй реакции:
![]()
Вариант 3
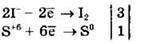
20. 1. Составлен электронный баланс.
![]()
2. Расставлены коэффициенты в уравнении реакции:
![]()
3. Указано, что иод в степени окисления -1 является восстановителем, а сера в степени окисления 4-6 — окислителем.
21. m(ВаСO3) = 1,97 г
22. Составлены два уравнения реакции:
![]()
Описаны признаки протекания реакций:
3) для первой реакции: выделение бесцветного газа;
4) для второй реакции: образование белого осадка.
Составлено сокращенное ионное уравнение первой реакции:
![]()
Вариант 4
20. 1. Составлен электронный баланс.
![]()
2. Расставлены коэффициенты в уравнении реакции:
![]()
3. Указано, что восстановителем является S0, а окислителем N+4.
21. w(примесей) = 10,0%
22. Составлены два уравнения реакции:
![]()
Описаны признаки протекания реакций:
3) для первой реакции: выделение бесцветного газа;
4) для второй реакции: образование белого аморфного осадка.
Составлено сокращенное ионное уравнение второй реакции:
![]()
Вариант 5
20. 1. Составлен электронный баланс:
![]()
2. Расставлены коэффициенты в уравнении реакции:
![]()
3. Указано, что восстановителем является N-3, а окислителем Сu+2.
21. w(Pb(NO3)2) = 5,0%
22. Составлены два уравнения реакции:
![]()
Описаны признаки протекания реакций:
3) для первой реакции: выделение бесцветного газа;
4) для второй реакции: образование белого аморфного осадка.
Составлено сокращенное ионное уравнение второй реакции:
![]()
Вариант 6
20. 1. Составлен электронный баланс.
![]()
2. Расставлены коэффициенты в уравнении реакции:
![]()
3. Указано, что восстановителем является Сu0, а окислителем N+5.
21. m(PbI2) = 13,9 г
22. Составлена схема превращений, в результате которой можно получить гидроксид железа(III):
![]()
Составлены уравнения двух проведенных реакций
![]()
Составлено сокращенное ионное уравнение первой реакции:
![]()
23. Проведены реакции в соответствии с составленной схемой и описаны изменения, происходящие с веществами в ходе проведения реакций:
1) для первой реакции: растворение осадка и образование раствора желто-бурого цвета;
2) для второй реакции: образование бурого аморфного осадка;
3) сформулирован вывод о свойствах веществ и классификационных признаках проведенных реакций:
• в основе проведенного эксперимента лежат реакции обмена, первая из которых протекает за счет образования слабого электролита (воды), а вторая — за счет образования осадка нерастворимого гидроксида.
Вариант 7
20. 1. Составлен электронный баланс.
![]()
2. Расставлены коэффициенты в уравнении реакции:
![]()
3. Указано, что восстановителем является С0, а окислителем Р+5.
21. m(р-ра) = 52,2 г
22. Составлена схема превращений, в результате которой можно получить хлорид цинка:
![]()
Составлены уравнения двух проведенных реакций
![]()
Составлено сокращенное ионное уравнение первой реакции:
![]()
23. Проведены реакции в соответствии с составленной схемой и описаны изменения, происходящие с веществами в ходе проведения реакций:
1) для первой реакции: растворение металла и выделение бесцветного газа;
2) для второй реакции: образование белого кристаллического осадка;
3) сформулирован вывод о свойствах веществ и классификационных признаках проведенных реакций:
• в основе проведенного эксперимента лежит окислительно-восстановительная реакция (реакция замещения) и реакция обмена, протекающая за счет образования осадка.
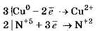
Вариант 8
20. 1. Составлен электронный баланс.
![]()
2. Расставлены коэффициенты в уравнении реакции:
![]()
3. Указано, что восстановителем является I-, а окислителем Сu+2.
21. m(металла) = 6,8 г
22. Составлена схема превращений, в результате которой можно получить гидроксид алюминия:
![]()
Составлены уравнения двух проведенных реакций
![]()
23. Проведены реакции в соответствии с составленной схемой и описаны изменения, происходящие с веществами в ходе проведения реакций:
1) для первой реакции: выделение бесцветного газа;
2) для второй реакции: образование белого аморфного осадка;
3) сформулирован вывод о свойствах веществ и классификационных признаках проведенных реакций:
• в основе проведенного эксперимента лежит окислительно-восстановительная реакция (реакция замещения атомов водорода атомами алюминия) и реакция обмена, протекающая за счет образования осадка.
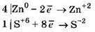
Вариант 9
20. 1. Составлен электронный баланс.
![]()
2. Расставлены коэффициенты в уравнении реакции:
![]()
3. Указано, что восстановителем является Zn0, а окислителем N+5.
21. V(CO2) = 22,67 л
22. Составлена схема превращений, в результате которой можно получить гидроксид магния:
![]()
Составлены уравнения двух проведенных реакций
![]()
Составлено сокращенное ионное уравнение второй реакции:
![]()
23. Проведены реакции в соответствии с составленной схемой и описаны изменения, происходящие с веществами в ходе проведения реакций:
1) для первой реакции: выделение бесцветного газа;
2) для второй реакции: образование белого аморфного осадка;
3) сформулирован вывод о свойствах веществ и классификационных признаках проведенных реакций:
• в основе проведенного эксперимента лежит окислительно-восстановительная реакция вытеснения водорода из кислоты активным металлом (реакция замещения),
• а также реакция ионного обмена между солью и щёлочью, протекающая за счет образования осадка.
Вариант 10
20. 1. Составлен электронный баланс.
![]()
2. Расставлены коэффициенты в уравнении реакции:
![]()
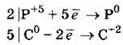
3. Указано, что восстановителем является Zn0, а окислителем S+6.
21. V(СO2) = 0,224 л
22. Составлена схема превращений, в результате которой можно получить гидроксид меди:
![]()
Составлены уравнения двух проведенных реакций
![]()
Составлено сокращенное ионное уравнение первой реакции:
![]()
23. Проведены реакции в соответствии с составленной схемой и описаны изменения, происходящие с веществами в ходе проведения реакций:
1) для первой реакции: выделение бесцветного газа и образование раствора сине-зеленого цвета;
2) для второй реакции: образование голубого аморфного осадка;
3) сформулирован вывод о свойствах веществ и классификационных признаках проведенных реакций:
• в основе проведенного эксперимента лежат реакции обмена, первая из которых протекает за счет образования слабого электролита и выделения газа, вторая — за счет образования осадка.