Химия 9 класс - Основной государственный экзамен - Типовые тестовые задания А. С. Корощенко - 2018 год
СИСТЕМА ОЦЕНИВАНИЯ ЭКЗАМЕНАЦИОННОЙ РАБОТЫ ПО ХИМИИ
Часть 1
Проверка ответов учащихся на задания части 1 выполняется экспертами или с помощью компьютера.
Верное выполнение каждого из заданий части 1 базового уровня сложности (1-15) оценивается 1 баллом.
Верное выполнение каждого из заданий части 1 повышенного уровня сложности (16-19) максимально оценивается 2 баллами.
Задания 16 и 17 считаются выполненными верно, если в каждом из них правильно выбраны два варианта ответа. За неполный ответ — правильно назван один из двух ответов или названы три ответа, из которых два верные, — выставляется 1 балл. Остальные варианты ответов считаются неверными и оцениваются 0 баллов.
Задания 18 и 19 считаются выполненными верно, если правильно установлены три соответствия. Частично верным считается ответ, в котором установлены два соответствия из трех; он оценивается 1 баллом. Остальные варианты считаются неверным ответом и оцениваются О баллов.
Часть 2
Проверка заданий части 2 осуществляется экспертной комиссией. При оценивании каждого из трех заданий эксперт на основе сравнения ответа выпускника с образцом ответа, приведенным в критериях оценивания, выявляет в ответе учащегося элементы, каждый из которых оценивается 1 баллом. Максимальная оценка за верно выполненное задание: за задания 20 и 21 — по 3 балла; в модели 1 за задание 22 — 5 баллов; в модели 2 за задание 22 — 4 балла, за задание 23 — 5 баллов.
Задания с развернутым ответом могут быть выполнены учащимися разными способами. Поэтому приведенные в критериях оценивания образцы решений следует рассматривать лишь как один из возможных вариантов ответа. Это относится прежде всего к способам решения расчетных задач.
Полученные учащимися баллы за выполнение всех заданий суммируются. Итоговая оценка выпускника основной школы определяется по 5-балльной шкале.
Модель 1
20. Используя метод электронного баланса, расставьте коэффициенты в уравнении реакции, схема которой
![]()
Определите окислитель и восстановитель.
|
Содержание верного ответа и указания по оцениванию (допускаются иные формулировки ответа, не искажающие его смысла) |
Баллы |
|
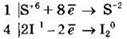
1) Составлен электронный баланс:
|
|
|
2) Расставлены коэффициенты в уравнении реакции:
3) Указано, что сера в степени окисления +6 является окислителем, а иод в степени окисления -1 — восстановителем |
|
|
Ответ правильный и полный, включает все указанные выше элементы |
3 |
|
В ответе допущена ошибка только в одном из элементов |
2 |
|
В ответе допущены ошибки в двух элементах |
1 |
|
Все элементы ответа записаны неверно |
0 |
|
Максимальный балл |
3 |
21. 170 г раствора нитрата серебра смешали с избытком раствора хлорида натрия. Выпал осадок массой 8,61 г. Вычислите массовую долю соли в растворе нитрата серебра.
|
Содержание верного ответа и указания по оцениванию (допускаются иные формулировки ответа, не искажающие его смысла) |
Баллы |
|
1) Составлено уравнение реакции:
2) Рассчитаны количество вещества и масса нитрата серебра, содержащегося в исходном растворе: по уравнению реакции
3) Вычислена массовая доля нитрата серебра в исходном растворе:
|
|
|
Ответ правильный и полный, содержит все названные элементы |
3 |
|
Правильно записаны два первых элемента ответа |
2 |
|
Правильно записан один элемент ответа |
1 |
|
Все элементы ответа записаны неверно |
0 |
|
Максимальный балл |
3 |
22. Даны вещества: FeCl3, H2SО4(KOHЦ.), Fe, Cu, NaOH, CuSО4.
Используя воду и необходимые вещества только из этого списка, получите в две стадии гидроксид железа(Н). Опишите признаки проводимых реакций. Для реакции ионного обмена напишите сокращенное ионное уравнение реакции.
|
Содержание верного ответа и указания по оцениванию (допускаются иные формулировки ответа, не искажающие его смысла) |
Баллы |
|
Составлены два уравнения реакции:
Описаны признаки протекания реакций: 3) для первой реакции: выделение красного осадка металлической меди; 4) для второй реакции: выпадение серо-зеленого осадка. Составлено сокращенное ионное уравнение второй реакции:
|
|
|
Ответ правильный и полный, включает все названные элементы |
5 |
|
Правильно записаны четыре элемента ответа |
4 |
|
Правильно записаны три элемента ответа |
3 |
|
Правильно записаны два элемента ответа |
2 |
|
Правильно записан один элемент ответа |
1 |
|
Все элементы ответа записаны неверно |
0 |
|
Максимальный балл |
5 |
Модель 2
22. Требуется получить гидроксид железа(И) в результате проведения двух последовательных реакций. Выберите необходимые для этого реактивы из числа тех, которые Вам предложены.
Составьте схему превращений, в результате которых можно получить указанное вещество. Запишите уравнения двух реакций. Для реакции ионного обмена составьте сокращенное ионное уравнение.
|
Содержание верного ответа и указания по оцениванию |
|
|
(допускаются иные формулировки ответа, не искажающие его смысл) |
|
|
Составлена схема превращений, в результате которой можно получить гидроксид железа(II):
Составлены уравнения двух проведенных реакций:
Составлено сокращенное ионное уравнение второй реакции:
|
|
|
Критерии оценивания |
Баллы |
|
Ответ правильный и полный, включает все названные элементы |
4 |
|
Правильно записаны три элемента ответа |
3 |
|
Правильно записаны два элемента ответа |
2 |
|
Правильно записан один элемент ответа |
1 |
|
Все элементы ответа записаны неверно |
0 |
|
Максимальный балл |
4 |
23. Подготовьте лабораторное оборудование, необходимое для проведения эксперимента.
Проведите реакции в соответствии с составленной схемой превращений. Опишите изменения, происходящие с веществами в ходе проведенных реакций.
Сделайте вывод о химических свойствах веществ (кислотно-основных, окислительно-восстановительных), участвующих в реакции, и классификационных признаках реакций.
|
Содержание верного ответа и указания по оцениванию (допускаются иные формулировки ответа, не искажающие его смысл) |
Баллы |
|
|
К1 |
Проведены реакции в соответствии с составленной схемой и описаны изменения, происходящие с веществами в ходе проведения реакции: 1) для первой реакции: выделение красного осадка металлической меди и изменение цвета раствора (исчезновение голубой окраски раствора); 2) для второй реакции: выпадение серо-зеленого осадка; 3) сформулирован вывод о свойствах веществ и классификационных признаках проведенных реакций: в основе проведенного эксперимента лежит окислительно-восстановительная реакция замещения катиона менее активного металла (Сu2+) более активным металлом (железом), а также реакция ионного обмена между солью и щёлочью, протекающая за счет выпадения осадка |
|
|
Ответ правильный и полный, содержит все названные элементы |
3 |
|
|
Правильно записаны два первых элемента ответа |
2 |
|
|
Правильно записан один элемент ответа |
1 |
|
|
Все элементы ответа записаны неверно |
0 |
|
|
К2 |
Оценка техники выполнения химического эксперимента: • соблюдение общепринятых правил при отборе нужного количества реактива; • соблюдение правил безопасного обращения с веществами и оборудованием при проведении химических реакций |
|
|
При проведении эксперимента полностью соблюдались все правила отбора реактивов и проведения химических реакций |
2 |
|
|
При проведении эксперимента были нарушены требования правил отбора реактивов или проведения химических реакций |
1 |
|
|
При проведении эксперимента были нарушены правила отбора реактивов и проведения химических реакций |
0 |

17
