Степень окисления химических элементов. Окислитель и восстановитель. Окислительно-восстановительные реакции - Элементарные основы неорганической химии. Представления об органических веществах - ПРИМЕРЫ РЕШЕНИЙ ЗАДАНИЙ И ЗАДАНИЯ ДЛЯ САМОСТОЯТЕЛЬНОЙ РАБОТЫ ПО СОДЕРЖАТЕЛЬНЫМ БЛОКАМ

Химия ОГЭ - Основной государственный экзамен - Комплекс материалов для подготовки учащихся - Д.Ю. Добротин - 2018 год

Степень окисления химических элементов. Окислитель и восстановитель. Окислительно-восстановительные реакции - Элементарные основы неорганической химии. Представления об органических веществах - ПРИМЕРЫ РЕШЕНИЙ ЗАДАНИЙ И ЗАДАНИЯ ДЛЯ САМОСТОЯТЕЛЬНОЙ РАБОТЫ ПО СОДЕРЖАТЕЛЬНЫМ БЛОКАМ

Примеры решения заданий

Пример 1.

Используя метод электронного баланса, составьте уравнение реакции

Определите окислитель и восстановитель.

Выполнение заданий, предусматривающих составление электронного баланса, а на его основе и уравнения реакций, следует начать с расстановки степеней окисления в схеме реакции:

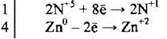
Затем выписываем частицы, поменявшие степень окисления. Ими в данном уравнении являются цинк (Zn0) и азот (N-5).

Так, цинк, отдавая 2 электрона, приобретает заряд +2, а два атома азота, принимая 8 электронов, степень окисления +1.

Составляем электронный баланс:

Частица, принимающая электроны - азот в степени окисления +5 (или HNO3) - является окислителем. А цинк, отдающий электроны является восстановителем.

Удвоение числа атомов азота при составлении электронного баланса, связано с наличием индекса 2 в формуле оксида азота(I).

С помощью наименьшего общего кратного (8) определяем числа, уравнивающие число отданных и принятых электронов.

Полученные при этом множители 1 и 4 и будут служить коэффициентами в уравнении данной реакции. Переставляем их перед нитратом цинка и оксидом азота (I) соответственно, и расставляем оставшиеся коэффициенты.

Составляем уравнение реакции:

Пример 2.

Используя метод электронного баланса, составьте уравнение реакции

Определите окислитель и восстановитель.

Выполнение задания, как и в предыдущем примере, начинаем с расстановки степеней окисления.

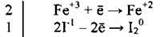
Из полученной записи следует, что степень окисления изменяют железо и иод. Определяем число принятых и отданных данными частицами электронов и составляем электронный баланс:

Из указанных записей следует, что иод в степени окисления -1 (или HI) является восстановителем, а железо в степени окисления +3 (или Fe(OH)3) - окислителем.

Определив наименьшее общее кратное, расставляем множители, которые уравнивают число принятых и отданных электронов. Получаем множители, которые переставляем в виде коэффициентов перед иодидом железа(II) и иодом.

Таким образом, атомов иода в правой части уравнения реакции получилось 6, что позволяет поставить перед иодоводородом данный коэффициент. Атомов железа в правой части уравнения реакции 2: это число мы ставим в виде коэффициента перед гидроксидом железа(III). Доставим коэффициент перед водой: он равен 6. Проверяем правильность расстановки коэффициентов по числу атомов кислорода: и в левой, и в правой оно равно 6. Таким образом, уравнение реакции составлено:

Задания для самостоятельной работы

278. Используя метод электронного баланса, составьте уравнение реакции, соответствующее схеме превращений

Определите окислитель и восстановитель.

279. Используя метод электронного баланса, составьте уравнение реакции, соответствующее схеме превращений

Определите окислитель и восстановитель.

280. Используя метод электронного баланса, составьте уравнение реакции, соответствующее схеме превращений

Определите окислитель и восстановитель.

281. Используя метод электронного баланса, составьте уравнение реакции, соответствующее схеме превращений

Определите окислитель и восстановитель.

282. Используя метод электронного баланса, составьте уравнение реакции, соответствующее схеме превращений

Определите окислитель и восстановитель.

283. Используя метод электронного баланса, составьте уравнение реакции, соответствующее схеме превращений

Определите окислитель и восстановитель.

284. Используя метод электронного баланса, составьте уравнение реакции, соответствующее схеме превращений

Определите окислитель и восстановитель.

285. Используя метод электронного баланса, составьте уравнение реакции, соответствующее схеме превращений

Определите окислитель и восстановитель.

286. Используя метод электронного баланса, составьте уравнение реакции, соответствующее схеме превращений

Определите окислитель и восстановитель.

287. Используя метод электронного баланса, составьте уравнение реакции, соответствующее схеме превращений

Определите окислитель и восстановитель.

288. Используя метод электронного баланса, составьте уравнение реакции, соответствующее схеме превращений

Определите окислитель и восстановитель.

289. Используя метод электронного баланса, составьте уравнение реакции, соответствующее схеме превращений

Определите окислитель и восстановитель.

290. Используя метод электронного баланса, составьте уравнение реакции, соответствующее схеме превращений

Определите окислитель и восстановитель.

291. Используя метод электронного баланса, составьте уравнение реакции, соответствующее схеме превращений

Определите окислитель и восстановитель.

292. Используя метод электронного баланса, составьте уравнение реакции, соответствующее схеме превращений

Определите окислитель и восстановитель.

293. Используя метод электронного баланса, составьте уравнение реакции, соответствующее схеме превращений

Определите окислитель и восстановитель.






Для любых предложений по сайту: fun-project@cp9.ru