Химия - Новый полный справочник для подготовки к ОГЭ - 2018 год
Химические свойства простых веществ - неметаллов: водорода, кислорода, галогенов, серы, азота, фосфора, углерода, кремния - Химические свойства простых веществ
В разделе приводится необходимые сведения не только о свойствах простых веществ — неметаллов, но и о важнейших соединениях соответствующих элементов.
Водород
Водород — первый элемент в Периодической системе химических элементов Д.И. Менделеева, помещаемый обычно и в IA, и в VIIA группы. Электронная конфигурация атома водорода 1s1, аналогичную конфигурацию имеют атомы щелочных металлов (элементы IA группы). В то же время, поскольку первый электронный уровень может максимально вместить только два электрона, атому водорода не хватает до завершения внешнего уровня одного электрона. Это роднит водород с элементами галогенами (VIIA группа), атомам которых также недостаёт одного электрона до завершения внешнего уровня. Итак, водород может проявлять две степени окисления в своих соединениях: +1 (как щелочные металлы) и -1 (как галогены).
При обычных условиях водород довольно мало активен, что объясняется высокой прочностью его молекулы Н2, энергия связи в которой 430 кДж/моль. Однако при нагревании или в присутствии катализатора, ослабляющего связь в молекуле, химическая активность водорода усиливается.
Так, для водорода возможны реакции с простыми веществами:
— с металлами: ![]()
— с неметаллами:
![]()
Реагирует водород и со сложными веществами:
— с оксидами металлов:
![]()
— с оксидами неметаллов:
![]()
— с некоторыми солями:
![]()
— с органическими веществами:
![]()
Среди рассмотренных примеров только при взаимодействии с металлами водород проявляет окислительные свойства, восстанавливаясь до степени окисления —1. Более характерны для водорода восстановительные свойства, при этом водород окисляется до степени окисления +1.
Ещё более сильными восстановителями, чем сам водород, являются гидриды — соединения, содержащие водород в степени окисления -1. Так, они бурно взаимодействуют с водой с выделением газообразного водорода:
![]()
В промышленности гидриды используются в качестве мощных восстановителей для получения металлов и в других случаях, например:

Кислород
Кислород — химический элемент VIA группы. Электронная конфигурация его атома 1s22s22p4 или в графическом виде:

До завершения внешнего уровня атому кислорода не хватает двух электронов, поэтому типичная степень окисления кислорода -2. Возможны также степени окисления -1 (в пероксидах Н2O2или ВаO2) и +2 (во фториде кислорода OF2). Ковалентность атома кислорода в молекулярных соединениях равна двум, т.е. атом кислорода образует две связи за счёт двух неспаренных электронов. Используя донорно-акцепторный механизм, атом кислорода может дополнительно образовать ещё одну ковалентную связь, что и происходит в молекуле озона или в ионе гидроксония:
![]()
Элемент кислород образует два простых вещества — обычный кислород 02 и озон 03. Рассмотрим вначале химические свойства обычного кислорода.
Благодаря высокой электроотрицательности кислород — довольно сильный окислитель, реагирует с большинством простых и сложных веществ.
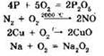
Из простых веществ не окисляются кислородом только благородные металлы, галогены и инертные газы, в остальных случаях образуются оксиды или пероксиды, например:

Кислород взаимодействует также со сложными веществами, как неорганическими, так и органическими, например:

Во всех приведённых примерах кислород выступает как окислитель.
Озон — другая аллотропная модификация кислорода — является более сильным окислителем, чем обычный кислород. Это связано с лёгкостью разрыва одной из связей в молекуле O3 с образованием атомарного кислорода:
![]()
Озон, в отличие от кислорода, окисляет металлическое серебро до оксида*:
2Ag + O3 = Ag2O + O2
Качественной реакцией на озон является выделение иода при пропускании газа через раствор иодида калия:
![]()
Галогены
Галогены — элементы VIIA группы. К галогенам относятся фтор, хлор, бром, иод и астат. Астат — радиоактивный элемент, полученный искусственно, в природе практически не содержится. Многие свойства астата изучены недостаточно, поэтому в дальнейшем о химических свойствах астата мы говорить не будем.
Атомы галогенов характеризуются аналогией в строении внешней электронной оболочки: все галогены имеют внешнюю электронную конфигурацию ns2np5. Сходство в строении внешней электронной оболочки объясняет и сходство свойств самих галогенов.
Так, все галогены — окислители. Атомы галогенов стремятся присоединить электрон до завершения внешнего энергетического уровня, поэтому все галогены образуют устойчивые производные в степени окисления -1. Галогены, кроме фтора, образуют производные и в положительных степенях окисления: +1, +3, +5 и +7. Фтор является самым электроотрицательным элементом.
Молекулы галогенов двухатомны. В ряду простых веществ фтор — хлор — бром — иод температуры кипения и плавления возрастают: так, фтор и хлор являются газами, бром — летучей жидкостью, иод — кристаллическим телом. Отличительным свойством иода является его способность к сублимации (возгонке). Поскольку молекулы галогенов неполярны, галогены лучше растворяются в неполярных органических растворителях (С6Н6, ССl4), чем в воде.
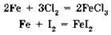
Окислительная способность простых веществ в ряду F2 — Сl2 — Вr2 — I2 убывает. Так, хлор реагирует с железом с образованием трихлорида, а иод — с образованием дииодида железа:
![]()
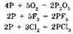
Аналогично медь окисляется хлором или бромом до степени окисления +2, а иодом — только до +1:
![]()
Неметаллы фтором окисляются, как правило, до высших степеней окисления. Сравните:
![]()
Фтор настолько сильный окислитель, что он способен окислять даже инертные (благородные) газы:
![]()
Непосредственно с галогенами не реагируют только кислород, азот, гелий, неон и аргон.
Отдельно рассмотрим взаимодействие галогенов с водородом. Фтор, как самый сильный окислитель, реагирует с водородом со взрывом при любых условиях, даже при низких температурах и в темноте:
Н2 + F2 = 2HF + 548 кДж
Взаимодействие хлора с водородом требует сильного освещения для своего начала:
![]()
Эта реакция протекает по цепному радикальному механизму, который включает в себя три стадии:
— инициализация цепи под действием кванта световой энергии:
![]()
— развитие цепи за счёт последовательно протекающих реакций:
![]()
— обрыв цепи за счёт взаимодействия двух радикалов:
![]()
Взаимодействие брома с водородом происходит только при нагревании:
![]()
Взаимодействие иода с водородом относится к эндотермическим реакциям и, кроме нагревания, требует присутствия платины как катализатора:
![]()
Эти факты также свидетельствуют о снижении химической активности и окислительной способности в ряду галогенов. Иод, как самый слабый окислитель среди галогенов, сам может быть окислен действием более сильных окислителей, например:
![]()
Кроме простых веществ, галогены активно взаимодействуют со сложными веществами.
При взаимодействии с водой фтор окисляет её до свободного кислорода:
2Н2O + 2F2 = 4HF + O2
Взаимодействие с водой других галогенов протекает иначе. Так, при растворении хлора в воде (“хлорная вода”) происходит диспропорционирование хлора с понижением и повышением степени окисления:
![]()
При этом в растворе, наряду с растворёнными молекулами хлора, образуются две кислоты — хлороводородная и хлорноватистая. В соответствии с принципом Ле Шателье, для смещения равновесия вправо, в сторону диспропорционирования, необходимо образующиеся кислоты удалять из сферы реакции. Очевидно, это возможно при добавлении в раствор щёлочи. Поэтому взаимодействие галогенов с щелочами носит практически необратимый характер:
![]()
На холоду хлор окисляется до степени окисления +1 с образованием гипохлорита калия, а при нагревании — до степени окисления +5 с образованием хлората калия.
Хлор образует следующие кислородсодержащие кислоты:
НСl+1O — хлорноватистая (соли — гипохлориты),
НСl+3O2 — хлористая (соли — хлориты),
НСl+5O3 — хлорноватая (соли — хлораты),
НСl+7O4 — хлорная (соли — перхлораты).
Все кислородсодержащие кислоты галогенов и их соли — сильные окислители. В ряду НСlO, НС1O2, НСlO3, НСlO4 сила кислот возрастает, а окислительная активность в водном растворе уменьшается.
Характерным свойством солей кислородсодержащих кислот галогенов является лёгкость их разложения при нагревании. Так, хлорат калия (бертолетова соль) может разлагаться как с выделением кислорода, так и по иному пути:
![]()
Поскольку реакционная способность галогенов по ряду от F2 ДО I2 падает, то более активные галогены могут вытеснять менее активные из галогенидов:
Br2 + 2NaI = 2NaBr + I2
Галогены могут окислять не только неорганические, но и органические вещества, например:
![]()
(обесцвечивание бромной воды является качественной реакцией на непредельные соединения).
Важнейшими соединениями галогенов являются галогеноводороды HF, НСl, НВr и HI. Эти соединения хорошо растворимы в воде, водные растворы проявляют кислотные свойства. В указанном ряду кислотные свойства возрастают, фтороводородная (плавиковая) кислота HF относится к слабым кислотам, в то время как иодоводородная HI — одна из сильнейших кислот. В промышленности галогеноводороды получают по реакциям:
![]()
В лаборатории НСl получают действием концентрированной серной кислоты на твёрдый хлорид натрия:
![]()
Важным свойством плавиковой кислоты является её растворяющее действие на стекло, что связано реакцией с диоксидом кремния, входящим в состав стекла:
SiO2 + 4HF = SiF4 + 2Н2O
Поскольку в ряду F2 — Сl2 — Вr2 — I2 окислительная активность галогенов убывает, то, соответственно возрастает восстановительная активность в ряду соответствующих галогенид-ионов: F- — Сl- — Вr- — I-. Так, фторид-ион нельзя окислить в водном растворе до свободного фтора ни одним окислителем, хлорид-ион окисляется только самыми сильными окислителями (НМnO4, Н2Сr207, НСlO3 и др.), в то время как иодид-ион окисляется даже слабыми окислителями, например кислородом воздуха или концентрированной серной кислотой:
![]()
Последняя реакция поясняет, почему в лаборатории нельзя получить HI действием серной кислоты на KI (по аналогии с НСl).
Качественной реакцией на галогенид-ионы (кроме F-) является взаимодействие их с нитратом серебра, при этом выпадают характерного вида творожистые осадки галогенидов серебра, окрашенные в соответствующие цвета:
![]()
Сера
Сера — химический элемент VIA группы. Электронная конфигурация его атома 1s22s22p43s23p4 или в графическом виде:

До завершения внешнего уровня (а на внешнем уровне не может быть больше восьми электронов) не хватает двух электронов, поэтому низшая степень окисления серы -2. Высшая положительная степень окисления, получаемая при отдаче всех шести внешних электронов, равна +6 (совпадает с номером группы). Возможна также промежуточная степень окисления +4.
Ковалентность атома серы в молекулярных соединениях равна двум, четырём или шести (т.е. атом серы образует две, четыре или шесть связей за счёт двух, четырёх или шести неспаренных электронов). Это возможно, т.к. для элементов 3-го периода доступны вакантные 3d-атомные орбитали:


Ковалентности серы II, IV и VI реализуются, например, в соединениях:

При обычных условиях сера малоактивна, но при нагревании её активность возрастает. Сера взаимодействует с неметаллами, металлами, сложными веществами, проявляя свойства и восстановителя (с более электроотрицательными элементами), и окислителя (с менее электроотрицательными элементами), например: сера как восстановитель:
![]()
сера как окислитель:
![]()
сера и окислитель, и восстановитель:
![]()
Азот
Азот — химический элемент VA группы. Электронная конфигурация его атома 1s22s22p3, или в графическом виде:

До завершения внешнего уровня не хватает трёх электронов, поэтому низшая степень окисления азота - 3 (например, в аммиаке NH3). Высшая степень окисления, получаемая за счёт отдачи пяти валентных электронов, равна +5 (например, в азотной кислоте HN03). Возможны также промежуточные степени окисления, например: -2 (в гидразине N2H4), +1 (в оксиде N2O), +2 (в оксиде NO), +3 (в азотистой кислоте HNO2), +4 (в оксиде NO2).
Атом азота за счёт неспаренных электронов может образовывать одну ковалентную связь, две или три связи. Используя донорно-акцепторный механизм, атом азота может дополнительно образовать ещё одну ковалентную связь, что и происходит в ионе аммония или молекуле азотной кислоты. Таким образом, максимальная ковалентность азота равна четырём. Даже в азотной кислоте и своём высшем оксиде атом азота образует только четыре ковалентные связи, являясь четырёхвалентным, что видно из следующих формул:
![]()
Как простое вещество азот состоит из двухатомных молекул N2. При обычных условиях азот обладает весьма низкой реакционной способностью. Это связано с высокой прочностью тройной связи в его молекуле: для разрыва тройной связи необходима энергия 945 кДж/моль. И даже при нагревании активность азота возрастает незначительно. Так, при нагревании азот взаимодействует с водородом, кислородом, активными металлами:

Если в первых двух реакциях азот — окислитель и восстанавливается до степени окисления -3, то в последней реакции азот проявляет восстановительные свойства.
Если оксид азота(II) N0 может быть получен прямым взаимодействием азота и кислорода, то остальные оксиды азота получаются косвенным путём, например:

Оксиды азота N2O3, NO2 и N2O5являются кислотными, взаимодействуют с водой с образованием кислот, а с щелочами — с образованием солей:

Оксиды NO и N2O ОТНОСЯТ К несолеобразующим.
Важнейшие соединения азота — аммиак NH3, азотистая кислота HNO2, азотная кислота HNO3 и их соли.
Фосфор
Как и азот, фосфор — элемент VA группы. Исходя из электронной конфигурации валентных электронов атома фосфора 1s22s22p63s23p3, можно предположить, что низшая степень окисления фосфора -3, а высшая +5. Таким образом, набор проявляемых степеней общий и для азота, и для фосфора. Главное отличие атома фосфора от атом азота — наличие для элемента третьего периода вакантных 3d-орбиталей, за счёт которых атом фосфора может проявлять максимальную валентность V (в отличие от максимальной валентности азота IV).
Элемент фосфор образует несколько простых веществ: белый фосфор, красный фосфор, чёрный фосфор. Известны и другие аллотропные модификации фосфора. Белый фосфор имеет молекулярное строение, его молекула состоит из четырёх атомов Р4. Остальные модификации имеют атомные (координационные) решётки.
Наибольшей химической активностью обладает белый фосфор, он самовоспламеняется уже при 40 °С, поэтому хранят его под водой.
Фосфор в химических реакциях может быть как восстановителем:
![]()
так и окислителем:
2Р + 3Са = Са3Р2 (фосфид кальция)
Когда необходимо показать, что в реакцию вступает именно белый фосфор, то уравнение реакции записывают с участием молекул Р4. Так, при взаимодействии белого фосфора с горячим раствором щёлочи выделяется газ фосфин:
![]()
Наряду с фосфином в этой реакции образуется соль фосфорноватистой кислоты Н3РO2. Другим способом получения фосфина является гидролиз фосфидов в воде или в растворе кислоты:
![]()
Напрямую фосфор с водородом практически не взаимодействует. Следует отметить, что, в отличие от аммиака, фосфин обладает лишь весьма малыми основными свойствами.
Фосфор легко окисляется сильными неорганическими окислителями, такими как HNO3 или КМnO4:
![]()
Фосфор образует два оксида: Р2O3 и Р2O5. Оба оксида являются кислотными, взаимодействуя с водой, образуют соответствующие кислоты:
P2O3 + 3Н2O = 2Н3РO3 фосфористая кислота
Р2O5 + Н2O = 2НРO3 метафосфорная кислота**
Р2O5 + 3Н2O = 2Н3РO4 ортофосфорная кислота
Ортофосфорная кислота при нагревании до 200°С превращается в дифосфорную (пирофосфорную) кислоту Н4Р2+5О7 И метафосфорная кислота, и дифосфорная кислота в растворе переходят в более устойчивую ортофосфорную кислоту.
Важнейшей кислотой фосфора является ортофосфорная. В промышленности её получают тремя различными методами:

Углерод и кремний
Углерод и кремний — элементы IVA группы. Электронные конфигурации их атомов приведены ниже:

Из четырёх валентных электронов два — неспаренные, за счёт которых атомы углерода и кремния могут образовать две ковалентные связи. Но такое двухвалентное состояние для углерода и кремния нехарактерно. При небольших энергетических затратах происходит распаривание внешних ns2-электронов и перевод одного из них на вакантную р-орбиталь:

Затраты энергии, необходимые для возбуждения атома, с избытком компенсируются энергией, выделяющейся при образовании четырёх ковалентных связей. Валентность IV — наиболее характерна для углерода и кремния.
В своих соединениях углерод и кремний могут проявлять степени окисления от минимальной -4 до максимальной, равной номеру группы, +4. Вот примеры соединений углерода в различных степенях окисления:
-4 метан СН4, карбид алюминия Аl4С3,
-2 хлорметан СН3Сl,
-1 карбид кальция СаС2,
0 дихлорметан СН2Сl2, формальдегид НСНО,
+2 угарный газ СО, муравьиная кислота НСООН,
+3 щавелевая кислота Н2С2O4,
+4 углекислый газ СO2, карбонат кальция СаСO3.
Из перечисленных выше соединений только в одном (СО) углерод образует три ковалентных связи, во всех других, несмотря на различную степень окисления, атом углерода четырёхвалентен, т.е. образует четыре ковалентные связи.
При обычных условиях и углерод, и кремний обладают малой реакционной способностью. Однако нагревание резко усиливает их химическую активность, углерод и кремний при нагревании реагируют со многими простыми и сложными веществами.
При нагревании с кислородом оба неметалла образуют оксиды, проявляя восстановительные свойства:
С + O2 = СO2
Si + O2 = SiO2
Окислительные свойства для углерода и кремния нехарактерны, эти элементы являются окислителями в реакциях с активными металлами:
![]()
Восстановительные свойства углерода и кремния при высокой температуре настолько велики, что углерод и кремний используют в промышленных методах получения металлов:
![]()
Углерод и кремний могут взаимодействовать друг с другом, образуя карбид кремния:
![]()
Карбид кремния под названием карборунд используется как эффективный абразивный материал.
Углерод и кремний образуют оксиды состава ЭО и ЭO2. Оксиды в степени окисления +2 относятся к несолеобразующим, в степени окисления +4 — к кислотным.
Оксид углерода(II) получают несколькими методами, например:

Оксид углерода(II) чрезвычайно токсичен, что отражено в его бытовом названии “угарный газ”. Высокая восстановительная способность СО позволяет использовать его в металлургии при получении металлов из руд.
Оксидам углерода(IV) и кремния(IV) соответствуют кислоты: Н2СO3 — угольная, H2SiO3 — метакремниевая, H4SiO4 — ортокремниевая. Поскольку диоксид кремния не взаимодействует с водой, кремниевые кислоты получают косвенно. Угольная кислота неустойчива и в момент получения разлагается на диоксид углерода и воду.
Интересной особенностью диоксида кремния является взаимодействие его с плавиковой кислотой:
SiO2 + 4HF = SiF4 + 2Н2O
Эта реакция лежит в основе “травления” стекла.
Задания
Часть 1
К каждому из заданий части 1 даны 4 варианта ответа, из которых только один правильный.
1. Фосфор превращается в ортофосфорную кислоту при кипячении его с
1) азотной кислото.
2) соляной кислотой
3) водой .
4) содой
2. Сера окисляется до серной кислоты при кипячении её с
1) НСl .
2) Н2O .
3) NH3 ∙ Н2O
4) HNO3
3. Возможно химическое взаимодействие между следующими веществами:
1) Ne и Аl.
2) Н2 и Сu.
3) Р и Zn
4) Н2 и Ag
4. С образованием соединения, содержащего ионы Н-, водород реагирует с
1) хлором.
2) серой
3) натрием.
4) кислородом
5. Фосфор практически не реагирует с
1) водородо.
2) кислородо.
3) фтором
4) хлором
6. Кислород непосредственно не взаимодействует с
1) хлором .
2) фосфором
3) серой .
4) железом
7. Какой из химических элементов образует соединения состава КН2ЭO4 и К3ЭO4?
1) хлор .
2) сера
3) азот .
4) фосфор
8. Элементы какой группы образуют оксиды с общей формулой К2O5?
1) IVA
2) V.
3) IIIА
4) VIA
9. В ряду элементов:
углерод → азот → кислород → фтор
увеличивается
1) атомный радиус
2) число неспаренных электронов в атоме
3) число s-электронов в атоме
4) электроотрицательность
10. У атомов химических элементов, расположенных в ряду:
Si — Р — S — Сl,
увеличивается
1) радиус
2) окислительные свойства
3) восстановительные свойства
4) число неспаренных электронов
11. В соединениях фосфора с активными металлами его степень окисления равна
1) -.
2) .
3) +.
4) +5
12. Какое из водородных соединений проявляет наиболее сильные кислотные свойства?
1) РН3
2) СН4
3) H2S
4) NH3
13. Какой из химических элементов образует водородное соединение с ярко выраженными основными свойствами?
1) углерод.
2) азот
3) хлор .
4) сера
14. Верны ли следующие суждения о свойствах хлора?
А. Хлор реагирует со щелочными металлами.
Б. Хлор не реагирует с алканами.
1) верно только А
2) верно только Б
3) верны оба суждения
4) оба суждения неверны
При выполнении заданий выберите правильные ответы.
15. Водород может взаимодействовать с:
1) раствором гидроксида натрия
2) этиленом
3) фосфорной кислотой
4) этаном
5) оксидом меди(II)
Ответ: ____ .
16. Углерод может взаимодействовать с:
1) магнием
2) соляной кислотой
3) концентрированной серной кислотой
4) метаном
5) аргоном
Ответ: ____ .
* Наряду с Ag2O образуется AgO.
** “Метафосфорная кислота” — собирательное название различных кислот с общей формулой НnРnO3n.