Химия - Новый полный справочник для подготовки к ОГЭ - 2018 год
Вычисления массовой доли химического элемента в веществе - Проведение расчётов на основе формул и уравнений реакций
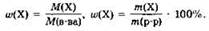
При проведении различных расчётов в химии широко используют понятие “массовая доля”. Это может быть массовая доля растворённого вещества в растворе, массовая доля металла в сплаве, массовая доля химического элемента в соединении. Массовая доля химического элемента в веществе равна отношению массы, приходящейся на данный элемент, к массе всего вещества:
![]()
По определению, массовая доля элемента — величина безразмерная. Она меняется в пределах от 0 до 1 или от 0 до 100%.
Если взять не произвольную массу, а массу 1 моль (молярную массу) вещества, приведённые формулы запишутся по-другому:
![]()
Так, для вещества AnBm массовая доля элемента А составит:
![]()
Аналогично, массовая доля элемента В равна:
![]()
В качестве примера найдём массовую долю кислорода в воде, серной кислоте и этиловом спирте:
1) Вода Н2O:
![]()
2) Серная кислота H2SO4:
![]()
3) Этиловый спирт С2Н5ОН:
![]()
Очевидно, что сумма массовых долей всех элементов в веществе равна единице или 100%.
Задания
Часть 1
К каждому из заданий части 1 даны 4 варианта ответа, из которых только один правильный.
1. Массовая доля кислорода в силикате магния равна
1) 16.
2) 24.
3) 36.
4) 48%
2. Массовая доля азота в нитрате алюминия равна
1) 14,0.
2) 19,7.
3) 6,6.
4) 21,3%
3. Массовая доля кислорода в нитрате алюминия равна
1) 7,5.
2) 22,5.
3) 42,4.
4) 67,6%
4. Массовая доля кислорода в нитрате железа(III) равна
1) 59,5.
2) 6,6.
3) 16,0.
4) 56,1%
5. Массовая доля азота в нитрате железа(III) равна
1) 5,8.
2) 17,4.
3) 28,0.
4) 59,5%
6. Массовая доля кислорода в сульфате алюминия равна
1) 4,7.
2) 12,8.
3) 56,1.
4) 16,0%
7. Массовая доля железа в нитрате железа(III) равна
1) 46,2.
2) 17,4.
3) 23,1.
4) 56,0%
8. Массовая доля кислорода в сульфате меди(II) равна
1) 10,0%
2) 32,0%
3) 16,0%
4) 40,0%
9. Массовая доля кислорода в сульфате железа(III) равна
1) 4,0.
2) 16,0%
3) 48,0%
4) 56,2%
10. Массовая доля серы в сульфате железа(III) равна
1) 24,0%
2) 32,0%
3) 8,0.
4) 33,3%
11. Массовая доля серы в сульфате алюминия равна
1) 28,1%
2) 9,4.
3) 64,0%
4) 32,0%
12. Массовая доля водорода в этиловом спирте равна
1) 13,0%
2) 10,9%
3) 2,2.
4) 46,0%
13. Массовая доля углерода в этиловом спирте равна
1) 52,2%
2) 26,1%
3) 32,3%
4) 46,0%
14. Массовая доля углерода в метиловом спирте равна
1) 37,5%
2) 18,7%
3) 16,0%
4) 32,0%
15. Массовая доля кислорода в этиловом спирте равна
1) 52,2%
2) 26,1%
3) 34,8%
4) 46,0%
16. На какой диаграмме распределение массовых долей элементов соответствует количественному составу сульфата аммония:

17. На какой диаграмме распределение массовых долей элементов соответствует количественному составу плавиковой кислоты?

18. На какой диаграмме распределение массовых долей элементов соответствует составу нитрата калия?
