Информатика - Методическое пособие для 7-9 классов - 2015 год
Доменная система имен. Протоколы передачи данных - МЕТОДИЧЕСКИЕ РЕКОМЕНДАЦИИ ПО ПРОВЕДЕНИЮ УРОКОВ В 9 КЛАССЕ
Планируемые образовательные результаты:
• предметные — наличие основных представлений об организации и функционирования компьютерной сети Интернет; общие представления о доменной системе имен, о протоколах передачи данных;
• метапредметные — представления о компьютерных сетях распространения и обмена информацией, об использовании информационных ресурсов общества с соблюдением соответствующих правовых и этических норм, требований информационной безопасности;
• личностные — понимание роли информационных процессов в современном мире; представление о сферах применения компьютерных сетей в различных сферах деятельности человека.
Решаемые учебные задачи:
1) сформировать общие представления о том, как устроен Интернет;
2) рассмотреть понятие доменной системы имен; познакомить с подходами к анализу доменных имен компьютеров в Интернете;
3) рассмотреть понятие протокола и примеры протоколов передачи данных.
Основные понятия, рассматриваемые на уроке:
• компьютерная сеть;
• глобальная сеть;
• Интернет;
• доменная система имен;
• протокол IP;
• протокол TCP.
Средства ИКТ, используемые на уроке:
• персональный компьютер (ПК) учителя, мультимедийный проектор, экран;
• ПК учащихся.
Электронное приложение к учебнику:
• презентация “Всемирная компьютерная сеть Интернет”.
Единая коллекция цифровых образовательных ресурсов:
1) демонстрация к лекции “Что такое Интернет” (119328);
2) анимация “Организация пространства имен” (192876);
3) анимация “Протокол IР” (192655);
4) анимация “Сетевой уровень. IР-маршрутизация” (192947);
5) анимация “Демонстрация протокола ТСР” (192744);
6) демонстрационный имитатор “Пакетная передачи данных в Интернете” (119376).
Особенности изложения содержания темы урока
Урок строится на основе презентации “Всемирная компьютерная сеть Интернет” из электронного приложения к учебнику. Рассматриваются задания № 150, 154, 155 в РТ.
При рассмотрении № 155 в РТ очень важно обратить внимание на практическое применение знаний и умений, полученных ранее по теме “Моделирование и формализация”.
В практической части урока рекомендуется научить учеников определению IP-адреса интересующих их сайтов.
Домашнее задание
§ 4.2 (пункты 3, 4); задания № 9-12 к параграфу; № 151-153 в РТ.
Указания, комментарии, ответы и решения
Задания в учебнике
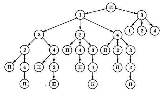
№ 12. Ниже приведена часть дерева. Всего возможно 20 различных маршрутов.

Задания в рабочей тетради
№ 155. Всего 12 различных маршрутов.
