Алгоритмы - Разработка и применение - 2016 год
Основные вероятностные определения - Рандомизированные алгоритмы
Для многих (хотя, безусловно, не всех) областей применения рандомизированных алгоритмов достаточно работать с вероятностями, определяемыми по конечным множествам; анализировать такие ситуации оказывается намного проще, чем размышлять о вероятностях по произвольным множествам. Итак, для начала мы ограничимся только этим частным случаем, а в конце раздела рассмотрим заново все концепции на более общем уровне.
Конечные вероятностные пространства
Всем нам интуитивно понятны выражения типа “Если подбросить монетку, то “орел” выпадет с вероятностью 1/2” или “При броске кубика вероятность выпадения 6 составляет 1/6”. Начнем с описания математической инфраструктуры, которая позволяет точно анализировать подобные утверждения. Эта инфраструктура хорошо подходит для систем с четко определенными наборами результатов, таких как броски монеток и кубиков; в то же время мы избежим длинных и непростых философских аспектов, возникающих при попытке моделирования утверждений вида “Вероятность того, что завтра пойдет дождь, равна 20 %”. К счастью, в большинстве алгоритмических задач ситуация определяется так же четко, как при бросках кубиков и монеток, — разве что масштабнее и сложнее.
Чтобы иметь возможность вычислять вероятности, введем понятие конечного вероятностного пространства. (Не забывайте, что пока речь идет только о конечных множествах.) Конечное вероятностное пространство определяется нижележащим пространством выборки, которое состоит из всех возможных результатов рассматриваемого процесса. Каждой точке пространства выборки ставится в соответствие неотрицательная вероятностная мераp(i) ≥ 0; единственное ограничение для вероятностных мер заключается в том, что их сумма должна быть равна 1, то есть
СобытиеE определяется как произвольное подмножество Ω (то есть просто как множество результатов, образующих это событие), а вероятность события определяется как сумма вероятностных мер всех точек в E, то есть
![]()
Во многих ситуациях, которые мы будем рассматривать, все точки пространства выборки имеют одинаковую вероятностную меру, а вероятность события E вычисляется как отношение его размера к размеру Ω; то есть в этом частном случае Pr[E] = |E|/|Ω| Дополняющее событие
будет обозначаться Ω—E; заметим, что ![]()
Таким образом, точки в пространстве выборки и соответствующие им вероятности образуют полное описание рассматриваемой системы; мы собираемся вычислять вероятности событий — подмножеств пространства выборки. Скажем, для представления одного броска “правильной” монетки можно определить пространство выборки Ω = {heads, tails} и присвоить p(heads) = p(tails) = 1/2. Чтобы смоделировать несимметричную монетку, в которой “орел” выпадает вдвое чаще “решки”, достаточно определить вероятностные меры p(heads) = 2/3 и p(tails) = 1/3. Даже в этом простом примере важно заметить, что определение вероятностных мер является частью задачи; мы указываем, симметрична монетка или нет, при определении условий, а не выводим это из неких дополнительных данных.
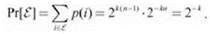
Рассмотрим более сложный пример, который можно было бы назвать задачей выбора идентификаторов. Допустим, в распределенной системе существуют n процессов p1, p2, ..., pn, каждый из которых выбирает для себя случайный идентификатор из пространства всех k-разрядных строк. Каждый процесс выбирает свой идентификатор одновременно с другими процессами, поэтому решения принимаются независимо. Если рассматривать каждый идентификатор как элемент, выбираемый из множества {0, 1, 2, ..., 2k - 1} (рассматривая числовое значение идентификатора как число в двоичной записи), пространство выборки Ω можно представить как множество всех n-кортежей целых чисел из диапазона от 0 до 2k - 1. В этом случае пространство выборки состоит из (2k)n = 2kn точек, каждая из которых имеет вероятностную меру 2-kn.
Предположим, нас интересует вероятность того, что процессы р1 и р2 выберут одинаковые идентификаторы. Это событие E представляется подмножеством, состоящим из всех n-кортежей из Ω с совпадающими первыми двумя координатами. Количество таких n-кортежей равно 2k(n - 1); для координат с 3 по n можно выбрать любое значение, затем для координаты 2 тоже выбирается любое значение, но при выборе координаты 1 свобода полностью отсутствует. Таким образом, получаем
![]()
Конечно, это соответствует нашим интуитивным представлениям о вероятности: для процессар2 можно выбрать любой идентификатор, после чего для процесса р1 останется всего 1 вариант с совпадением имен из 2k. Стоит заметить, что эти рассуждения всего лишь компактно описывают приведенные выше вычисления.
Условная вероятность и независимость
Если рассматривать вероятность события E как шанс на то, что событие Е произойдет, также может возникнуть вопрос о его вероятности при наличии дополнительной информации. Для другого события F с положительной вероятностью условная вероятностьE для заданного F определяется как
![]()
Это определение также интуитивно понятно, потому что оно ищет ответ на следующий вопрос: какую часть пространства выборки, состоящего из F событие, о наступлении которого нам “известно”), занимает E?
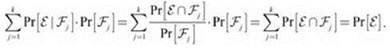
Условные вероятности часто используются при анализе Рr[E] для некоторого сложного события E. Предположим, каждое из событий F1, F2, ..., Fk имеет положительную вероятность, и все эти события образуют разбиение пространства выборки; другими словами, каждый результат в пространстве выборки принадлежит ровно одному из них, так что
Теперь предположим, что значения Рr[Fj] известны и мы также можем определить Рr[e | Fj] для всех j = 1, 2, ..., k. Следовательно, вероятность события E можно определить в предположении о том, что произошло любое из событий Фj. Тогда Рr[E] вычисляется по следующей простой формуле:
![]()
Чтобы обосновать эту формулу, развернем ее правую часть:
![]()
Независимые события
Два события называются независимыми, если информация об исходе одного из них не влияет на оценку правдоподобия другого. Например, одно из конкретных определений может выглядеть так: события E и F объявляются независимыми, если Рr[E | F] = Рr[E] и Рr[F | E] = Рr[F]. (Будем считать, что оба события имеют положительную вероятность; в противном случае понятие независимости интереса не представляет.) Если выполняется одно из этих двух равенств, то должно выполняться и второе, по следующей причине: если Рr[E | F] = Рr[E], то
![]()
а значит, Рr[E ∩ F] = Рr[E] ∙ Pr[F], из чего также следует другое равенство.
Как выясняется, немного проще принять эту эквивалентную формулировку в качестве рабочего определения независимости. Формально события E и F называются независимыми, если Рr[E ∩ F] = Рr[E] ∙ Pr[F].
Формулировка с произведением приводит к следующему естественному обобщению. Совокупность событий Е1, Е2, ..., Еп называется независимой, если для каждого набора индексов I ⊆ {1, 2, ..., n}
![]()
Важно заметить следующее: чтобы проверить большое множество событий на независимость, недостаточно убедиться в том, что каждая пара независима. Предположим, мы бросаем три независимые симметричные монетки: если Еi — событие выпадения “орла” на i-й монетке, то события Е1, Е2, Е3 независимы и каждое из них имеет вероятность 1/2. Теперь обозначим Aсобытие “на монетках 1 и 2 выпали одинаковые значения”; B — событие “на монетках 2 и 3 выпали одинаковые значения”; C — событие “на монетках 1 и 3 выпали разные значения”. Легко убедиться в том, что каждое из этих событий имеет вероятность 1/2, а пересечение любых двух событий имеет вероятность 1/4. Таким образом, любая пара событий, выбранная из A, B, C, независима. При этом множество все трех событий A, B, C независимым не является, так как Pr[A ∩ B ∩ C] = 0.
Граница объединения
Предположим, имеется множество событий Е1, Е2, ..., Еn и нас интересует вероятность наступления каких-либо из этих событий; другими словами, нас интересует вероятность
Если все события являются попарно непересекающимися, то вероятностная мера их объединения попросту формируется из отдельных вкладов каждого события.
(13.49) Допустим, имеются события Е1, Е2, ..., Еn, такие что Еi ∩ Еj = Ф для каждой пары. Тогда
![]()
В общем случае множество событий Е1, Е2, ..., Еn может содержать достаточно сложные перекрытия. В таком случае равенство (13.49) уже не выполняется; из-за перекрытий между событиями вероятностная мера точки, которая учитывается один раз в левой части, будет учтена один или более раз в правой части (рис. 13.5). Это означает, что для общего множества событий равенство в (13.49) ослабляется до неравенства; и этот факт является содержанием границы объединения. Формулировка границы объединения уже приводилась в виде (13.2), но здесь мы приведем ее снова для сравнения с (13.49).
(13.50) (Граница объединения) Для заданных событий Е1, Е2, ..., Еn имеем ![]()

Рис. 13.5. Граница объединения: вероятность объединения максимизируется для неперекрывающихся событий
Несмотря на безобидный внешний вид, граница объединения оказывается неожиданно мощным инструментом для анализа рандомизированных алгоритмов. Ее мощь в основном обусловлена одним часто используемым приемом анализа рандомизированных алгоритмов. Если рандомизированный алгоритм должен выдавать правильный результат с высокой вероятностью, мы сначала определяем множество “плохих событий” Е1, Е2, ..., Еn со следующим свойством: если ни одно из плохих событий не произошло, то алгоритм выдает правильный ответ. Другими словами, если обозначить F событие неудачи при выполнении алгоритма, то
![]()
Точно вычислить вероятность объединения сложно, поэтому мы применяем границу объединения и приходим к следующему выводу:
![]()
Итак, если алгоритм действительно приводит к успеху с очень высокой вероятностью и плохие события были тщательно выбраны, то каждая из вероятностей Рr[Ei] будет настолько мала, что малой будет даже их сумма (а следовательно, и наша завышенная оценка вероятности неудачи). В этом заключается вся суть происходящего: сложное событие (неудача при выполнении алгоритма) раскладывается на множество простых событий, вероятности которых легко вычисляются.
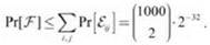
Простой пример поможет лучше понять рассматриваемую стратегию. Вспомните задачу выбора идентификаторов, описанную ранее в этом разделе, в которой группа процессов пытается выбрать случайный идентификатор. Предположим, в системе существует 1000 процессов, каждый из которых выбирает 32-разрядный идентификатор, и нас интересует вероятность того, что двум процессам будут назначены одинаковые идентификаторы. Можно ли утверждать, что такое стечение обстоятельств маловероятно? Для начала обозначим это событие F. Хотя точно вычислить Рr[F] не так уж и сложно, проще определить границу. Событие F в действительности представляет собой объединение
“атомарных” событий; это события Еij, в которых процессам рi и рj назначаются одинаковые идентификаторы. Легко убедиться в том, что
Для любого
что было обосновано в одном из предыдущих примеров. Применяя границу объединения, получаем
![]()
Значение
не больше полумиллиона, а 232 (немногим более) 4 миллиардов, так что вероятность не превышает ![]()
Бесконечные пространства выборки
До сих пор мы имели дело только с конечными вероятностными пространствами. Тем не менее в некоторых разделах этой главы рассматриваются ситуации, в которых случайный процесс может выполняться сколь угодно долго и не может быть нормально описан пространством выборки конечного размера. Для таких ситуаций необходимо определить более общую концепцию вероятностного пространства. Описание содержит много технических подробностей, и отчасти мы приводим его ради полноты: хотя некоторые из рассматриваемых примеров требуют использования бесконечных пространств выборки, ни в одном из них не задействована вся мощь формальных конструкций, описанных в этом разделе.
При переходе к бесконечным пространствам выборки приходится проявлять большую осторожность при определении вероятностной функции. Мы не можем просто связать с каждой точкой пространства выборки Ω вероятностную меру, а затем вычислить вероятность нужной совокупности суммированием. По причинам, в которые мы не будем углубляться, даже если просто разрешить рассматривать каждое подмножество Ω как событие, вероятность которого можно вычислить, это может привести к неприятностям. Обобщенное вероятностное пространство состоит из трех компонентов:
(i) Пространство выборки Ω.
(ii) Набор S подмножеств Ω; только для этих событий разрешено вычисление вероятностей.
(iii) Вероятностная функция Pr, отображающая события из S на вещественные числа из диапазона [0,1].
Совокупность S допустимых событий может быть любым семейством множеств, удовлетворяющим следующим основным свойствам замыканий: пустое множество и полное пространство выборки Ω принадлежат S; если E ∈ S, то
(замыкание в отношении дополнения), и если E1, E2, E3, ... ∈ S, то
(замыкание в отношении счетного объединения). Вероятностной функцией Prможет быть любая функция из S в [0,1], удовлетворяющая следующим базовым свойствам непротиворечивости:
и граница объединения для непересекающихся событий (13.49) должна выполняться даже для счетных объединений — если E1, E2, E3, ... ∈ S являются попарно непересекающимися, то
![]()
Так как Pr уже не строится на базе более общего понятия вероятностной меры, (13.49) из теоремы превращается в обязательное свойство Pr.
Как правило, бесконечные пространства выборки возникают в нашем контексте по следующей причине: имеется алгоритм, который принимает серию случайных решений из фиксированного конечного множества возможностей; а поскольку алгоритм может выполняться сколь угодно долго, он может принять произвольно большое количество решений. По этой причине мы рассматриваем пространства выборки Ω, которые строятся следующим образом: мы начинаем с конечного множества символов X = {1, 2, ..., n} и назначаем вес w(i) каждому символу i ∈ X. Затем Ω определяется как множество всех бесконечных последовательностей символов из X (с возможными повторениями). Итак, типичный элемент Ω имеет вид x1, x2, х3, ..., где все хi ∈ X.
Простейший тип событий, интересующих нас, определяется так: точка ω ∈ Ω начинается с заданной конечной последовательности символов. Таким образом, для конечной последовательности σ = x1, x2 ... xs длины s префиксное событие, связанное с σ, определяется как множество всех точек Ω, для которых первые s символов образуют последовательность σ. Обозначим это событие Еσи определим его вероятность ![]()
Доказать следующий факт определенно нелегко.
(13.51) Существует вероятностное пространство (Ω, S, Pr), удовлетворяющее необходимым условиям замыкания и непротиворечивости, для которого Ω — пространство выборки, определенное выше, Eσ ∈ S для каждой конечной последовательности σ, и ![]()
Руководствуясь этим фактом, замыканием S в отношении дополнения и счетного объединения, а также непротиворечивостью Pr в отношении этих операций, мы можем вычислить вероятности практически любого “разумного” подмножества Ω.
В бесконечном пространстве Ω с событиями и вероятностями, определенными так, как показано выше, встречается феномен, не типичный для конечных пространств выборки. Предположим, множество X, используемое для генерирования Ω, равно {0,1}, а w(0) = w(1) = 1/2. Пусть Е — множество, состоящее из всех последовательностей, содержащих как минимум один элемент, равный 1. (Будем считать, что в Е не входит последовательность из одних нулей.) Заметим, что Е является событием в S, так как σi можно определить, как последовательность из i - 1 нулей, за которым следует 1, и что
Кроме того, все события Eσi являются попарно непересекающимися, поэтому
![]()
А теперь феномен, о котором упоминалось выше: событие может иметь вероятность 1 даже в том случае, если оно не равно всему пространству выборки Ω. Аналогичным образом
то есть событие может иметь вероятность 0 даже в том случае, если оно не равно пустому множеству. В этих результатах нет ничего странного; в некотором смысле они необходимы, если мы хотим, чтобы вероятности, определяемые на бесконечных множествах, имели смысл. Просто в таких ситуациях необходимо отделять концепцию события с вероятностью 0 от интуитивного представления о том, что событие “невозможно”.