Алгоритмы - Разработка и применение - 2016 год
Свертки и быстрое преобразование Фурье - Разделяй и властвуй
В последнем примере этой главы мы покажем, как базовое рекуррентное отношение из (5.1) применяется при разработке алгоритма быстрого преобразования Фурье — алгоритма с широким диапазоном практических применений.
Задача
Даны два вектора a = (a0, a1, ..., an-1) и b = (b0, b1, ..., bn-1). Существует много стандартных способов их объединения: например, вычисление суммы с получением вектора a + b = (a0 + b0, a1+ b1, ..., an-1 + bn-1) или вычисление скалярного произведения в форме вещественного числа a ∙ b = a0b0 + a1b1 + ... + an-1bn-1. (По причинам, которые вскоре станут ясны, векторы в этом разделе удобнее записывать с координатами, которые индексируются с 0, а не с 1.)
Один из способов объединения векторов, находящий очень важные практические применения (хотя и не всегда упоминаемый во вводном курсе линейной алгебры), — свертка a * b. Свертка двух векторов длины n (таких, как a и b) представляет собой вектор с 2n - 1 координатами, в котором координата k равна
![]()
Другими словами,
![]()
Когда это определение видишь впервые, понять его смысл нелегко. Представьте себе матрицу n х n, в которой элемент (i, j) равен ab:

Координаты вектора свертки вычисляются суммированием по диагоналям. Стоит отметить, что, в отличие от векторной суммы и скалярного произведения, свертка легко обобщается на векторы разной длины а = (а0, ар ..., am-1) и b = (b0, b1 ..., bn-1). В этом более общем случае a * b определяется как вектор с m + n - 1 координатами, в котором координата k равна
![]()
И снова можно представить происходящее с помощью матрицы произведений aibj; матрица стала прямоугольной, но координаты по-прежнему могут вычисляться суммированием по диагоналям. (В дальнейшем условие i < m, j < n в сверточном суммировании явно упоминаться не будут, поскольку из контекста понятно, что сумма может вычисляться только по определенным элементам.)
Определение свертки понятно не сразу, но это не все: также не очень понятно, для чего нужна такая операция. В каких обстоятельствах может потребоваться вычисление свертки двух векторов? Однако свертка встречается в множестве самых разнообразных контекстов. Приведем хотя бы несколько примеров.
♦ Первый пример (который также доказывает, что свертка уже встречалась нам в старших классах школы, хотя и неявно) — умножение многочленов. Любой многочлен A(x) = a0 + a1x + a2x2 + ... am-1xm-1 может быть естественно представлен в виде вектора коэффициентов a = (a0, a1, ..., am-1). Теперь для двух многочленов A(x) = a0 + a1x + a2x2 + ... am-1xm-1 и B(x) = b0 + b1х + b2х2+ ... bn-1хn-1 рассмотрим многочлен C(x) = A(x)B(x), равный их произведению. В многочлене C(x) коэффициент при члене xk равен
![]()
Иначе говоря, вектор коэффициентов C(x) вычисляется как свертка векторов коэффициентов A(x) и B(x).
♦ Пожалуй, самое важное практическое применение сверток лежит в области обработки сигналов. Эта тема сама по себе заслуживает отдельного учебного курса, поэтому мы ограничимся простым примером, который дает общее представление о том, где возникают свертки.
Допустим, имеется вектор a = (a0, a1, ..., am-1), который представляет серию измерений (температура, данные биржевых котировок и т. д.), зафиксированных в m последовательных временных точках. Такие серии часто содержат высокий уровень шума из-за ошибок измерения или случайных отклонений, поэтому к ним часто применяется операция “сглаживания”: каждое значение atусредняется со взвешенной суммой соседей на k позиций слева и справа в последовательности; весовые коэффициенты быстро убывают при увеличении расстояния от ai. Например, при гауссовом сглаживании ai заменяется на
![]()
с некоторым параметром “ширины” к и значением Z, выбранным просто для нормализации суммы весов в среднем до 1. Существуют некоторые проблемы с граничными условиями (например, что делать, если i - k < 0 или i + k > m?), но они могут решаться игнорированием первых и последних к элементов из сглаженного сигнала или масштабированием по другой схеме, компенсирующей недостающие элементы.
Чтобы понять, как это связано с операцией свертки, можно рассматривать операцию сглаживания следующим образом. Сначала определяется “маска”
![]()
состоящая из весов, которые должны использоваться при усреднении каждой точки. (Например,
для случая гауссова сглаживания). Затем маска последовательно позиционируется так, чтобы она была совмещена по центру с каждой возможной точкой в серии a; для каждого варианта позиционирования вычисляется взвешенное среднее. Иначе говоря, аi заменяется на ![]()
Последнее выражение фактически является сверткой; чтобы это стало очевидно, нужно лишь немного изменить запись. Определим b = (b0, b1, ..., b2k), где
Нетрудно убедиться в том, что с этим определением сглаженное значение вычисляется в виде
![]()
Другими словами, сглаженная серия представляет собой результат свертки исходного сигнала и обращенной маски (с некоторыми несуществующими координатами в начале и в конце).
♦ Последний пример — задача объединения гистограмм. Предположим, по результатам социологического опроса были получены две гистограммы: с информацией о ежегодном доходе всех мужчин и женщин в выборке. Нужно построить новую гистограмму, где для каждого k будет отображаться количество пар (M, W), для которых у мужчины M и женщины W суммарный доход составляет k. Задача представляет собой свертку. Первую гистограмму можно записать в виде вектора a = (а0, ..., am-1), который показывает, что существуют а. мужчин с ежегодным доходом, равным i. Аналогичным образом вторая гистограмма записывается в виде вектора b = (b0, ..., bn-1). Введем обозначение сk для количества пар (m, w) с суммарным доходом k; это количество способов, которыми можно выбрать мужчину с доходом аi и женщину с доходом bj для любой пары (i, j) с i + j = k. Другими словами,
![]()
так что объединенная гистограмма с = (с0, ..., cm+n-2) представляет собой простую свертку a и b. (С использованием вероятностной терминологии, которая будет раскрыта в главе 13, этот пример может рассматриваться как применение свертки в качестве способа вычисления распределения суммы двух независимых случайных переменных.)
Вычисление свертки
Разобравшись с тем, для чего нужна свертка, перейдем к задаче ее эффективного вычисления. Для простоты будем рассматривать случай векторов равной длины (то есть m = n), хотя все сказанное может быть напрямую применено к случаю векторов разной длины.
Вычисление свертки — тема более тонкая, чем кажется на первый взгляд. В конце концов, из определения свертки следует абсолютно законный способ ее вычисления: для каждого к вычисляется сумма
![]()
а результат используется как значение координаты k. Проблема в том, что при таком прямолинейном способе вычисления свертки приходится вычислять произведение aibj для каждой пары (i, j), а это означает Ө(n2) арифметических операций. Время выполнения O(n2) для вычисления свертки выглядит естественно, так как в определении задействованы O(n2) умножений aibj. Однако неочевидно, что вычисление свертки обязательно должно выполняться за квадратичное время, поскольку и ввод и вывод имеют только размер O(n).
Возможно ли разработать алгоритм, который обходит квадратичный размер определения свертки и вычисляет его другим, более умным способом?
Как ни удивительно, это возможно. Ниже описан метод, который вычисляет свертку двух векторов с использованием только O(n log n) арифметических операций. В его основу заложен эффективный прием, называемый быстрым преобразованием Фурье(Fast Fourier Transform).
Быстрое преобразование Фурье широко применяется для анализа последовательностей числовых значений; быстрое вычисление свертки, которым мы будем заниматься здесь, — всего лишь одно из таких применений.
Разработка и анализ алгоритма
Чтобы преодолеть ограничение квадратичного времени для свертки, мы воспользуемся связью между сверткой и умножением двух многочленов, как в первом из рассмотренных выше примеров. Но вместо того, чтобы использовать свертку как примитив при умножении многочленов, мы будем использовать эту связь в обратном направлении.
Предположим, даны векторы a = (a0, a1, ..., an-1) и b = (b0, b1, ..., bn-1). Будем рассматривать их как многочлены A(x) = a0 + a1x + a2x2 + ... an-1xn-1 и B(x) = b0 + b1x + b2x2 + ... bn-1xn-1 и посмотрим, как вычислить их произведение C(x) = A(x)B(x) за время O(n log n). Если c = (c0, c1, ..., c2n-2) — вектор коэффициентов C, то, как было сказано выше, c в точности представляет собой свертку a * b, поэтому нужный ответ можно напрямую получить из коэффициентов C(x).
Вместо того чтобы перемножать A и B в алгебраическом виде, мы можем рассматривать их как функции переменной x и перемножим так, как описано ниже.
(i) Сначала выбираем 2n значений x1, x2, ..., x2n и вычисляем A(xj) и B(xj) для каждого j = 1, 2, ..., 2n.
(ii) Теперь C(xj) легко вычисляется для каждого j как произведение двух чисел A(xj) и B(xj).
(iii) Остается восстановить C по значениям x1, x2, ..., x2n. Для этого мы воспользуемся одним фундаментальным свойством многочленов: любой многочлен степени d может быть восстановлен по своим значениям для произвольного набора из d + 1 и более точек. Этот механизм, называемый полиномиальной интерполяцией, более подробно рассматривается ниже. А пока заметим, что для многочленов A и B, степень которых не превышает n - 1, степень произведения C не превышает 2n - 2, что позволяет реконструировать многочлен по значениям C(x1), C(x2), ..., C(x2n), вычисленным на шаге (ii).
Этот метод умножения многочленов имеет как положительные аспекты, так и недостатки. Сначала о хорошем: шаг (ii) требует только O(n) арифметических операций, поскольку в нем задействовано умножение O(n) чисел. Но на шагах (i) и (iii) ситуация выглядит уже не столь радужно. В частности, вычисление многочленов A и B для одного значения требует Ω(n) операций, а наш план требует выполнения 2n таких вычислений. Казалось бы, мы снова возвращаемся к квадратичному времени.
Чтобы эта идея заработала, необходимо найти множество из 2n значений x1, x2, ..., x2n, которые связаны определенным образом — например, для которых работа по вычислению A и B может быть повторно использована в разных вычислениях. Множеством, для которого этот способ отлично работает, является множество комплексных корней из единицы.
Комплексные корни из единицы
На этой стадии необходимо вспомнить несколько фактов, касающихся комплексных чисел и их роли в решениях полиномиальных уравнений.
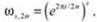
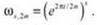
Нам известно, что комплексные числа могут рассматриваться как точки “комплексной плоскости”, оси которой соответствуют действительной и мнимой части числа. Комплексное число записывается в полярных координатах по отношению к этой плоскости в виде reθi, где еωi = -1 (и е2ωi = 1). Для положительного целого числа k полиномиальное уравнение xk = 1 имеет к разных комплексных корней, которые легко определяются. Каждое из комплексных чисел ωj,k = е2ωji/k (для j = 0, 1, 2, ..., k - 1) удовлетворяет этому уравнению, поскольку
![]()
А так как все эти числа различны, то и корни тоже различны. Эти числа называются корнями k-й степени из единицы. Их можно представить как множество из k точек, разделенных одинаковыми расстояниями на единичном круге комплексной

Рис. 5.9. Корни 8-й степени из единицы на комплексной плоскости
Для наших чисел x1, ..., x2n, для которых должны вычисляться A и B, мы выберем корни (2n)-Й степени из единицы. Стоит запомнить (хотя это и не обязательно для понимания алгоритма), что использование комплексных корней из единицы лежит в основе самого названия быстрого преобразования Фурье: представление многочлена P степени d его значениями для корней (d + 1)-й степени без единицы иногда называется дискретным преобразованием Фурье для P; “сердцем” нашей процедуры является метод ускорения этих вычислений.
Рекурсивная процедура вычисления многочлена
Мы хотим создать алгоритм рекурсивного вычисления A для каждого из корней (2n)-й степени из единицы, чтобы воспользоваться знакомым рекуррентным отношением из (5.1), а именно T(n) ≤ 2T(n/2) + O(n), где T(n) в данном случае обозначает количество операций, необходимых для вычисления многочлена степени n - 1 для всех корней (2N)-Й степени из единицы. Для простоты при описании алгоритма будем считать, что n является степенью 2.
Как разбить вычисление многочлена на две подзадачи равного размера? Воспользуемся полезным приемом: определим два многочлена Aeven(x) и Aodd(x), состоящих из четных и нечетных коэффициентов A соответственно. То есть
![]()
и
![]()
Простые алгебраические выкладки показывают, что
![]()
Итак, в нашем распоряжении появился способ вычисления A(x) с постоянным количеством операций через вычисление двух многочленов, степень каждого из которых равна половине степени A.
Теперь предположим, что каждый из многочленов Aeven и Aodd вычисляется для корней n-й степени из единицы. Эта задача в точности соответствует той, с которой мы сталкиваемся для A и корней (2n)-Й степени из единицы, за исключением того, что входные данные уменьшились вдвое: степень равна (n - 2)/2 вместо n - 1, а вместо 2n используются n корней. Следовательно, эти вычисления могут выполняться за время T(n/2) для каждого из многочленов Aeven и Aodd, с суммарным временем 2T(n/2).
Мы очень близко подошли к созданию рекурсивного алгоритма, который удовлетворяет условию (5.1) и обеспечивает желаемое время выполнения; остается лишь произвести вычисления A для корней (2n)-Й степени из единицы с использованием O(n) дополнительных операций. Но с учетом результатов рекурсивных вызовов для Aeven и Aodd это несложно. Рассмотрим один из этих корней из единицы
Величина ωj,2n2 равна
а следовательно, ωj,2n2 является корнем n-й степени из единицы. Таким образом, когда мы переходим к вычислениям
![]()
выясняется, что оба вычисления в правой части были выполнены на шаге рекурсии и A(ωj,2n) можно определить с постоянным количеством операций. Таким образом, выполнение этих операций для всех 2n корней из единицы означает O(n) дополнительных операций после двух рекурсивных вызовов, а следовательно, граница T(n) количества операций в самом деле удовлетворяет отношению T(n) ≤ 2T(n/2) + O(n). Та же процедура применяется для вычисления многочлена B для корней (2n)-Й степени из единицы, и это дает желаемую границу O(n log n) для шага (i) нашей структуры алгоритма.
Полиномиальная интерполяция
Мы уже видели, как вычислить A и B для множества всех корней (2n)-Й степени из единицы с использованием O(n log n) операций; и как объясняется выше, произведения
вычисляются за O(n) дополнительных операций. Таким образом, для завершения алгоритма умножения A и B необходимо выполнить шаг (iii) приведенной выше схемы с использованием O(n logп) операций для реконструкции C из значений корней (2п)-й степени из единицы.
В описании этой части алгоритма следует иметь в виду один важный момент: как выясняется, задача реконструкции C решается простым определением соответствующего многочлена (см. ниже D) и его вычислением для корней (2n)-й степени из единицы. Только что было показано, как это делается с использованием O(n log n) операций, поэтому мы делаем это снова, выполняя дополнительные O(n log n) операций; это приводит к завершению алгоритма.
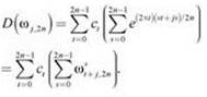
Рассмотрим многочлен
который нужно реконструировать по значениям C(ωs,2n) в корнях (2n)-й степени из единицы. Определим новый многочлен
где ds = C(ωs,2n). Теперь рассмотрим значения D(x) для корней (2n)-й степени из единицы.

по определению. Теперь вспомните, что
Используя этот факт и расширяя запись до
даже когда s ≥ 2n, мы получаем:

Чтобы проанализировать последнюю строку, мы воспользуемся тем фактом, что для каждого корня (2n)-й степени из единицы ω ≠ 1, имеем
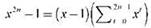
Это следует из того, что ω по определению является корнем х2n - 1= 0; так как
и ω ≠ 1, из этого следует, что ш также является корнем ![]()
Следовательно, единственная составляющая внешней суммы последней строки, отличная от 0, относится к ct, для которого ωt+j,2n = 1; а это происходит, если t + j кратно 2n, то есть если t = 2n - j. Для этого значения
Отсюда следует, что
Таким образом, вычисление многочлена D(x) в корнях (2n)-й степени из единицы дает коэффициенты многочлена C(x) в обратном порядке (и умноженные на 2n). Подведем итог:
(5.14) Для любого многочлена
и соответствующего многочлена
выполняется условие ![]()
Все вычисления значений D(ω2n-s,2n) выполняются за O(n log n) операций с использованием метода “разделяй и властвуй”, разработанного для шага (i).
На этом работа подходит к концу: мы реконструировали многочлен C по его значениям для корней (2n)-й степени из единицы, и коэффициенты C определяют координаты искомого вектора свертки c = a * b.
Итак, мы успешно продемонстрировали следующее:
(5.15) Использование быстрого преобразования Фурье для определения произведения многочленов C(x) позволяет вычислить свертку исходных векторов a и b за время O(n log n).