Информатика и ИКТ подготовка к ЕГЭ
Задачи синтеза и анализа переключательных схем - Построение алгебры высказываний - Краткий теоретический справочник
1. Анализ схем заключается в следующем: для данной схемы составляется соответствующая формула, которая на основании законов логики упрощается, и для неё строится новая, более простая схема, которая обладает теми же электрическими свойствами, что и исходная схема.
Пример. Дана схема (см. рис. 10).

Рис. 10.
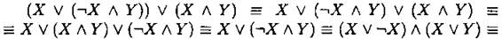
Запишем соответствующую ей формулу, последовательно выполняя равносильные преобразования:
![]()
![]()
Таким образом, исходная схема равносильна схеме, представленной на рисунке 11.

Рис. 11.
2. Синтез схем заключается в построении схем с заданными электрическими свойствами. Это делается так: на основании заданных электрических свойств строится формула алгебры высказываний, а по ней — соответствующая схема.
Пример. Актив студенческой группы, состоящий из трёх человек, желает применить электрическую схему для регистрации тайного голосования простым большинством голосов. Построим такую схему, чтобы каждый голосующий «за» нажимал свою кнопку, а каждый голосующий «против» не нажимал соответствующей кнопки. В случае принятия решения должна загореться сигнальная лампочка.
Решение. Пусть А, В, С обозначают соответственно высказывания «1-й "за"», «2-й "за"», «3-й "за"». Составим таблицу истинности формулы F(A, В, С), которой будет соответствовать искомая схема.
А |
В |
С |
F(A,B,C) |
1 |
1 |
1 |
1 |
1 |
1 |
0 |
1 |
1 |
0 |
1 |
1 |
1 |
0 |
0 |
0 |
0 |
1 |
1 |
1 |
0 |
1 |
0 |
0 |
0 |
0 |
1 |
0 |
0 |
0 |
0 |
0 |
Теперь способом, указанным в п. 3.7., составляем формулу:
![]()
И, наконец, составим схему, которая соответствует построенной формуле (см. рис. 12).

Рис. 12.
Полученную в этом примере схему можно упростить, осуществляя её анализ. Равносильными преобразованиями упрощаем формулу:

Упрощённая схема приведена на рисунке 13.

Рис. 13.