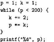
2
4) 10101012
А2. Четыре населенных пункта A, В, С, D соединены дорогами. Время проезда на машине из одного города в другой указано в таблице.
|
А
|
В
|
С
|
D
|
|
А
|
-
|
5
|
4
|
2
|
|
В
|
5
|
-
|
8
|
3
|
|
С
|
4
|
8
|
-
|
4
|
|
D
|
2
|
3
|
4
|
-
|
Определите маршрут, по которому, выезжая из пункта А, турист посетит все города за наименьшее время пути.
1) ADBC
2) ABDC
3) ACDB
4) ADCB
А3. Дан фрагмент таблицы истинности выражения F.
|
X
|
Y
|
Z
|
F
|
|
0
|
0
|
0
|
0
|
|
0
|
0
|
1
|
1
|
|
1
|
0
|
1
|
1
|
Укажите, какое из следующих выражений может соответствовать F.

А4. Маска имени файла представляет собой последовательность букв, цифр и прочих допустимых в именах файлов символов, в которой также могут встречаться следующие символы: символ «?» (вопросительный знак) означает ровно один произвольный символ, символ «*» (звёздочка) означает любую последовательность символов произвольной длины, в том числе «*» может задавать и пустую последовательность.
Для маски *ra?.*t* укажите, какое из указанных имён файлов ей удовлетворяет.
1) array.txt
2) arabic.html
3) trap.exe
4) read.html
А5. Четырёхзначное число, не содержащее в своей записи нулей, строится по следующему алгоритму: 1) на первом месте — нечётная цифра; 2) на третьем — чётная, которая на 3 больше цифры, стоящей на первом месте; 3) на последнем — чётная, меньшая первой на 1; 4) на втором месте — цифра вдвое больше первой. Какое из чисел создано по этому правилу?
1) 124.
2) 578.
3) 362.
4) 3662
А6. Ниже приведены фрагменты таблиц базы данных, содержащей информацию о студентах и о посещаемых ими предметных курсах.
|
ID_S
|
Предмет
|
|
ID_S
|
ФИО
|
Курс
|
Группа
|
|
335
|
Физика
|
|
335
|
Акимов С.Ю.
|
3
|
2
|
|
335
|
Информатика
|
|
337
|
Бербин К.Н.
|
2
|
1
|
|
340
|
Информатика
|
|
340
|
Волновая А.С.
|
4
|
1
|
|
342
|
Правоведение
|
|
341
|
Донецкий П.А.
|
4
|
2
|
|
344
|
Правоведение
|
|
344
|
Жилина Ю.Г.
|
3
|
1
|
|
344
|
Информатика
|
|
345
|
Мамин Е.Н.
|
4
|
2
|
|
345
|
Информатика
|
|
349
|
Оришко Г.И.
|
4
|
1
|
|
349
|
Базы данных
|
|
По данным этих таблиц определите, сколько студентов первых групп посещают предметный курс «информатика».
1) .
2) .
3) .
4) 4
А7. Дан фрагмент электронной таблицы:
|
А
|
В
|
с
|
|
1
|
4
|
6
|
2
|
|
2
|
8
|
3
|
4
|
|
3
|
=А1*А2+$С1
|
|
|
Ячейку АЗ скопировали в ячейку В3. Какое числовое значение получили в В3?
1) 1.
2) 2.
3) 3.
4) 34
А8. Для кодирования цвета фона web-страницы используется атрибут bgcolor="#XXXXXX", где в кавычках заданы значения интенсивности цветовых компонент в 24-битной RGB модели. Какой цвет фона будет у страницы, если задан тэг <body bgcolor="#FFFFOO">?
1) фиолетовый
2) голубой
3) жёлтый
4) чёрный
А9. Для 5 букв русского алфавита заданы их двоичные коды (для некоторых букв коды состоят из двух бит, для некоторых — из трёх). Эти коды представлены в таблице
|
А
|
В
|
К
|
Р
|
Н
|
|
01
|
000
|
11
|
001
|
10
|
Из четырёх полученных сообщений в этой кодировке только одно прошло без ошибки и может быть корректно декодировано. Найдите его.
1) 110100101001001.
2) 1101001010010011
3) 110100101000011.
4) 1101001010001100
А10. Для какого из указанных значений у высказывание (у > 11) v ¬(18 > у) ложно?
1) 1.
2) 1.
3) 1.
4) 17
А11. Идентификационный номер состоит из 8 символов. В качестве первого символа используют 26 различных букв, остальные символы — десятичные цифры (пример номера Z1234567). Каждый такой номер в компьютерной программе записывается минимально возможным и одинаковым целым количеством байтов, при этом для первого символа отводится один байт, а каждая цифра кодируется одинаковым, минимально возможным количеством бит. Определите объём памяти, отводимый этой программой для записи 50-ти номеров.
1) 250 бай.
2) 200 бай.
3) 360 бай.
4) 400 байт
А12. Дан фрагмент программы, осуществляющий поиск в массиве длины n (все элементы массива различны).
|
Бейсик
|
Паскаль
|
|

|

|
|
Алгоритмический язык
|
Си
|
|

|
|
После выполнения программы в переменной х будет храниться
1) значение максимального элемента массива
2) значение минимального элемента массива
3) индекс элемента массива, имеющего максимальное значение
4) индекс элемента массива, имеющего минимальное значение
А13. Система команд исполнителя РОБОТ, «живущего» в прямоугольном лабиринте на клетчатой плоскости: вверх, вниз, влево и вправо. При выполнении любой из этих команд РОБОТ перемещается на одну клетку соответственно вверх, вниз, влево, вправо. Четыре команды проверяют истинность условия отсутствия стены у каждой стороны той клетки, где находится РОБОТ:
слева свободно, справа свободно, сверху свободно, снизу свободно.
Цикл пока <условие> команда выполняется, пока условие истинно, иначе происходит переход на следующую строку. Если РОБОТ начнёт движение в сторону стены, он разрушится и программа прервется.
РОБОТ выполняет программу:
Начало
пока <слева свободно> вверх
пока <сверху свободно вправо
пока <справа свободно> вниз
пока <снизу свободно> влево
Конец
Сколько клеток приведённого лабиринта (см. рис. 49) соответствуют требованию: выполнив предложенную программу, начиная с указанной клетки, РОБОТ уцелеет и остановится в той же клетке, с которой он начал движение?

Рис. 49.
1) .
2) .
3) .
4) 0
Часть 2
В1. Автоматическое устройство осуществило перекодировку информационного сообщения на русском языке, первоначально записанного в 16-битном коде Unicode, в 8-битную кодировку КОИ-8. При этом информационное сообщение уменьшилось на 240 бит. Какова длина сообщения в символах?
В2. Исполнитель РОБОТ ходит по клеткам бесконечной клетчатой доски, переходя по одной из команд вверх, вниз, вправо, влево в соседнюю клетку в указанном направлении. РОБОТ выполнил следующую программу:
вправо
вверх
вверх
влево
влево
вниз
вправо
вправо,
в результате которой перешёл из начальной клетки а в конечную клетку b. Укажите наименьшее возможное число команд в программе, приводящей РОБОТА из клетки а в клетку b.
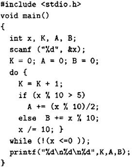
В3. Определите значение переменной X после выполнения фрагмента программы:
|
Бейсик
|
Алгоритмический язык
|
|

|

|
|
Паскаль
|
Си
|
|

|

|
В4. Строки (цепочки символов) строятся по следующему правилу: сначала задаётся первая строка, а затем, если её длина меньше 10, то в следующую строку её записывают дважды и приписывают в начале букву A, а если больше 10 — убирают первую букву и записывают дважды полученную строку. Затем к получившейся строке применяют то же правило. Какая буква будет стоять на 6-м месте 4-й строки, если начальная строка АВА?
В5. Дан фрагмент электронной таблицы:
|
А
|
В
|
|
1
|
2
|
=МАКС(А1:А4)
|
|
2
|
4
|
—МАКС(А1:А3)
|
|
3
|
|
=СРЗНАЧ(А3;А4)-4
|
|
4
|
12
|
=А1*4-А3
|
Какое число должно быть записано в ячейке АЗ, чтобы построенная после выполнения вычислений диаграмма по значениям диапазона ячеек В1:В4 соответствовала рисунку 50?

Рис. 50.
В6. Определите значение переменной s после выполнения фрагмента программы:
|
Бейсик
|
Алгоритмический язык
|
|

|

|
|
Паскаль
|
Си
|
|

|

|
В7. Ниже на 4-х языках записан алгоритм. Получив на вход число х, этот алгоритм печатает три числа К, А и В. Укажите наибольшее из таких чисел х, при вводе которых алгоритм печатает сначала 4, а потом 4 и 8.
|
Бейсик
|
Паскаль
|
|

|

|
|
Алгоритмический язык
|
Си
|
|

|

|
В8. Укажите основание системы счисления, в которой число 104210 записывается как 100102.
B9. На рисунке 51 изображена схема дорог между населёнными пунктами и обозначены расстояния (в км) между ними. (Населённые пункты обозначены латинскими буквами.) Найдите длину (в км) кратчайшего пути из A в G.

Рис. 51.
В10. Два компьютера соединены нуль-модемным кабелем, который обеспечивает скорость передачи данных 150 Кбит/с. Передача данных с одного компьютера на другой заняла 1,4 мин.
Определите, сколько страниц содержал переданный текст, если известно, что он был представлен в кодировке Unicode, а на одной странице 2400 символов.
В11. Составьте допустимый IP-адрес из следующих фрагментов. Ответ запишите как цепочку соответствующих букв.
|
А
|
В
|
С
|
D
|
Е
|
F
|
|
62
|
192
|
256.
|
193.2
|
.127
|
4.111
|
В12. На языке запросов поискового сервера для обозначения логической операции «ИЛИ» используется символ |, а для логической операции «И» — символ &.
Поисковый сервер в автоматическом режиме составил таблицу ключевых слов для сайтов некоторого сегмента сети. Вот её фрагмент:
|
Ключевое слово
|
Количество страниц, для которых данное слово является ключевым
|
|
Валюта
|
290
|
|
Кредит
|
230
|
|
Рынок
|
350
|
Сколько страниц будет найдено по запросу Рынок & (Валюта | Кредит), если по запросу Рынок | Валюта было найдено 500 страниц, по запросу Кредит & (Рынок | Валюта) — 90, а по запросу Валюта | Кредит — 460 страниц?
В13. У исполнителя Вычислитель две команды, которым присвоены номера:
1. прибавь 3
2. остаток от деления на 5
Выполняя первую из них, Вычислитель прибавляет к числу на экране 3, а выполняя вторую, возвращает остаток от деления на 5. Программа для Вычислителя — это последовательность команд. Сколько различных чисел можно получить из числа 1 в результате выполнения программы, которая содержит ровно 4 команды?
В14. Определите, какое число будет напечатано в результате выполнения следующего алгоритма (для Вашего удобства алгоритм представлен на четырёх языках):
|
Алгоритмический язык
|
Си
|
|

|

|
|
Бейсик
|
Паскаль
|
|

|

|
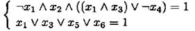
В15. Сколько существует различных наборов значений логических переменных x1, x2,..., x5, x6, которые удовлетворяют всем перечисленным ниже условиям?

В ответе не нужно перечислять все различные наборы значений x1, x2,..., x5, x6, при которых выполнена данная система равенств. В качестве ответа нужно указать количество таких наборов.
Часть 3
С1. Требовалось написать программу, при выполнении которой с клавиатуры считываются координаты точки на плоскости (х, у — действительные числа) и проверяется принадлежность этой точки заштрихованной области, включая её границы (см. рис. 52).

Рис. 52.
Программист торопился и написал программу неправильно.
|
Бейсик
|
Паскаль
|
|

|

|
|
Алгоритмический язык
|
Си
|
|

|

|
Последовательно выполните следующее.
1. Перерисуйте и заполните таблицу, которая показывает, как работает программа при аргументах, принадлежащих различным областям (А, В, С, D, Е, F, G и Н). Считать, что все области, кроме заштрихованных, не содержат точек своих границ (см. рис. 53).

Рис. 53.
В столбцах условий укажите «да», если условие выполнится, «нет», если условие не выполнится, «—» (прочерк), если условие не будет проверяться, «не изв.», если программа ведёт себя по-разному для разных значений, принадлежащих данной области. В столбце «Программа выведет» укажите, что программа выведет на экран. Если программа ничего не выводит, напишите «—» (прочерк). Если для разных значений, принадлежащих области, будут выведены разные тексты, напишите «не изв.». В последнем столбце укажите «да» или «нет».
2. Укажите, как нужно доработать программу, чтобы не было случаев её неправильной работы. (Это можно сделать несколькими способами, достаточно указать любой способ доработки исходной программы.)
|
Область
|
Усл. 1
х2 + у2 ≤ 4
|
Усл. 2
y ≥ 0
|
Усл. 3
y ≥ х
|
Программа выведет
|
Область
обрабатывается верно
|
|
А
|
|
|
|
|
|
|
В
|
|
|
|
|
|
|
С
|
|
|
|
|
|
|
D
|
|
|
|
|
|
|
Е
|
|
|
|
|
|
|
F
|
|
|
|
|
|
|
G
|
|
|
|
|
|
|
Н
|
|
|
|
|
|
С2. Дана матрица (двумерный массив) размером 20 х 20. Каждый элемент может принимать целочисленные значения от 0 до 100. Опишите на русском языке или на одном из языков программирования алгоритм, который позволит найти наименьшую из сумм элементов каждой строки. Исходные данные объявлены так, как показано ниже. Запрещается использовать переменные, не описанные ниже, но разрешается не использовать часть из них.
|
Паскаль
|
Бейсик
|
|

|

|
|
СИ
|
Естественный язык
|
|

|
Объявляем двумерный массив А размером 20 на 20. Объявляем целочисленные переменные I,J, MIN, S. В цикле от 1 до 20 организуем внутренний цикл от 1 до 20, в котором вводим элементы массива А....
|
В качестве ответа необходимо привести фрагмент программы (или описание алгоритма на естественном языке), который должен находиться на месте многоточия. Вы можете записать решение также на другом языке программирования (укажите название и используемую версию языка программирования, например, Borland Pascal 7.0) или в виде блок-схемы. В этом случае вы должны использовать переменные, аналогичные переменным, используемым в алгоритме, записанном на естественном языке, с учётом синтаксиса и особенностей используемого вами языка программирования.
С3. У исполнителя Х157 три команды, которым присвоены номера:
1. прибавь 1,
2. прибавь 5,
3. умножь на 7.
Первая из них увеличивает число на экране на 1, вторая — на 5, а третья — в 7 раз. Программа для исполнителя Х157 — это последовательность команд.
Сколько есть программ, которые число 1 преобразуют в число 20?
Ответ обоснуйте.
С4. В ювелирных магазинах продаются изделия четырёх категорий: А, В, С и D. В городе N был проведён мониторинг цен ювелирных изделий в различных магазинах. Напишите эффективную по времени работы и по используемой памяти программу, которая будет определять для каждой категории ювелирных изделий, сколько магазинов продают его дешевле всего. На вход программе в первой строке подаётся число данных N о стоимости ювелирных изделий. В каждой из последующих N строк находится информация в следующем формате: <Компания> <Магазин> <Категория> <Цена>, где <Компания> — строка, состоящая не более, чем из 20-ти символов без пробелов, <Магазин> — строка, состоящая не более, чем из 20-ти символов без пробелов, <Категория> — одна из букв — А, В, С или D, <Цена> — целое число в диапазоне от 1000 до 500000, обозначающее стоимость одного изделия в рублях. <Компания> и <Магазин>, <Магазин> и <Категория>, а также <Категория> и <Цена> разделены ровно одним пробелом. Пример входной строки:
Kristal Adamas С 30 000.
Программа должна выводить через пробел 4 числа — количество магазинов, продающих дешевле всего изделия категории А, В, С и D соответственно. Если ювелирное изделие какой-то категории нигде не продавалось, то следует вывести 0. Пример выходных данных:
23 5 0 1