Информатика: Новый полный справочник для подготовки к ЕГЭ - 2018 год
Определение объёма и скорости передачи цифровой мультимедиа-информации - Технология обработки звуковой и графической информации
Конспект
Принципы цифрового кодирования растрового изображения

Общий объём информации, байт = (цвет одной точки) x (кол-во точек в строке) x (кол-во строк) = 3 байта х 20 х 20 = 1200 байт.
Принципы кодирования цветовых оттенков
В цветовой системе RGB каждый пиксель представляет собой “смесь” трёх точек красного (R — Red), зелёного (G — Green) и синего (В — Blue) цветов. Эти цвета называют “основными” для этой цветовой системы. Каждый из трёх основных цветов может иметь различную яркость, которая кодируется двоичным числом.

В рассматриваемой в задачах ЕГЭ 24-битной RGB- модели каждый из трёх основных цветов кодируется двоичным числом, разряды которого нумеруются от 0 до 7. То есть речь идёт о 8-битном кодировании цветов в системе RGB.

Данный способ кодирования цветовых оттенков соответствует широко используемому в современных ПЭВМ 24-битному методу цветового кодирования TrueColor. Нетрудно подсчитать, что данный метод обеспечивает 256 х 256 х 256 = 28 + 8 + 8 = 16 777 216 различных цветовых оттенков.
При использовании 24-битной RGB-модели TrueColor для кодирования цветовых оттенков на web- страницах обычно используется шестнадцатиразрядная запись, в которой подряд записывается шесть шестнадцатиразрядных цифр. Первые две цифры соответствуют шестнадцатеричной записи значения яркости красного цвета (Red), вторые две — шестнадцатеричной записи значения яркости зелёного цвета (Green), а третья пара цифр определяет шестнадцатеричную запись значения яркости синего цвета (Blue):

где стрелки обозначают перевод из двоичной в шестнадцатеричную систему счисления: исходное двоичное число (дополненное, если требуется, до 8 разрядов незначащими нулями слева) делится на две половины по 4 бита в каждой, а затем каждая такая “тетрада” битов заменяется одной шестнадцатеричной цифрой по следующей таблице:
|
0000 |
0001 |
0010 |
0011 |
0100 |
0101 |
0110 |
0111 |
1000 |
1001 |
1010 |
1011 |
1100 |
1101 |
1110 |
1111 |
|
0 |
1 |
2 |
8 |
4 |
0 |
0 |
7 |
0 |
8 |
А |
В |
С |
В |
Е |
F |
|
Цвет |
Составляющие |
Шестнадцатеричный код цвета |
Словесное обозначение |
||
|
R |
G |
В |
|||
|
Белый |
FF |
FF |
FF |
#FFFFFF |
white |
|
Красный |
FF |
00 |
00 |
#FF0000 |
red |
|
Зелёный |
00 |
FF |
00 |
#00FF00 |
lime |
|
Синий |
00 |
00 |
FF |
#0000FF |
blue |
|
Тёмно-красный |
80 |
00 |
00 |
#800000 |
darkred |
|
Тёмно-зелёный |
00 |
80 |
00 |
#008000 |
green |
|
Тёмно-синий |
00 |
00 |
80 |
#000080 |
darkblue |
|
Жёлтый |
FF |
FF |
00 |
#FFFF00 |
yellow |
|
Голубой |
00 |
FF |
FF |
#00FFFF |
cyan |
|
Фиолетовый |
FF |
00 |
FF |
#FF00FF |
magenta |
|
Чёрный |
00 |
00 |
00 |
#000000 |
black |
|
Серый |
80 |
80 |
80 |
#808080 |
gray |
Принципы цифрового кодирования аналогового сигнала (на примере записи звука)
Измерение амплитуды (величины напряжения) через равные малые промежутки времени Δt (с определённой частотой). Получаемые округлённые числовые значения в двоичной форме последовательно записываются в файл.

Частота дискретизации в Герцах (Гц) означает, что измерение электрического сигнала (громкости звука) осуществляется указанное количество раз в секунду, т.е. в файл каждую секунду записывается данное количество двоичных чисел. Разрешение в битах определяет разрядность каждого записываемого в файл числа. Если записывается стереозвук (т.е. ведётся двухканальная запись), то оцифровке подвергается не один электрический сигнал, а сразу два (с левого и правого микрофона) и, соответственно, удваивается количество сохраняемой цифровой информации; для монофонической записи умножение на 2 не требуется.
Общий объём информации, бит = (частота дискретизации, Гц) x (разрешение) x (длительность записи, с) х 2 (для стерео).
Например, при частоте дискретизации 48 кГц (= 48000 Гц), разрешении 24 бита, длительности записи 1 мин (= 60 с) и стереозвуке получается, что:

Принципы цифрового кодирования видеозаписи

Общий объём информации, байт = (объём одного кадра) x 24 x (длительность, с) = (цвет одной точки) x (кол-во точек в строке) x (кол-во строк) x 24 x (длительность, с).
Например, для видеофильма длительностью 2 мин (=120 с) при разрешении 640x480 получается, что:
Общий объём информации = 3 байта х 640 х 480 х 24 х 120 с = 2654208000 байт = 2592000 кбайт = 2531,25 Мбайт.
Всё сказанное выше относится к так называемым “несжатым” форматам.
Существуют также различные форматы хранения графической, аудио- и видеоинформации со сжатием, позволяющие (иной раз существенно) уменьшить объём записываемой информации, однако в ЕГЭ обычно рассматриваются именно “чистые” форматы без сжатия.
Разбор типовых задач
Задача 1. Для кодирования цвета фона web-страницы используется атрибут bgcolor="#ХХХХХХ", где в кавычках задаются шестнадцатеричные значения интенсивности цветовых компонент в 24-битной RGB-модели. Какой цвет будет у страницы, заданной тегом <body bgcolor="#00FF00">?
1) белый
2) зелёный
3) красный
4) синий
Решение

В данном случае яркости красного и синего основных цветов — минимально возможные (значение 00, т.е. нуль), а яркость зелёного цвета — максимально возможная (FF16 = 111111112 = 25510). Очевидно, что это — чистый зелёный цвет:
Ответ: зелёный цвет (вариант № 2).
Задача 2. Производится двухканальная (стерео) звукозапись с частотой дискретизации 48 кГц и 24-битным разрешением. Запись длится 1 минуту, её результаты записываются в файл, сжатие данных не производится. Какое из приведённых ниже чисел наиболее близко к размеру полученного файла, выраженному в мегабайтах?
1) 0,3
2) 4
3) 16
4) 132
Решение
Частота дискретизации = 48 кГц = 48 000 Гц.
Разрешение = 24 бита.
Длительность записи = 1 мин = 60 с.
Стереозвук (двухканальная запись) = 2.
Общий объём записываемой информации = 48 000 Гц х 24 бит х 60 с х 2 бит.
Расчёты удобнее всего производить, по возможности переведя все сомножители в степени двойки (поскольку затем потребуется выполнять перевод в байты, килобайты, мегабайты и пр.). Поэтому формула получит вид:

По условию задачи нужно сравнить полученный результат с различными вариантами ответа, приведёнными в мегабайтах. Поэтому результат вычислений требуется разделить сначала на 23, чтобы перевести биты в байты, а затем на 220 для перевода байтов в мегабайты:

Вычисления достаточно выполнить приближённо, так как не требуется указывать точный ответ, а достаточно указать, к какому из имеющихся значений он ближе всего. Поэтому деление на 1024 можно для упрощения вычислений заменить делением на 1000. Тогда объём получаемого аудиофайла примерно равен 16,875 Мб.
Ответ: вариант № 3.
Задача 3. Производилась двухканальная (стерео) звукозапись с частотой дискретизации 64 кГц и 24-битным разрешением. В результате был получен файл размером 480 Мбайт, сжатие данных не производилось. Определите приблизительно, сколько времени (в минутах) проводилась запись. В качестве ответа укажите ближайшее к времени записи целое число, кратное 10.
Решение
1) Разрешение равно 24 бит.
2) Частота дискретизации равна 64 кГц — 64000 измерений в секунду.
3) Длительность записи (в секундах) примем равной х.
4) Запись двухканальная — объём информации умножается на 2.
5) Результирующий объём файла равен 480 Мб, или 480 ∙ 223 бит.
(Не забываем, что все расчёты ведутся в битах и в секундах.)
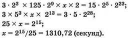
6) Составляем уравнение:
24 ∙ 64000 ∙ x ∙ 2 = 480 ∙ 223.
Для удобства вычислений по возможности выделяем степени двойки:

7) Переводим х в минуты:
х ≈ 1311/60 ≈ 21,85 (минут).
8) Округляем до ближайшего значения, кратного 10: х ∙ 21,85 ≈ 20 (минут).
Ответ: 20.
Задача 4. Выполнена квадро (4-канальная) звукозапись с частотой дискретизации 32 кГц и 16-битным разрешением. В результате получен файл размером 38 Мбайт, причем сжатие данных не производилось. Требуется приблизительно оценить, сколько времени (в минутах) производилась запись. В качестве ответа нужно указать ближайшее к полученному времени записи целое число минут.
Решение
Решение подобных задач сводится к записи одного-единственного уравнения, — нужно только внимательно записать в него все составляющие:
количество каналов записи — 4,
частота — 32000 колебаний в секунду,
разрешение — 16 бит,
длительность — неизвестна и мы обозначим её как t;
получаемый размер файла равен 38 Мбайт = 38 ∙ 223 бит.
Главное — ничего не забыть, обязательно преобразовать все величины к одним и тем же размерностям и правильно выполнить вычисления.
4 ∙ 32000 ∙ 16 ∙ t = 38 ∙ 223,
откуда t = 155,648. Это — в секундах. А у нас требуют указать длительность в минутах. Значит, полученное значение надо обязательно разделить на 60. А также (согласно условию задачи) — округлить полученное дробное значение до ближайшего целого:
t = 155,648/60 ≈ 2,594 ≈ 3 минуты.
Ответ: 3.