Информатика - 20 тренировочных вариантов экзаменационных работ для подготовки к единому государственному экзамену - 2018 год
ВАРИАНТ 8
Часть 1
Ответами к заданиям 1—23 являются число, последовательность букв или цифр, которые следует записать в БЛАНК ОТВЕТОВ № 1 справа от номера соответствующего задания, начиная с первой клеточки, без пробелов, запятых и других дополнительных символов. Каждый символ пишите в отдельной клеточке в соответствии с приведёнными в бланке образцами.
1. Сколько значащих нулей в двоичной записи числа 237?
Ответ: ___________________________ .
2. Логическая функция F задаётся выражением
Определите, какому столбцу таблицы истинности функции F соответствует каждая из переменных х, у, z.
|
Перем. 1 |
Перем. 2 |
Перем. 3 |
Функция |
|
??? |
??? |
??? |
F |
|
0 |
0 |
0 |
0 |
|
0 |
0 |
1 |
1 |
|
0 |
1 |
0 |
0 |
|
0 |
1 |
1 |
1 |
|
1 |
0 |
0 |
1 |
|
1 |
0 |
1 |
1 |
|
1 |
1 |
0 |
0 |
|
1 |
1 |
1 |
1 |
В ответе напишите буквы х, у, z в том порядке, в котором идут соответствующие им столбцы (сначала — буква, соответствующая 1-му столбцу; затем — буква, соответствующая 2-му столбцу; затем — буква, соответствующая 3-му столбцу). Букве в ответе пишите подряд, никаких разделителей между буквами ставить не нужно.
Пример
Пусть задано выражение х → у, зависящее от двух переменных х и у, и таблица истинности:
|
Перем. 1 |
Перем. 2 |
Функция |
|
??? |
??? |
F |
|
0 |
0 |
1 |
|
0 |
0 |
0 |
|
0 |
1 |
1 |
|
0 |
1 |
1 |
Тогда 1-му столбцу соответствует переменная y, а 2-му столбцу соответствует переменная х. В ответе нужно написать: ух.
Ответ: ___________________________ .
3. Между четырьмя местными аэропортами: ЛЕСНОЙ, КРАЙ, ЗИМА и ПОЛЯНА ежедневно выполняются авиарейсы. Приведён фрагмент расписания перелётов между ними.
|
Аэропорт вылета |
Аэропорт прилёта |
Время вылета |
Время прилёта |
|
ЛЕСНОЙ |
ПОЛЯНА |
13:30 |
18:10 |
|
ЗИМА |
КРАЙ |
14:20 |
16:10 |
|
ЗИМА |
ЛЕСНОЙ |
14:10 |
16:20 |
|
ПОЛЯНА |
ЗИМА |
17:05 |
19:20 |
|
ЛЕСНОЙ |
ЗИМА |
12:10 |
14:15 |
|
КРАЙ |
ЗИМА |
12:30 |
14:40 |
|
ЛЕСНОЙ |
КРАЙ |
12:20 |
14:10 |
|
КРАЙ |
ПОЛЯНА |
13:45 |
15:50 |
|
ПОЛЯНА |
КРАЙ |
14:10 |
16:25 |
|
ЗИМА |
ПОЛЯНА |
14:25 |
16:30 |
Путешественник оказался в аэропорту ЛЕСНОЙ в полночь (0:00). Определите самое раннее время, когда он может попасть в аэропорт ПОЛЯНА.
Ответ: _______________________________ .
4. Дан фрагмент базы данных, содержащий информацию о родственных отношениях. Определите на основании приведённых данных ID дяди Сорт А.К. (Дядя — брат отца или матери, а также муж тети (сестры отца или матери)).
|
Таблица 1 |
Таблица 2 |
||||
|
ID |
Фамилия И.О. |
Пол |
ID_Родителя |
ID_Ребёнка |
|
|
1453 |
Дени К.Д. |
Ж |
5363 |
4218 |
|
|
2185 |
Ирта О.Б. |
Ж |
2185 |
4218 |
|
|
2605 |
Гано И.Е. |
Ж |
7148 |
5363 |
|
|
3474 |
Ивенко Д.Я. |
М |
1453 |
5363 |
|
|
4218 |
Бабенко А.Е. |
М |
3474 |
1453 |
|
|
5363 |
Марченко Е.Е. |
М |
7814 |
1453 |
|
|
5771 |
Арне А.Е. |
Ж |
7148 |
2605 |
|
|
7148 |
Камо Е.А. |
М |
1453 |
2605 |
|
|
7814 |
Исава Г.А. |
Ж |
2605 |
8208 |
|
|
8208 |
Сорт А.К. |
Ж |
5363 |
5771 |
|
|
... |
... |
... |
|||
Ответ: _______________________________ .
5. Для кодирования некоторой последовательности, состоящей из букв А, Б, В, Г и Д, используется неравномерный двоичный код, позволяющий однозначно декодировать полученную двоичную последовательность. Вот этот код:
А-010, Б-011, В-000, Г-001. Каким кодовым словом должна кодироваться буква Д? Если таких вариантов несколько, укажите самый короткий.
Ответ: ________________________________ .
6. У исполнителя Удвоитель две команды, которым присвоены номера:
1. умножь на 2,
2. прибавь 1.
Первая из них удваивает число на экране, вторая — увеличивает его на 1.
Запишите порядок команд в программе преобразования числа 4 в число 41, содержащей не более 5 команд, указывая лишь номера команд. (Например, 21211 —это программа
прибавь 1
умножь на 2
прибавь 1
умножь на 2
умножь на 2,
которая преобразует число 1 в 20.)
(Если таких программ более одной, то запишите любую из них.)
Ответ: ________________________________ .
7. Дан фрагмент электронной таблицы:
|
А |
В |
С |
D |
|
|
1 |
2 |
6 |
||
|
2 |
=С1/2 |
=(А1+1)/3 |
=(В1+С2)/4 |
=С1-3 |
Какое число должно быть записано в ячейке В1, чтобы построенная после выполнения вычислений диаграмма по значениям диапазона ячеек A2:D2 соответствовала рисунку?

Ответ: ________________________________ .
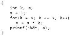
8. Определите, что будет напечатано в результате выполнения следующего фрагмента программы:
|
Бейсик |
Паскаль |
|
|
|
|
Си |
Алгоритмический язык |
|
|
|
Ответ: ________________________________ .
9. У Васи есть высокоскоростной доступ к сети Интернет со скоростью 222 бит/сек.
Петин компьютер связан с Васиным через канал связи со скоростью 219 бит/сек. Петя договорился с Васей, что тот будет скачивать для него данные объёмом 8 Мбайт из Интернета и ретранслировать их Пете. Компьютер Васи может начать ретрансляцию данных не раньше, чем им будут получены первые 512 Кбайт этих данных. Каков минимально возможный промежуток времени (в секундах), с момента начала скачивания Васей данных, до полного их получения Петей? В ответе запишите только целое число, единицу измерения писать не нужно.
Ответ: _______________________________ .
10. Для кодирования 300 различных сообщений используют 5 последовательных цветовых вспышек. Лампочки скольких различных цветов должны использоваться при передаче?
Ответ: _______________________________ .
11. Алгоритм вычисления значения функции F(n), где n — натуральное число, задан следующими соотношениями:
F(n) = F(n - 1) + F(n/2), при n > 1 и n кратно 2
F(n) = F(n - 1) + F(n - 2), при n > 1 и n не кратно 2
F(1) = 1
Чему равно значение функции F(8)?
(В ответе запишите только натуральное число.)
Ответ: _______________________________ .
12. В терминологии сетей TCP/IP маской сети называется двоичное число, определяющее, какая часть IP-адреса узла сети относится к адресу сети, а какая — к адресу самого узла в этой сети. Обычно маска записывается по тем же правилам, что и IP-адрес. Адрес сети получается в результате применения поразрядной конъюнкции к заданному IP-адресу узла и маске.
По заданным IP-адресу узла и маске определите адрес сети.
IP-адрес узла: 174.214.157.39
Маска: 255.255.240.0
При записи ответа выберите из приведённых в таблице чисел четыре элемента IP-адреса и запишите в нужном порядке соответствующие им буквы. Точки писать не нужно.
|
А |
В |
С |
D |
Е |
F |
G |
Н |
|
0 |
39 |
144 |
157 |
174 |
214 |
240 |
255 |
Пример
Пусть искомый IP-адрес 192.168.128.0, и дана таблица
|
А |
В |
С |
D |
Е |
F |
G |
Н |
|
128 |
168 |
255 |
8 |
127 |
0 |
17 |
192 |
В этом случае правильный ответ будет записан в виде: HBAF
Ответ:
13. Для регистрации на сайте онлайн-магазина пользователю предлагается придумать пароль, состоящий из 7 символов. Правилами безопасности сайта разрешается использовать только строчные буквы латинского алфавита и цифры в любом порядке. При этом используется посимвольное кодирование и в памяти сервера для кодирования каждого символа используется минимально возможное и одинаково целое количество бит. А для хранения всего пароля используется минимально возможное целое количество байт. Какое количество информации (в байтах) требуется для хранения паролей 40 пользователей?
Ответ: _______________________________ .
14. Система команд исполнителя РОБОТ, “живущего” в прямоугольном лабиринте на клетчатой плоскости включает 4 команды-приказа и 4 команды проверки условия. Команды-приказы:
|
вверх |
вниз |
влево |
вправо |
При выполнении этих команд РОБОТ перемещается на одну клетку соответственно: вверх ↑, вниз ↓, влево ←, вправо →.
Если РОБОТ начнёт движение в сторону находящейся рядом с ним стены, то он разрушится и программа прервётся.
Другие четыре команды проверяют истинность условия отсутствия стены у каждой стороны той клетки, где находится РОБОТ:
|
сверху свободно |
снизу свободно |
слева свободно |
справа свободно |
Цикл
![]()
выполняется, пока условие истинно.
Сколько клеток лабиринта соответствует требованию, что, начав движение в ней и выполнив предложенную программу, РОБОТ уцелеет и остановится в закрашенной клетке (клетка F6)?

Ответ: _______________________________ .
15. На рисунке — схема дорог, связывающих города А, Б, В, Г, Д, Е, Ж, 3, И, К. По каждой дороге можно двигаться только в одном направлении, указанном стрелкой. Сколько существует различных путей из города А в город К?

Ответ: _______________________________ .
16. Укажите через запятую в порядке возрастания все десятичные числа, не превосходящие 25, запись которых в троичной системе счисления оканчивается на 21.
Ответ: _______________________________ .
17. В языке запросов к поисковому серверу для обозначения логической операции “ИЛИ” используется символ |, а для логической операции “И” — &. В таблице приведено количество страниц, которое находит поисковая система по каждому запросу.
|
Запрос |
Количество найденных страниц |
|
Соус & (Кетчуп | Молоко) |
12300 |
|
Соус & Кетчуп & Молоко |
0 |
|
Соус & Молоко |
9700 |
Какое количество страниц будет найдено по запросу: Соус & Кетчуп?
Считается, что все запросы выполнялись практически одновременно, так что набор страниц, содержащих все искомые слова, не изменялся за время выполнения запросов.
Ответ: _______________________________ .
18. Какое наибольшее целое число удовлетворяет логическому условию: ![]()
Ответ: _______________________________ .
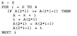
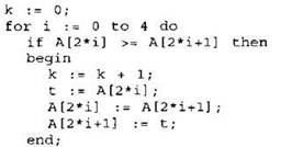
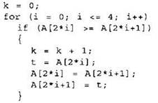
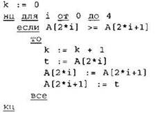
19. В программе используется целочисленный массив А с индексами от 0 до 9. Значения элементов массива равны 4; 5; 4; 7; 10; 8; 9; 11; 7; 8 соответственно, т.е. А[0] = 4; А[1] = 5 и т.д.
Определите значение переменной k после выполнения следующего фрагмента программы, записанной ниже на разных языках программирования.
|
Бейсик |
Паскаль |
|
|
|
|
Си |
Алгоритмический язык |
|
|
|
Ответ: _______________________________ .
20. Ниже на четырёх языках записан алгоритм. Получив на вход число х, этот алгоритм печатает два числа: L и М. Укажите наибольшее из таких чисел х, при вводе которых алгоритм печатает сначала 4, а потом 13.
|
Бейсик |
Паскаль |
|
|
|
|
Си |
Алгоритмический язык |
|
|
|
Ответ: _______________________________ .
21. Определите, при каком наибольшем значении b в результате выполнения следующего алгоритма будет напечатано число 100 (для Вашего удобства алгоритм представлен на четырёх языках):
|
Бейсик |
Паскаль |
|
|
|
|
Си |
Алгоритмический язык |
|
|
|
Ответ: _______________________________ .
22. У исполнителя Утроитель две команды, которым присвоены номера:
1. прибавь 1,
2. умножь на 3.
Первая из них увеличивает число на экране на 1, вторая утраивает его. Программа для Утроителя — это последовательность команд.
Сколько есть программ, которые число 2 преобразуют в число 28?
Ответ: _______________________________ .
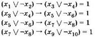
23. Сколько существует различных наборов значений логических переменных x1, х2, ... x9, x10, которые удовлетворяют всем перечисленным ниже условиям?

В ответе не нужно перечислять все различные наборы значений x1, х2, ... x9, x10, при которых выполнена данная система равенств. В качестве ответа вам нужно указать количество таких наборов.
Ответ: ________________________________ .
Не забудьте перенести все ответы в бланк ответов № 1 в соответствии с инструкцией по выполнению работы.
Часть 2
Для записи ответов на задания этой части (24—27) используйте БЛАНК ОТВЕТОВ № 2. Запишите сначала номер задания (24, 25 и т. д.), а затем полное решение. Ответы записывайте чётко и разборчиво.
24. Требовалось написать программу, при выполнении которой с клавиатуры считывается координата точки на прямой (л; — действительное число) и определяется принадлежность этой точки одному из выделенных отрезков В и D (включая границы). Программист торопился и написал программу неправильно.

|
Паскаль |
Бейсик |
|
|
|
|
Си |
Алгоритмический язык |
|
|
|
Последовательно выполните следующее:
1. Перерисуйте и заполните таблицу, которая показывает, как работает программа при аргументах, принадлежащих различным областям (А, В, С, D и Е). Границы (точки 3, 5, 7 и 9) принадлежат заштрихованным областям (В и D соответственно).
|
Область |
Условие 1 (х>=3) |
Условие 2 (x<=9) |
Условие 3 (х>=7) |
Программа выведет |
Область обрабатывается верно |
|
А |
|||||
|
В |
|||||
|
С |
|||||
|
D |
|||||
|
Е |
В столбцах условий укажите “да”, если условие выполнится, “нет”, если условие не выполнится, “—” (прочерк), если условие не будет проверяться, “не изв.”, если программа ведёт себя по-разному для разных значений, принадлежащих данной области. В столбце “Программа выведет” укажите, что программа выведет на экран. Если программа ничего не выводит, напишите “—” (прочерк). Если для разных значений, принадлежащих области, будут выведены разные тексты, напишите “не изв.”. В последнем столбце укажите “Да” или “Нет”.
2. Укажите, как нужно доработать программу, чтобы не было случаев её неправильной работы. (Это можно сделать несколькими способами, поэтому можно указать любой способ доработки исходной программы.)
25. Дан целочисленный массив из 40 элементов. Элементы массива могут принимать значения от -10000 до 10000. Опишите на русском языке или на одном из языков программирования алгоритм, который находит и выводит значение минимального трёхзначного положительного числа, которое не оканчивается на 4. Если такого элемента нет, вывести на экран “NO”.
Исходные данные объявлены так, как показано ниже. Запрещается использовать переменные, не описанные ниже, но разрешается не использовать часть из них.
|
Паскаль |
Бейсик |
|
|
|
|
|
|
|
СИ |
Алгоритмический язык |
|
|
|
|
Русский (естественный) язык |
|
|
Объявляем массив А из 40 элементов. |
|
|
Объявляем целочисленные переменные I, К, MIN. В цикле от 1 до 40 вводим элементы массива А с 1-го по 40-й. ... |
|
В качестве ответа вам необходимо привести фрагмент программы (или описание алгоритма на естественном языке), который должен находиться на месте многоточия. Вы можете записать решение также на другом языке программирования (укажите название и используемую версию языка программирования, например Borland Pascal 7.0) или в виде блок-схемы. В этом случае вы должны использовать те же самые исходные данные и переменные, какие были предложены в условии (например, в образце, записанном на естественном языке).
26. Два игрока, Петя и Ваня, играют в следующую игру. Перед игроками лежит куча камней. Игроки ходят по очереди, первый ход делает Петя. За один ход игрок может добавить в кучу один или два камня или увеличить количество камней в куче в два раза. Например, имея кучу из 15 камней, за один ход можно получить кучу из 16, 17 или 30 камней. У каждого игрока, чтобы делать ходы, есть неограниченное количество камней.
Игра завершается в тот момент, когда количество камней в куче становится не менее 27. Победителем считается игрок, сделавший последний ход, то есть первым получивший кучу, в которой будет 27 или больше камней.
В начальный момент в куче было S камней, 1 ≤ S ≤ 26.
Говорят, что игрок имеет выигрышную стратегию, если он может выиграть при любых ходах противника. Описать стратегию игрока — значит описать, какой ход он должен сделать в любой ситуации, которая ему может встретиться при различной игре противника.
Выполните следующие задания. Во всех случаях обосновывайте свой ответ.
1. а) Укажите все такие значения числа S, при которых Петя может выиграть в один ход. Обоснуйте, что найдены все нужные значения S, и укажите выигрывающий ход для каждого указанного значения S.
б) Укажите такое значение S, при котором Петя не может выиграть за один ход, но при любом ходе Пети Ваня может выиграть своим первым ходом. Опишите выигрышную стратегию Вани.
2. Укажите два значения S, при которых у Пети есть выигрышная стратегия, причём (а) Петя не может выиграть за один ход и (б) Петя может выиграть своим вторым ходом независимо от того, как будет ходить Ваня. Для каждого указанного значения S опишите выигрышную стратегию Пети.
3. Укажите такое значение S, при котором:
— у Вани есть выигрышная стратегия, позволяющая ему выиграть первым или вторым ходом при любой игре Пети, и
— у Вани нет стратегии, которая позволит ему гарантированно выиграть первым ходом. Для указанного значения S опишите выигрышную стратегию Вани. Постройте дерево всех партий, возможных при этой выигрышной стратегии Вани (в виде рисунка или таблицы). На рёбрах дерева указывайте, кто делает ход, в узлах — количество камней в куче.
27. После единых выпускных экзаменов по информатике в район пришла информация о том, какой ученик какой школы сколько баллов набрал. По положению об экзамене оценку “2” (неудовлетворительно) получают ученики, набравшие меньше 40 баллов. Оценку “3” (удовлетворительно) получают 30% учеников среди оставшихся, за исключением тех из них, кто набрал больше 60 баллов.
Если количество “троечников” оказывается больше 30%, то следует выбрать меньшую границу для оценки “4” (но только если при этом “3” получит хоть кто-нибудь).
Напишите эффективную, в том числе и по используемой памяти, программу (укажите используемую версию языка программирования, например, Borland Pascal 7.0), которая должна вывести на экран наибольший балл, который набрали участники, получившие “удовлетворительно” и количество таких учеников. Известно, что информатику сдавало больше 50-ти учеников. Также известно, что есть такое количество баллов, которое не получил ни один участник.
На вход программе сначала подаётся число учеников, сдававших экзамен. В каждой из следующих N строк находится информация об учениках в формате:
<Фамилия> <Имя> <Номер школы> <Количество баллов>,
где <Фамилия> — строка, состоящая не более, чем из 30 символов без пробелов, <Имя> — строка, состоящая не более, чем из 20 символов без пробелов, <Номер школы> — целое число в диапазоне от 1 до 99, <Количество баллов> — целое число диапазоне от 1 до 100. Эти данные записаны через пробел, причем ровно один между каждой парой (то есть, всего по три пробела в каждой строке).
Пример входной строки:
Иванов Иван 50 87
Пример выходных данных:
45 703























