Информатика - 20 тренировочных вариантов экзаменационных работ для подготовки к единому государственному экзамену - 2018 год
ВАРИАНТ 10
Часть 1
Ответами к заданиям 1—23 являются число, последовательность букв или цифр, которые следует записать в БЛАНК ОТВЕТОВ № 1 справа от номера соответствующего задания, начиная с первой клеточки, без пробелов, запятых и других дополнительных символов. Каждый символ пишите в отдельной клеточке в соответствии с приведёнными в бланке образцами.
1. Даны 4 целых числа, записанных в восьмеричной системе счисления: 2618, 2638, 2658, 2678 Сколько среди них чисел, которые меньше чем D316?
Ответ: ________________________________ .
2. Логическая функция F задаётся выражением
Определите, какому столбцу таблицы истинности функции F соответствует каждая из переменных х, у, z.
|
Перем. 1 |
Перем. 2 |
Перем. 3 |
Функция |
|
??? |
??? |
??? |
F |
|
0 |
0 |
0 |
0 |
|
0 |
0 |
1 |
1 |
|
0 |
1 |
0 |
1 |
|
0 |
1 |
1 |
1 |
|
1 |
0 |
0 |
0 |
|
1 |
0 |
1 |
0 |
|
1 |
1 |
0 |
1 |
|
1 |
1 |
1 |
1 |
В ответе напишите буквы х, у, z в том порядке, в котором идут соответствующие им столбцы (сначала — буква, соответствующая 1-му столбцу; затем — буква, соответствующая 2-му столбцу; затем — буква, соответствующая 3-му столбцу). Букве в ответе пишите подряд, никаких разделителей между буквами ставить не нужно.
Пример
Пусть задано выражение х → у, зависящее от двух переменных х и у, и таблица истинности:
|
Перем. 1 |
Перем. 2 |
Функция |
|
??? |
??? |
F |
|
0 |
0 |
1 |
|
0 |
0 |
0 |
|
0 |
1 |
1 |
|
0 |
1 |
1 |
Тогда 1-му столбцу соответствует переменная у, а 2-му столбцу соответствует переменная х. В ответе нужно написать: ух.
Ответ: ________________________________ .
3. Между четырьмя местными аэропортами: ЛЕСНОЙ, КРАЙ, ЗИМА и ПОЛЯНА ежедневно выполняются авиарейсы. Приведён фрагмент расписания перелётов между ними.
|
Аэропорт вылета |
Аэропорт прилёта |
Время вылета |
Время прилёта |
|
ЛЕСНОЙ |
ПОЛЯНА |
10:15 |
14:30 |
|
ЗИМА |
КРАЙ |
10:20 |
12:30 |
|
ЗИМА |
ЛЕСНОЙ |
14:14 |
16:30 |
|
ПОЛЯНА |
ЗИМА |
15:40 |
17:35 |
|
ЛЕСНОЙ |
ЗИМА |
10:05 |
12:20 |
|
КРАЙ |
ЗИМА |
11:40 |
13:55 |
|
ЛЕСНОЙ |
КРАЙ |
9:40 |
11:50 |
|
КРАЙ |
ПОЛЯНА |
12:20 |
14:10 |
|
ПОЛЯНА |
КРАЙ |
13:15 |
15:40 |
|
ЗИМА |
ПОЛЯНА |
12:30 |
14:25 |
Путешественник оказался в аэропорту ЛЕСНОЙ в полночь (0:00). Определите самое раннее время, когда он может попасть в аэропорт ПОЛЯНА.
Ответ: ________________________________ .
4. Дан фрагмент базы данных, содержащий информацию о родственных отношениях. Определите, сколько предков Арно В.А. упомянуто в таблице.
|
Таблица 1 |
Таблица 2 |
||||
|
ID |
Фамилия И.О. |
Пол |
ID_Родителя |
ID_Ребёнка |
|
|
1518 |
Гираб В.А. |
М |
1885 |
3472 |
|
|
1885 |
Жуйко А.И. |
М |
6109 |
3472 |
|
|
2946 |
Калпен Л.В. |
М |
9657 |
1885 |
|
|
3472 |
Арно В.А. |
Ж |
4705 |
1885 |
|
|
4705 |
Иваненко И.Л. |
М |
2946 |
4705 |
|
|
5624 |
Ирита Е.О. |
Ж |
5624 |
4705 |
|
|
6109 |
Кирта У.Т. |
Ж |
8434 |
2946 |
|
|
7296 |
Олинг К.Л. |
Ж |
1518 |
2946 |
|
|
8434 |
Кименко З.Т. |
Ж |
2946 |
7296 |
|
|
9657 |
Вирк Я.М. |
Ж |
5624 |
7296 |
|
|
... |
... |
... |
|||
Ответ: ________________________________ .
5. Для кодирования некоторой последовательности, состоящей из букв А, В, С, D и Е, используется неравномерный двоичный код, позволяющий однозначно декодировать полученную двоичную последовательность. Вот этот код:
А-101, В-11, С-010, D-00, Е-011. Можно ли сократить для одной из букв длину кодового слова так, чтобы код по-прежнему можно было декодировать однозначно? Коды остальных букв меняться не должны.
Запишите ответ в виде: буква, кодовое слово. Например, если бы ответ был “Для буквы F новый код будет 110”, ответ нужно записать как: F110. Если невозможно ничего сократить, запишите в ответе просто цифру 0.
Ответ: _______________________________ .
6. У исполнителя Утроитель две команды, которым присвоены номера:
1. умножь на 3,
2. прибавь 4.
Первая из них утраивает число на экране, вторая — увеличивает его на 4.
Запишите порядок команд в программе преобразования числа 1 в число 35, содержащей не более 5 команд, указывая лишь номера команд. (Например, 21212 — это программа
прибавь 4
умножь на 3
прибавь 4
умножь на 3
прибавь 4,
которая преобразует число 1 в 61.)
(Если таких программ более одной, то запишите любую из них.)
Ответ: _______________________________ .
7. Дан фрагмент электронной таблицы:
|
А |
В |
С |
D |
|
|
1 |
6 |
|||
|
2 |
=D2-B1 |
=В1/2 |
=А1-В2 |
=А1+В1/2 |
Какое число должно быть записано в ячейке В1, чтобы построенная после выполнения вычислений диаграмма по значениям диапазона ячеек A2:D2 соответствовала рисунку?

Ответ: ________________________________ .
8. Определите, что будет напечатано в результате выполнения следующего фрагмента программы:
|
Бейсик |
Паскаль |
|
|
|
|
Си |
Алгоритмический язык |
|
|
|
Ответ: ________________________________ .
9. У Васи есть два способа выкачивать файлы из сети Интернет: при помощи собственного канала связи со скоростью 32 Мбит/сек и при помощи радиоканала своего друга Пети со скоростью 8 Мбит/сек. Васе нужно закачать три части видео последнего звонка, каждая объёмом 2 Гбайт. Он решает закачать две части по своему каналу, а одну — по каналу Пети. Через сколько секунд после окончания закачки первых двух частей видео Вася получит все видео целиком? В ответе запишите только целое число, единицу измерения писать не нужно.
Ответ: _______________________________ .
10. Вася и Петя передают друг другу сообщения, используя флажки 3-х цветов (синий, зелёный и красный). Для этого они поднимают последовательно один из флажков, потом опускают его и поднимают ещё какой-то. Наименьшее количество поднятий флажков в сообщении — 3, наибольшее — 5. Сколько различных сообщений могут передавать мальчики?
Ответ: _______________________________ .
11. Даны рекурсивные алгоритмы F и G. Сколько символов “звёздочка” будет напечатано на экране при выполнении вызова F(20)?
|
Бейсик |
Паскаль |
|
|
|
|
Си |
Алгоритмический язык |
|
|
|
Ответ: _______________________________ .
12. В терминологии сетей TCP/IP маской сети называется двоичное число, определяющее, какая часть IP-адреса узла сети относится к адресу сети, а какая — к адресу самого узла в этой сети. Обычно маска записывается по тем же правилам, что и IP-адрес. Адрес сети получается в результате применения поразрядной конъюнкции к заданному IP-адресу узла и маске.
По заданным IP-адресу узла и маске определите адрес сети.
IP-адрес узла: 198.213.231.73
Маска: 255.255.252.0
При записи ответа выберите из приведённых в таблице чисел четыре элемента IP-адреса и запишите в нужном порядке соответствующие им буквы. Точки писать не нужно.
|
А |
В |
С |
D |
Е |
F |
G |
Н |
|
0 |
73 |
198 |
213 |
228 |
231 |
252 |
255 |
Пример
Пусть искомый IP-адрес 192.168.128.0, и дана таблица
|
А |
В |
С |
D |
Е |
F |
G |
Н |
|
128 |
168 |
255 |
8 |
127 |
0 |
17 |
192 |
В этом случае правильный ответ будет записан в виде: HBAF
Ответ: _______________________________ .
13. При регистрации в компьютерной системе каждому пользователю выдается пароль, состоящий из 7 символов и содержащий только символы из 10-символьного набора: А, В, С, D, Е, F, G, Н, К, L. В базе данных для хранения сведений о каждом пользователе отведено одинаковое и минимально возможное целое число байт. При этом используют посимвольное кодирование паролей, все символы кодируют одинаковым и минимально возможным количеством бит. Кроме собственно пароля, для каждого пользователя в системе хранятся дополнительные сведения, для чего отведено целое число байт, одинаковое для всех пользователей.
Для хранения сведений о 30 пользователях потребовалось 480 байт. Сколько байт выделено для хранения дополнительных сведений об одном пользователе? В ответе запишите только целое число — количество байт.
Ответ: ________________________________ .
14. Исполнитель Редактор получает на вход строку цифр и преобразовывает её. Редактор может выполнять две команды, в обеих командах v и w обозначают цепочки цифр.
А) заменить (v, w).
Эта команда заменяет в строке первое слева вхождение цепочки v на цепочку w. Например, выполнение команды
заменить (222, 34)
преобразует строку 77222277 в строку 7734277.
Если в строке нет вхождений цепочки v, то выполнение команды заменить (v, w) не меняет эту строку.
Б) нашлось (v).
Эта команда проверяет, встречается ли цепочка v в строке исполнителя Редактор. Если она встречается, то команда возвращает логическое значение “истина”, в противном случае возвращает значение “ложь”. Строка исполнителя при этом не изменяется.
Цикл
![]()
выполняется, пока условие истинно.
В конструкции

выполняется команда1 (если условие истинно) или команда2 (если условие ложно).
Какая строка получится в результате применения приведенной ниже программы к строке, состоящей из 61 идущих подряд цифр 1? В ответе запишите полученную строку.

Ответ:____________________________ .
15. На рисунке — схема дорог, связывающих города А, Б, В, Г, Д, Е, Ж, 3, И, К. По каждой дороге можно двигаться только в одном направлении, указанном стрелкой. Сколько существует различных путей из города А в город К?

Ответ:____________________________ .
16. Значение арифметического выражения: 2540 — 530 + 24 — записали в системе счисления с основанием 5. Сколько цифр “4” содержится в этой записи?
Ответ: ________________________ .
17. В языке запросов к поисковому серверу для обозначения логической операции “ИЛИ” используется символ |, а для логической операции “И” — &. В таблице приведено количество страниц, которое находит поисковая система по каждому запросу.
|
Запрос |
Количество найденных страниц |
|
Банан & Лимон |
6700 |
|
Банан & Яблоко & Лимон |
4300 |
|
(Банан & Яблоко) | (Банан & Лимон) |
15600 |
Какое количество страниц будет найдено по запросу: Банан & Яблоко?
Считается, что все запросы выполнялись практически одновременно, так что набор страниц, содержащих все искомые слова, не изменялся за время выполнения запросов.
Ответ: ________________________ .
18. На числовой прямой даны отрезки Р = [5, 13] и Q = [8, 19]. Укажите наименьшую возможную длину такого отрезка А, что формула
верна при любых значениях х.
Ответ: ________________________ .
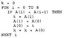
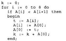
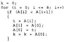
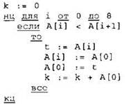
19. В программе используется целочисленный массив А с индексами от 0 до 9. Значения элементов массива равны 4; 5; 4; 7; 10; 8; 9; 11; 7; 8 соответственно, т.е. А[0] = 4; А[1] = 5 и т.д.
Определите значение переменной k после выполнения следующего фрагмента программы, записанной ниже на разных языках программирования.
|
Бейсик |
Паскаль |
|
|
|
|
Си |
Алгоритмический язык |
|
|
|
Ответ: ________________________ .
20. Ниже на четырёх языках записан алгоритм. Получив на вход число х, этот алгоритм печатает два числа: L и М. Укажите наименьшее из таких чисел х, при вводе которых алгоритм печатает сначала 1, а потом 60.
|
Бейсик |
Паскаль |
|
|
|
|
Си |
Алгоритмический язык |
|
|
|
Ответ: _______________________________ .
21. Определите, при каком наименьшем значении b в результате выполнения следующего алгоритма будет напечатано число 20 (для Вашего удобства алгоритм представлен на четырех языках):
|
Бейсик |
Паскаль |
|
|
|
|
Си |
Алгоритмический язык |
|
|
|
Ответ: _______________________________ .
22. У исполнителя Утроитель две команды, которым присвоены номера:
1. прибавь 2,
2. умножь на 3.
Первая из них увеличивает число на экране на 2, вторая утраивает его. Программа для Утроителя — это последовательность команд.
Сколько есть программ, которые число 1 преобразуют в число 27?
Ответ: _______________________________ .
23. Сколько существует различных наборов значений логических переменных x1, х2, ... х7, х8, которые удовлетворяют всем перечисленным ниже условиям?

В ответе не нужно перечислять все различные наборы значений х1, х2, ... х7, х8, при которых выполнена данная система равенств. В качестве ответа вам нужно указать количество таких наборов.
Ответ: _______________________________ .
Не забудьте перенести все ответы в бланк ответов № 1 в соответствии с инструкцией по выполнению работы.
Часть 2
Для записи ответов на задания этой части (24—27) используйте БЛАНК ОТВЕТОВ № 2. Запишите сначала номер задания (24, 25 и т. д.), а затем полное решение. Ответы записывайте чётко и разборчиво.
24. Требовалось написать программу, при выполнении которой с клавиатуры считывается координата точки на прямой (х — действительное число) и определяется принадлежность этой точки одному из выделенных отрезков В и D (включая границы). Программист торопился и написал программу неправильно.

|
Паскаль |
Бейсик |
|
|
|
|
Си |
Алгоритмический язык |
|
|
|
Последовательно выполните следующее:
1. Перерисуйте и заполните таблицу, которая показывает, как работает программа при аргументах, принадлежащих различным областям (А, В, С, D и Е). Границы (точки -5, 1, 7 и 13) принадлежат заштрихованным областям (В и D соответственно).
|
Область |
Условие 1 (x>1) |
Условие 2 (х>=7) |
Условие 3 (х<=13) |
Программа выведет |
Область обрабатывается верно |
|
А |
|||||
|
В |
|||||
|
С |
|||||
|
D |
|||||
|
Е |
В столбцах условий укажите “да”, если условие выполнится, “нет”, если условие не выполнится, “—” (прочерк), если условие не будет проверяться, “не изв.”, если программа ведёт себя по-разному для разных значений, принадлежащих данной области. В столбце “Программа выведет” укажите, что программа выведет на экран. Если программа ничего не выводит, напишите “—” (прочерк). Если для разных значений, принадлежащих области, будут выведены разные тексты, напишите “не изв.”. В последнем столбце укажите “Да” или “Нет”.
2. Укажите, как нужно доработать программу, чтобы не было случаев её неправильной работы. (Это можно сделать несколькими способами, поэтому можно указать любой способ доработки исходной программы.)
25. Дан целочисленный массив из 40 элементов. Элементы массива могут принимать произвольные значения. Опишите на русском языке или на одном из языков программирования алгоритм, который находит и выводит номера двух элементов массива, наименее отличающихся друг от друга.
Исходные данные объявлены так, как показано ниже. Запрещается использовать переменные, не описанные ниже, но разрешается не использовать часть из них.
|
Паскаль |
Бейсик |
|
|
|
|
Си |
Алгоритмический язык |
|
|
|
|
Русский (естественный) язык |
|
|
Объявляем массив А из 40 элементов. Объявляем целочисленные переменные I, J, MIN, MIN2, S. В цикле от 1 до 40 вводим элементы массива А с 1-го по 40-й. ... |
|
В качестве ответа вам необходимо привести фрагмент программы (или описание алгоритма на естественном языке), который должен находиться на месте многоточия. Вы можете записать решение также на другом языке программирования (укажите название и используемую версию языка программирования, например Borland Pascal 7.0) или в виде блок-схемы. В этом случае вы должны использовать те же самые исходные данные и переменные, какие были предложены в условии (например, в образце, записанном на естественном языке).
26. Два игрока, Петя и Ваня, играют в следующую игру. Перед игроками лежит куча камней. Игроки ходят по очереди, первый ход делает Петя. За один ход игрок может добавить в кучу два или три камня или увеличить количество камней в куче в два раза. Например, имея кучу из 15 камней, за один ход можно получить кучу из 17, 18 или 30 камней. У каждого игрока, чтобы делать ходы, есть неограниченное количество камней.
Игра завершается в тот момент, когда количество камней в куче становится не менее 30. Победителем считается игрок, сделавший последний ход, то есть первым получивший кучу, в которой будет 30 или больше камней.
В начальный момент в куче было S камней, 1 ≤ S ≤ 29.
Говорят, что игрок имеет выигрышную стратегию, если он может выиграть при любых ходах противника. Описать стратегию игрока — значит описать, какой ход он должен сделать в любой ситуации, которая ему может встретиться при различной игре противника.
Выполните следующие задания. Во всех случаях обосновывайте свой ответ.
1. а) Укажите все такие значения числа S, при которых Петя может выиграть в один ход. Обоснуйте, что найдены все нужные значения S, и укажите выигрывающий ход для каждого указанного значения S.
б) Укажите такое значение S, при котором Петя не может выиграть за один ход, но при любом ходе Пети Ваня может выиграть своим первым ходом. Опишите выигрышную стратегию Вани.
2. Укажите два значения S, при которых у Пети есть выигрышная стратегия, причём (а) Петя не может выиграть за один ход и (б) Петя может выиграть своим вторым ходом независимо от того, как будет ходить Ваня. Для каждого указанного значения S опишите выигрышную стратегию Пети.
3. Укажите такое значение S, при котором:
— у Вани есть выигрышная стратегия, позволяющая ему выиграть первым или вторым ходом при любой игре Пети, и
— у Вани нет стратегии, которая позволит ему гарантированно выиграть первым ходом. Для указанного значения S опишите выигрышную стратегию Вани. Постройте дерево всех партий, возможных при этой выигрышной стратегии Вани (в виде рисунка или таблицы). На рёбрах дерева указывайте, кто делает ход, в узлах — количество камней в куче.
27. На вход программе подаётся последовательность символов, заканчивающаяся символом #. Другие символы # во входной последовательности отсутствуют.
Программа должна вывести на экран символы латинского алфавита, в порядке увеличения частоты встречаемости во входной последовательности.
Если буква во входной последовательности не встречается, её выводить не нужно.
Если несколько букв встречаются одинаковое количество раз, программа должна вывести их в алфавитном порядке.
Строчные и прописные буквы не различаются.
Напишите эффективную, в том числе и по используемой памяти, программу (укажите используемую версию языка программирования, например, Borland Pascal 7.0), которая должна решать поставленную задачу.
Пример входных данных:
Aced, ccedaa f#
Пример выходных данных:
FDEAC



























