Информатика - 20 тренировочных вариантов экзаменационных работ для подготовки к единому государственному экзамену - 2018 год
ВАРИАНТ 15
Часть 1
Ответами к заданиям 1—23 являются число, последовательность букв или цифр, которые следует записать в БЛАНК ОТВЕТОВ № 1 справа от номера соответствующего задания, начиная с первой клеточки, без пробелов, запятых и других дополнительных символов. Каждый символ пишите в отдельной клеточке в соответствии с приведёнными в бланке образцами.
1. Сколько чисел находится между 2758 и 3048?
Ответ: _______________________ .
2. Логическая функция F задаётся выражением
Определите, какому столбцу таблицы истинности функции F соответствует каждая из переменных х, у, z.
|
Перем. 1 |
Перем. 2 |
Перем. 3 |
Функция |
|
??? |
??? |
??? |
F |
|
0 |
0 |
0 |
0 |
|
0 |
0 |
1 |
0 |
|
0 |
1 |
0 |
1 |
|
0 |
1 |
1 |
1 |
|
1 |
0 |
0 |
1 |
|
1 |
0 |
1 |
0 |
|
1 |
1 |
0 |
1 |
|
1 |
1 |
1 |
0 |
В ответе напишите буквы х, у, z в том порядке, в котором идут соответствующие им столбцы (сначала — буква, соответствующая 1-му столбцу; затем — буква, соответствующая 2-му столбцу; затем — буква, соответствующая 3-му столбцу). Букве в ответе пишите подряд, никаких разделителей между буквами ставить не нужно.
Пример
Пусть задано выражение х → у, зависящее от двух переменных х и у, и таблица истинности:
|
Перем. 1 |
Перем. 2 |
Функция |
|
??? |
??? |
F |
|
0 |
0 |
1 |
|
0 |
0 |
0 |
|
0 |
1 |
1 |
|
0 |
1 |
1 |
Тогда 1-му столбцу соответствует переменная г/, а 2-му столбцу соответствует переменная х. В ответе нужно написать: ух.
Ответ: _______________________ .
3. Между населёнными пунктами А, В, С, D, Е, F построены дороги, протяжённость которых приведена в таблице. (Отсутствие числа в таблице означает, что прямой дороги между пунктами нет.)

Определите длину кратчайшего пути между пунктами А и F (при условии, что передвигаться можно только по построенным дорогам).
Ответ: _______________________________ .
4. Для групповых операций с файлами используются маски имён файлов. Маска представляет собой последовательность букв, цифр и прочих допустимых в именах файлов символов, в которых также могут встречаться следующие символы:
Символ “?” (вопросительный знак) означает ровно один произвольный символ.
Символ “*” (звёздочка) означает любую последовательность символов произвольной длины, в том числе “*” может задавать и пустую последовательность.
Определите, какие из указанных имён файлов удовлетворяют маске:

В ответе перечислите номера файлов в порядке возрастания без пробелов и знаков препинания.
Ответ: _______________________________ .
5. Для кодирования некоторой последовательности, состоящей из букв А, В, С, D и Е, используется неравномерный двоичный код, позволяющий однозначно декодировать полученную двоичную последовательность. Вот этот код:
А-110, В-01, С-001, D-111, Е-100. Можно ли сократить для одной или нескольких букв длину кодового слова, удалив в нём один или несколько последних символов, чтобы код по- прежнему можно было декодировать однозначно?
Запишите ответ в виде: буква, кодовое слово. Если таких букв несколько, то далее через запятую перечислите буквы и их коды. Буквы перечислять в алфавитном порядке. Например, если бы ответ был “Для буквы F новый код будет 110, а для буквы G новый код будет 101”, ответ нужно записать как: F110,G101. Если невозможно ничего сократить, запишите в ответе просто цифру 0.
Ответ: _______________________________ .
6. Автомат получает на вход два однозначных восьмеричных числа. Каждое из этих чисел не превосходит 6 (если число больше 6, автомат отказывается работать). По этим двум числам вычисляется новое восьмеричное число как произведение полученных чисел.
Ученик проанализировал алгоритм и выписал все восьмеричные числа, которые могут быть получены в результате работы алгоритма:
1,2,3,4,5,6,10,11,12,14,20,22,24,30,36,44.
Определите, сколько чисел он пропустил.
Ответ: ________________________________ .
7. Дан фрагмент электронной таблицы.
|
А |
В |
С |
D |
|
|
1 |
3 |
5 |
4 |
|
|
2 |
10 |
=C$3+B3 |
1 |
2 |
|
3 |
20 |
=С$2+$С3 |
6 |
7 |
Чему станет равным значение ячейки А1, если в неё скопировать формулу из ячейки В2? Примечание: знак $ обозначает абсолютную адресацию.
Ответ: ________________________________ .
8. Определите, что будет напечатано в результате выполнения следующего фрагмента программы:
|
Бейсик |
Паскаль |
|
|
|
|
Си |
Алгоритмический язык |
|
|
|
Ответ: _______________________________ .
9. Музыкальный фрагмент был записан в формате стерео (двухканальная запись), оцифрован и сохранён в виде файла без использования сжатия данных. Размер полученного файла — 16 Мбайт. Затем тот же музыкальный фрагмент был оцифрован повторно в формате моно и оцифрован с разрешением в 1,5 раза выше и частотой дискретизации в 2 раза меньше, чем в первый раз. Сжатие данных не производилось. Укажите размер файла в Мбайт, полученного при повторной записи. В ответе запишите только целое число, единицу измерения писать не нужно.
Ответ: _______________________________ .
10. Эллочка людоедка (в лексиконе которой, как известно, было всего 30 слов) произносит фразу, состоящую из 10 слов. Какое количество информации (количество бит) сообщает Эллочка?
Ответ: _______________________________ .
11. Определите, сколько звёздочек будет напечатано в результате вызова F(1) приведённой подпрограммы:
|
Бейсик |
Паскаль |
|
|
|
|
Си |
Алгоритмический язык |
|
|
|
Ответ: _______________________________ .
12. В терминологии сетей TCP/IP маской сети называется двоичное число, определяющее, какая часть IP-адреса узла сети относится к адресу сети, а какая — к адресу самого узла в этой сети. Обычно маска записывается по тем же правилам, что и IР-адрес, —в виде четырёх байтов, причём каждый байт записывается в виде десятичного числа. При этом в маске сначала (в старших разрядах) стоят единицы, а затем с некоторого разряда — нули.
Адрес сети получается в результате применения поразрядной конъюнкции к заданному IP-адресу узла и маске.
Например, если IP-адрес узла равен 231.32.255.131, а маска равна 255.255.240.0, то адрес сети равен 231.32.240.0.
Для узла с IP-адресом 205.183.139.102 адрес сети равен 205.183.128.0. Чему равно наибольшее возможное значение третьего слева байта маски? Ответ запишите в виде десятичного числа.
Ответ: _______________________________ .
13. Репетиционный экзамен в некоем регионе сдают 9 потоков по 100 человек в каждом.
Каждому из них выделяют специальный код, состоящий из номера потока и номера в потоке. При кодировании этих номеров участников проверяющая система использует минимально возможное количество бит, одинаковое для каждого участника, отдельно номер потока и номер в потоке. При этом для записи кода используется минимально возможное и одинаково целое количество байтов. Каков объём информации (в байтах), записанный устройством после регистрации 80 участников?
Ответ: ________________________________ .
14. Система команд исполнителя РОБОТ, “живущего” в прямоугольном лабиринте на клетчатой плоскости включает 4 команды-приказа и 4 команды проверки условия. Команды-приказы:
|
вверх |
вниз |
влево |
вправо |
При выполнении этих команд РОБОТ перемещается на одну клетку соответственно: вверх ↑, вниз ↓, влево ←, вправо →.
Если РОБОТ начнёт движение в сторону находящейся рядом с ним стены, то он разрушится и программа прервётся.
Другие четыре команды проверяют истинность условия отсутствия стены у каждой стороны той клетки, где находится РОБОТ:
|
сверху свободно |
снизу свободно |
слева свободно |
справа свободно |
Цикл
![]()
выполняется, пока условие истинно.
В конструкции

выполняется команда 1 (если условие истинно) или команда2 (если условие ложно).
Сколько клеток лабиринта соответствует требованию, что, начав движение в ней и выполнив предложенную программу, РОБОТ уцелеет и остановится в закрашенной клетке (клетка F6)?

Ответ:___________________________ .
15. На рисунке — схема дорог, связывающих города А, Б, В, Г, Д, Е, Ж, 3, И, К. По каждой дороге можно двигаться только в одном направлении, указанном стрелкой. Сколько существует различных путей из города А в город К?

Ответ:___________________________ .
16. Запись числа 6410 в системе счисления с основанием N оканчивается на 4 и содержит 3 цифры. Перечислите через запятую все такие N в порядке возрастания.
Ответ: _______________________________ .
17. В языке запросов к поисковому серверу для обозначения логической операции “ИЛИ” используется символ |, а для логической операции “И” — &. В таблице приведено количество страниц, которое находит поисковая система по каждому запросу.
|
Запрос |
Количество найденных страниц (в тысячах) |
|
Ангара |
24 |
|
Лена |
53 |
|
Енисей |
19 |
|
Ангара & Лена |
21 |
|
Ангара & Енисей |
14 |
|
Лена & Енисей |
17 |
|
Ангара | Лена | Енисей |
62 |
Какое количество страниц (в тысячах) будет найдено этой поисковой системой по запросу Ангара & Лена & Енисей?
Ответ: _______________________________ .
18. На числовой прямой даны отрезки Р = [5, 13] и Q = [8, 19]. Укажите наименьшую возможную длину такого отрезка А, что формула
верна при любых значениях х.
Ответ: _______________________________ .
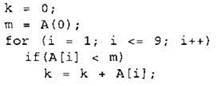
19. В программе используется целочисленный массив А с индексами от 0 до 9. Значения элементов массива равны 6; 5; 4; 7; 10; 6; 9; 11; 7; 8 соответственно, т.е. А[0] = 4; А[1] = 5 и т.д.
Определите значение переменной k после выполнения следующего фрагмента программы, записанной ниже на разных языках программирования.
|
Бейсик |
Паскаль |
|
|
|
|
Си |
Алгоритмический язык |
|
|
|
Ответ: _______________________________ .
20. Ниже на четырёх языках записан алгоритм. Получив на вход число х, этот алгоритм печатает два числа L и М. Укажите наименьшее число х, при вводе которого алгоритм печатает сначала 2, а потом 4.
|
Бейсик |
Паскаль |
|
|
|
|
Си |
Алгоритмический язык |
|
|
|
Ответ: _______________________________ .
21. Определите, при каком наибольшем значении b в результате выполнения следующего алгоритма будет напечатано число 15 (для Вашего удобства алгоритм представлен на четырёх языках):
|
Бейсик |
Паскаль |
|
|
|
|
Си |
Алгоритмический язык |
|
|
|
Ответ:_______________________________ .
22. У исполнителя Прибавлятель две команды, которым присвоены номера:
1. прибавь 1,
2. прибавь 10.
Первая из них увеличивает число на экране на 1, вторая увеличивает его на 10. Программа для Прибавлятеля — это последовательность команд.
Сколько есть программ, которые число 1 преобразуют в число 24?
Ответ:_______________________________ .
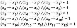
23. Сколько существует различных наборов значений логических переменных х1, х2, ... х11, х12, которые удовлетворяют всем перечисленным ниже условиям?

В ответе не нужно перечислять все различные наборы значений х1, х2, ... х11, х12, при которых выполнена данная система равенств. В качестве ответа вам нужно указать количество таких наборов.
Ответ: ________________________________ .
Не забудьте перенести все ответы в бланк ответов № 1 в соответствии с инструкцией по выполнению работы.
Часть 2
Для записи ответов на задания этой части (24—27) используйте БЛАНК ОТВЕТОВ № 2. Запишите сначала номер задания (24, 25 и т. д.), а затем полное решение. Ответы записывайте чётко и разборчиво.
24. Требовалось написать программу, которая вводит с клавиатуры последовательность из n целых чисел (n = 4), и выводит на экран произведение положительных чисел среди этой последовательности. Если в последовательности нет положительных чисел, программа выводит “NO”. Известно, что вводимые числа не превышают по модулю 1000. Программист торопился и написал программу неправильно.
|
Паскаль |
Бейсик |
|
|
|
|
Си |
Алгоритмический язык |
|
|
|
Выполните следующие действия:
1. Напишите, что выведет программа при вводе чисел -1 2 -3 4.
2. Приведите пример такой входной последовательности, при которой программа работает верно.
3. Укажите все ошибки в программе и исправьте их. Для этого для каждой ошибки: выпишите строку, которая написана неправильно и приведите правильный вариант строки.
25. Дан целочисленный массив из 40 элементов. Элементы массива могут принимать значения от -10000 до 10000. Опишите на русском языке или на одном из языков программирования алгоритм, который находит и выводит произведение нечётных положительных элементов массива. Если таких элементов нет, вывести на экран 1.
Исходные данные объявлены так, как показано ниже. Запрещается использовать переменные, не описанные ниже, но разрешается не использовать часть из них.
|
Паскаль |
Бейсик |
|
|
|
|
Си |
Алгоритмический язык |
|
|
|
|
Русский (естественный) язык |
|
|
Объявляем массив А из 40 элементов. Объявляем целочисленные переменные I, J, Р. В цикле от 1 до 40 вводим элементы массива А с 1-го по 40-й. ... |
|
В качестве ответа вам необходимо привести фрагмент программы (или описание алгоритма на естественном языке), который должен находиться на месте многоточия. Вы можете записать решение также на другом языке программирования (укажите название и используемую версию языка программирования, например Borland Pascal 7.0) или в виде блок-схемы. В этом случае вы должны использовать те же самые исходные данные и переменные, какие были предложены в условии (например, в образце, записанном на естественном языке).
26. Два игрока, Петя и Ваня, играют в следующую игру. Перед игроками лежит куча камней. Игроки ходят по очереди, первый ход делает Петя. За один ход игрок может добавить в кучу один или три камня или увеличить количество камней в куче в три раза. Например, имея кучу из 15 камней, за один ход можно получить кучу из 16, 18 или 45 камней. У каждого игрока, чтобы делать ходы, есть неограниченное количество камней.
Игра завершается в тот момент, когда количество камней в куче становится не менее 25. Победителем считается игрок, сделавший последний ход, то есть первым получивший кучу, в которой будет 25 или больше камней.
В начальный момент в куче было S камней, 1 ≤ S ≤ 24.
Говорят, что игрок имеет выигрышную стратегию, если он может выиграть при любых ходах противника. Описать стратегию игрока — значит описать, какой ход он должен сделать в любой ситуации, которая ему может встретиться при различной игре противника.
Выполните следующие задания. Во всех случаях обосновывайте свой ответ.
1. а) Укажите все такие значения числа S, при которых Петя может выиграть в один ход. Обоснуйте, что найдены все нужные значения S, и укажите выигрывающий ход для каждого указанного значения S.
б) Укажите такое значение S, при котором Петя не может выиграть за один ход, но при любом ходе Пети Ваня может выиграть своим первым ходом. Опишите выигрышную стратегию Вани.
2. Укажите два значения S, при которых у Пети есть выигрышная стратегия, причём (а) Петя не может выиграть за один ход и (б) Петя может выиграть своим вторым ходом независимо от того, как будет ходить Ваня. Для каждого указанного значения S опишите выигрышную стратегию Пети.
3. Укажите такое значение S, при котором:
— у Вани есть выигрышная стратегия, позволяющая ему выиграть первым или вторым ходом при любой игре Пети, и
— у Вани нет стратегии, которая позволит ему гарантированно выиграть первым ходом. Для указанного значения S опишите выигрышную стратегию Вани. Постройте дерево всех партий, возможных при этой выигрышной стратегии Вани (в виде рисунка или таблицы). На рёбрах дерева указывайте, кто делает ход, в узлах — количество камней в куче.
27. На вход программы подаётся: в первой строке — количество входных чисел N.
В последующих N строках — последовательность из N целых чисел. Известно, что каждое число положительное и не превышает 109.
Напишите эффективную, в том числе и по используемой памяти, программу (укажите используемую версию языка программирования, например, Borland Pascal 7.0), которая должна вывести на экран максимальное произведение двух различных элементов последовательности, которое не кратно 15. Под “различными” нужно понимать не различные значения, а различные номера в последовательности. То есть, результат может быть квадратом некоторого числа, если оно в последовательности встречается не менее двух раз (и при этом максимален).
Если такой пары элементов нет, программа должна вывести ноль.
Пример входных данных:
4
90
10
29
3
Пример выходных данных:
290



























