Информатика - 20 тренировочных вариантов экзаменационных работ для подготовки к единому государственному экзамену - 2018 год
ОТВЕТЫ
|
Вар |
1 |
2 |
3 |
4 |
5 |
6 |
7 |
8 |
9 |
10 |
|
1 |
4 |
7 |
11010110 |
10011100 |
6 |
10 |
3 |
2 |
2 |
1 |
|
2 |
135 |
234 |
34 |
145 |
45 |
12 |
34 |
xzy |
yxz |
yzx |
|
3 |
4 |
3 |
2 |
3 |
30 |
15 |
17:25 |
16:30 |
16:20 |
14:10 |
|
4 |
3 |
3474 |
5 |
4218 |
4 |
4218 |
3 |
5363 |
4 |
8 |
|
5 |
DF4C |
BD6C |
CDBACED |
CBBAE |
00 |
100 |
101 |
1 |
0 |
A10 |
|
6 |
CD |
12112 |
ВС |
22112 |
AD |
12122 |
DBx |
21112 |
xxD |
11122 |
|
7 |
6 |
3 |
=$B2+D$2 |
=$C1-A$3 |
-6 |
4 |
2 |
1 |
14 |
6 |
|
8 |
20 |
60 |
127 |
41 |
1024 |
256 |
33 |
840 |
50 |
955 |
|
9 |
32 |
2 |
1 |
480 |
4 |
64 |
2048 |
129 |
1 |
1024 |
|
10 |
24 |
ООЕО |
243 |
192 |
ДДБД |
4 |
62 |
4 |
5 |
351 |
|
11 |
720 |
240 |
21 |
28 |
17 |
14 |
15 |
24 |
2133 |
7 |
|
12 |
CDBA |
CBDA |
EADCGBF |
GDEFCAB |
CADB |
CBAD |
FCDA |
EFCA |
CGDA |
CDEA |
|
13 |
420 |
1400 |
180 |
120 |
100 |
500 |
400 |
240 |
8 |
12 |
|
14 |
5 |
2 |
4 |
4 |
8877 |
23 |
13 |
27 |
45544 |
161 |
|
15 |
75 |
46 |
30 |
12 |
36 |
13 |
41 |
18 |
16 |
40 |
|
16 |
7 |
5 |
7,14,28 |
6,8,12,24 |
5 |
6 |
5,13,21 |
7,16,25 |
99 |
52 |
|
17 |
3421 |
3124 |
8900 |
2200 |
11600 |
108 |
1500 |
2600 |
16500 |
13200 |
|
18 |
14 |
45 |
2 |
8 |
5 |
9 |
14 |
11 |
14 |
6 |
|
19 |
4 |
22 |
4 |
5 |
4 |
5 |
2 |
3 |
7 |
39 |
|
20 |
82 |
13 |
14 |
28 |
58 |
107 |
337 |
544 |
234 |
2235 |
|
21 |
6 |
10 |
298 |
18 |
94 |
49 |
199 |
219 |
496 |
191 |
|
22 |
7 |
9 |
17 |
24 |
9 |
11 |
7 |
14 |
7 |
12 |
|
23 |
243 |
32 |
192 |
108 |
72 |
32 |
97 |
364 |
16 |
16 |
|
Вар |
11 |
12 |
13 |
14 |
15 |
16 |
17 |
18 |
19 |
20 |
|
1 |
2 |
3 |
147 |
232 |
6 |
10 |
900 |
56 |
64 |
16 |
|
2 |
45 |
23 |
zxy |
yxz |
xzy |
yzx |
13 |
24 |
34 |
35 |
|
3 |
9 |
11 |
14 |
12 |
9 |
10 |
13 |
12 |
20 |
35 |
|
4 |
1 |
3 |
123 |
4 |
134 |
3 |
124 |
5 |
24 |
4 |
|
5 |
D0 |
B01 |
B1 |
B10 |
B00,E10 |
A110,B10,C0 |
ABCA |
AxxB |
9 |
101,11,0,100 |
|
6 |
BD |
11211 |
3 |
21221 |
2 |
22211 |
38 |
54 |
70 |
102 |
|
7 |
8 |
3 |
8 |
7 |
17 |
5 |
3 |
8 |
4 |
7 |
|
8 |
17 |
39 |
192 |
1024 |
23 |
46 |
33 |
13 |
32 |
8 |
|
9 |
15 |
120 |
16 |
A39 |
6 |
A3 7 |
10 |
Б10 |
90 |
A24 |
|
10 |
120 |
20 |
400 |
900 |
50 |
192 |
1200 |
750 |
256 |
1458 |
|
11 |
13 |
25 |
12 |
15 |
25 |
19 |
25 |
28 |
35 |
5779 |
|
12 |
GCDA |
EFBA |
224 |
248 |
240 |
224 |
240 |
224 |
62 |
510 |
|
13 |
600 |
300 |
640 |
600 |
160 |
600 |
1000 |
105 |
300 |
750 |
|
14 |
223322 |
5545 |
887 |
36663 |
23 |
36 |
23 |
7 |
3 |
5 |
|
15 |
25 |
30 |
24 |
36 |
32 |
19 |
18 |
24 |
78 |
28 |
|
16 |
28 |
30 |
5 |
3 |
5,6 |
6,7 |
333 |
75 |
46 |
13 |
|
17 |
11 |
2 |
47 |
4 |
18 |
66 |
7 |
26 |
3 |
27 |
|
18 |
5 |
14 |
3 |
16 |
3 |
6 |
24 |
36 |
24 |
5 |
|
19 |
6 |
5 |
9 |
7 |
9 |
4 |
8 |
4 |
9 |
10 |
|
20 |
997 |
555 |
127 |
120 |
74 |
78 |
100 |
206 |
159 |
70 |
|
21 |
134 |
113 |
64 |
256 |
63 |
76 |
128 |
511 |
12 |
16 |
|
22 |
47 |
28 |
276 |
20 |
25 |
37 |
44 |
169 |
70 |
18 |
|
23 |
42 |
110 |
127 |
64 |
96 |
88 |
55 |
68 |
192 |
21 |
Часть 2
Вариант 1
24
Ответ:
|
Содержание верного ответа и указания по оцениванию (допускаются иные формулировки ответа, не искажающие его смысла) |
Баллы |
|
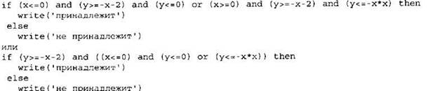
Элементы ответа: 1) Пример: х=2π, у=0 (Любая пара (х,у), для которой выполняется: y>sin х или у<1-х или (y<=sin х и у>=0 и х>=2π)) 2) Возможная доработка (Паскаль):
(могут быть и другие способы доработки). |
|
|
Указания по оцениванию |
|
|
Обратите внимание! В задаче требовалось выполнить три действия: указать пример входных данных, при которых программа работает неверно и исправить две ошибки: 1. Неправильное использование условного оператора, в результате чего при невыполнении первого или второго условия программа не выдавала ничего (отсутствуют случаи ELSE). 2. Приведенным трем ограничениям удовлетворяют также те точки плоскости, у которых (y<=sin х) и (у>=0) и (х>=2π). |
|
|
Правильно выполнены оба пункта задания. Исправлены обе ошибки. В работе (во фрагментах программ) допускается наличие отдельных синтаксических ошибок, не искажающих замысла автора решения |
3 |
|
Правильно выполнены 2 пункта задания из трех (исправлены обе ошибки, но не указан/неправильно указан пример требуемых входных данных, либо правильно указан пример входных данных, программа правильно работает при большем числе случаев, чем исходная, но не при всех). Например, выдает “принадлежит” для точек, у которых (y<=sin х) и (у>=0) и (х>=2π). При этом не допускается, чтобы программа неправильно работала при тех входных данных, при которых раньше работала правильно (даже если она при этом правильно стала работать при большем количестве входных данных, чем исходная). ИСКЛЮЧЕНИЕ! При написании операций сравнения допускается одно неправильное использование строгих/нестрогих неравенств (считается несущественной ошибкой, погрешностью записи). Например, вместо “у<=0” используется “у<0” (даже если программа при этом стала неверно работать при тех входных данных, при которых раньше работала правильно). Допускается, например, такое решение:
|
2 |
|
Правильно выполнено только одно действие из трех. То есть, либо только приведен пример входных данных, либо он не приведен (или приведен неверно), но имеется программа, корректно работающая при большем количестве входных данных, чем исходная, но не при всех (допускается применение исключения, описанного в критериях оценки задачи на 2 балла). |
1 |
|
Все пункты задания выполнены неверно (пример входных данных не указан или указан неверно, программа не приведена, либо приведенная программа корректно работает в не большем количестве случаев, чем исходная). |
0 |
|
Максимальный балл |
3 |
25
Ответ:
|
На языке Паскаль |
На языке Бейсик |
|
|
|
|
На языке СИ |
На алгоритмическом языке |
|
|
|
|
На естественном языке |
|
|
Записываем в переменную MIN начальное значение, равное 100. В цикле от первого элемента до двадцать восьмого сравниваем элементы исходного массива с 40. Если текущий элемент больше или равен 40, то сравниваем значение текущего элемента массива со значением переменной MIN. Если текущий элемент массива меньше MIN, то записываем в MIN значение этого элемента массива. Переходим к следующему элементу. После завершения цикла выводим значение переменной MIN. |
|
26
Содержание верного ответа (допускаются иные формулировки ответа, не искажающие его смысла)
Обозначим R(n) — количество программ, которые преобразуют число 3 в число n. Обозначим t(n) наибольшее кратное девяти, не превосходящее n.
Заметим, что мы можем получить только числа, кратные 3.
Обе команды исполнителя увеличивают исходное число, поэтому общее количество команд в программе не может превосходить (93 - 3)/3 = 31.
Верны следующие соотношения:
1. Если n не делится на 9, то тогда R(n) = R(t(n)), так как существует единственный способ получения n из t(n) — прибавлением троек.
2. Пусть n делится на 9.
Тогда R(n) = R(n/3) + R(n - 3) = R(n/3) + R(n - 9) (если n > 9).
При n = 9 R(n) = 2 (два способа: прибавлением двух троек или однократным умножением на 3). Поэтому достаточно постепенно вычислить значения R(n) для всех чисел, кратных девяти и не превосходящих 72: сначала вычисляем R(3), затем R(9), R(18) и т.д.
Имеем:

Ответ: 28.
Другая форма решения
Будем решать поставленную задачу последовательно для чисел 3, 6, 9, ..., 93 (то есть для каждого из чисел определим, сколько программ исполнителя существует для его получения). Заметим, что мы можем получить только числа, кратные 3. Количество программ, которые преобразуют число 3 в число п, будем обозначать через R(n). Число 3 у нас уже есть, значит, его можно получить с помощью “пустой” программы. Любая непустая программа увеличит исходное число, т.е. даст число, больше 3. Значит, R(3) = 1. Для каждого следующего числа рассмотрим, из какого числа оно может быть получено за одну команду исполнителя. Если число не делится на девять, то оно может быть получено только из предыдущего с помощью команды прибавь 3. Значит, количество искомых программ для такого числа равно количеству программ для предыдущего возможного числа: R(i) = R(i - 3). Если число на 9 делится, то вариантов последней команды два: прибавь 3 и умножь на 3, тогда R(i) = R(i - 3) + R(i/3). Заполним соответствующую таблицу по приведенным формулам слева направо:
|
3 |
6 |
9 |
12 |
15 |
18 |
21 |
24 |
27 |
30 |
33 |
36 |
39 |
42 |
45 |
|
1 |
1 |
2 |
2 |
2 |
3 |
3 |
3 |
5 |
5 |
5 |
7 |
7 |
7 |
9 |
|
48 |
51 |
54 |
57 |
60 |
63 |
66 |
69 |
72 |
75 |
78 |
81 |
84 |
87 |
90 |
|
9 |
9 |
12 |
12 |
12 |
15 |
15 |
15 |
18 |
18 |
18 |
23 |
23 |
23 |
28 |
|
93 |
||||||||||||||
|
28 |
При этом ячейки, относящиеся к числам, которые не делятся на девять, можно в решении и опустить (за исключением первого и последнего чисел):
|
3 |
9 |
18 |
27 |
36 |
45 |
54 |
63 |
72 |
81 |
90 |
93 |
|
1 |
2 |
3 |
5 |
7 |
9 |
12 |
15 |
18 |
23 |
28 |
28 |
Ответ: 28.
27
Ответ:


Вариант 2
24
Ответ:
|
Содержание верного ответа и указания по оцениванию (допускаются иные формулировки ответа, не искажающие его смысла) |
Баллы |
|
Элементы ответа: 1) Пример: х=1, у=0 (Любая пара (х,у), для которой выполняется: у<-х-2 или (у<=0 и х>0) или у<-х2) 2) Возможная доработка (Паскаль):
(могут быть и другие способы доработки). |
|
|
Указания по оцениванию |
|
|
Обратите внимание! В задаче требовалось выполнить три действия: указать пример входных данных, при которых программа работает неверно и исправить две ошибки: 1. Неправильное использование условного оператора, в результате чего при невыполнении первого или второго условия программа не выдавала ничего (отсутствуют случаи ELSE). 2. Приведенным трем ограничениям удовлетворяют также те точки плоскости, у которых (у>=-х2) и (у<=0) и (х>0) и (у>=-х-2). |
|
|
Правильно выполнены оба пункта задания. Исправлены обе ошибки. В работе (во фрагментах программ) допускается наличие отдельных синтаксических ошибок, не искажающих замысла автора решения |
3 |
|
Правильно выполнены 2 пункта задания из трех (исправлены обе ошибки, но не указан/неправильно указан пример требуемых входных данных, либо правильно указан пример входных данных, программа правильно работает при большем числе случаев, чем исходная, но не при всех). Например, выдает “принадлежит” для точек, у которых (у>=-х2) и (у<=0) и (х>0) и (у>=-х-2). При этом не допускается, чтобы программа неправильно работала при тех входных данных, при которых раньше работала правильно (даже если она при этом правильно стала работать при большем количестве входных данных, чем исходная). ИСКЛЮЧЕНИЕ! При написании операций сравнения допускается одно неправильное использование строгих/нестрогих неравенств (считается несущественной ошибкой, погрешностью записи). Например, вместо “у>=1” используется “у>1” (даже если программа при этом стала неверно работать при тех входных данных, при которых раньше работала правильно). Допускается, например, такое решение:
|
2 |
|
Правильно выполнено только одно действие из трех. То есть, либо только приведен пример входных данных, либо он не приведен (или приведен неверно), но имеется программа, корректно работающая при большем количестве входных данных, чем исходная, но не при всех (допускается применение исключения, описанного в критериях оценки задачи на 2 балла). |
1 |
|
Все пункты задания выполнены неверно (пример входных данных не указан или указан неверно, программа не приведена, либо приведенная программа корректно работает в не большем количестве случаев, чем исходная). |
0 |
|
Максимальный балл |
3 |
25
Ответ:
|
На языке Паскаль |
На языке Бейсик |
|
|
|
|
На языке СИ |
На алгоритмическом языке |
|
|
|
|
На естественном языке |
|
|
Записываем в переменную I начальное значение, равное 1. В цикле пока I меньше 50 и пока I-й элемент неотрицательный, увеличиваем переменную I на единицу. Если после окончания цикла элемент массива с номером I неотрицательный — выводим сообщение, что отрицательных элементов в массиве нет. Иначе, цикла выводим значение переменной I. |
|
26
Содержание верного ответа (допускаются иные формулировки ответа, не искажающие его смысла)
Выигрывает Ваня. Для доказательства рассмотрим неполное дерево игры, оформленное в виде таблицы, где в каждой ячейке записаны пары чисел, разделенные запятой. Эти числа соответствуют количеству камней на каждом этапе игры в первой и второй кучках соответственно.
|
Стартовая позиция |
I ход (Пети), все варианты хода |
II ход (Вани), выигрышные ходы |
III ход (Пети), все варианты хода |
IV ход (Вани), выигрышные ходы |
|
4,3 |
12,3 |
36,3 |
Выигрыш Вани |
|
|
6,3 |
6,9 |
18,9 |
54,9 |
|
|
8,9 |
8,27 |
|||
|
6,27 |
Выигрыш Вани |
|||
|
6,11 |
6,33 |
|||
|
4,9 |
6,9 |
Те же варианты III—IV ходов |
||
|
4,6 |
12,6 |
36,6 |
Выигрыш Вани |
|
|
14,6 |
42,6 |
|||
|
12,18 |
36,18 |
|||
|
12,8 |
36,8 |
|||
Таблица содержит все возможные варианты ходов первого игрока (Пети). Из нее видно, что при любом ходе первого игрока, у второго (Вани) имеется ход, приводящий к победе.
27
Ответ:

Вариант 3
24
Ответ:
|
Содержание верного ответа и указания по оцениванию (допускаются иные формулировки ответа, не искажающие его смысла) |
Баллы |
|
Элементы ответа: 1) Пример: х= -2, у=1 (Любая пара (х,у), для которой выполняется: у>-х2 или у>0 или (у>=0 и у>= -х-2 и х<0 и у>=-х2)) 2) Возможная доработка (Паскаль):
(могут быть и другие способы доработки). |
|
|
Указания по оцениванию |
|
|
Обратите внимание! В задаче требовалось выполнить три действия: указать пример входных данных, при которых программа работает неверно и исправить две ошибки: 1. Неправильное использование условного оператора, в результате чего при невыполнении первого или второго условия программа не выдавала ничего (отсутствуют случаи ELSE). 2. Приведенным трем ограничениям не удовлетворяют точки плоскости, у которых (у>=0) и (у>=-х-2) и (х<0) и (у>=-х2). |
|
|
Правильно выполнены оба пункта задания. Исправлены обе ошибки. В работе (во фрагментах программ) допускается наличие отдельных синтаксических ошибок, не искажающих замысла автора решения |
3 |
|
Правильно выполнены 2 пункта задания из трех (исправлены обе ошибки, но не указан/неправильно указан пример требуемых входных данных, либо правильно указан пример входных данных, программа правильно работает при большем числе случаев, чем исходная, но не при всех). Например, выдает “не принадлежит” для точек, у которых (у>=0) и (у>=-х-2) и (х<0) и (у>=-х2). При этом не допускается, чтобы программа неправильно работала при тех входных данных, при которых раньше работала правильно (даже если она при этом правильно стала работать при большем количестве входных данных, чем исходная). ИСКЛЮЧЕНИЕ! При написании операций сравнения допускается одно неправильное использование строгих/нестрогих неравенств (считается несущественной ошибкой, погрешностью записи). Например, вместо “х>=0” используется “х>0” (даже если программа при этом стала неверно работать при тех входных данных, при которых раньше работала правильно). Допускается, например, такое решение:
|
2 |
|
Правильно выполнено только одно действие из трех. То есть, либо только приведен пример входных данных, либо он не приведен (или приведен неверно), но имеется программа, корректно работающая при большем количестве входных данных, чем исходная, но не при всех (допускается применение исключения, описанного в критериях оценки задачи на 2 балла). |
1 |
|
Все пункты задания выполнены неверно (пример входных данных не указан или указан неверно, программа не приведена, либо приведенная программа корректно работает в не большем количестве случаев, чем исходная). |
0 |
|
Максимальный балл |
3 |
25
Ответ:
|
На языке Паскаль |
На языке Бейсик |
|
|
|
|
На языке СИ |
На алгоритмическом языке |
|
|
|
|
На естественном языке |
|
|
Записываем в переменную J начальное значение, равное 1. В цикле пока J меньше 40 и пока J-й элемент неположительный, увеличиваем переменную J на единицу (ищем номер первого положительного элемента). Если после окончания цикла элемент массива с номером J неположительный — выводим сообщение, что положительных элементов в массиве нет и заканчиваем работу. Иначе, от J-гo элемента до сорокового сравниваем значение текущего элемента с нулем и со значением J-гo элемента. Если значение текущего элемента больше нуля и меньше чем значение J-гo элемента, то в переменную J записываем номер текущего элемента. После окончания цикла выводим значение J-гo элемента. |
|
26
Содержание верного ответа (допускаются иные формулировки ответа, не искажающие его смысла)
Выигрывает второй игрок.
Для доказательства рассмотрим неполное дерево игры, оформленное в виде таблицы, где в каждой ячейке записаны координаты фишки на каждом этапе игры.
|
1-й ход |
2-й ход |
3-й ход |
4-й ход |
|
|
Стартовая позиция |
I игрок (все варианты хода) |
II игрок (выигрышный ход) |
I игрок (все варианты хода) |
II игрок (выигрышный ход, один из вариантов) |
|
1,0 |
4,0 |
7,3 |
10, 3 |
13, 6 |
|
10, 6 |
13, 6 |
|||
|
7,6 |
10, 9 |
|||
|
4,3 |
7,3 |
10, 3 |
13, 6 |
|
|
10, 6 |
13, 6 |
|||
|
7,6 |
10, 9 |
|||
|
1, з |
4,6 |
7,6 |
10, 9 |
|
|
7,9 |
10, 9 |
|||
|
4,9 |
7, 12 |
Таблица содержит все возможные варианты ходов первого игрока. Из нее видно, что при любом ходе первого игрока, у второго имеется ход, приводящий к победе.
27
Ответ:


Вариант 4
24
Ответ:
|
Содержание верного ответа и указания по оцениванию (допускаются иные формулировки ответа, не искажающие его смысла) |
Баллы |
|||||||
|
Элементы ответа: 1) |
||||||||
|
Область |
Условие 1 (y>=abs(x)-1) |
Условие 2 (y<=0) |
Условие 3 (у<=-х*х) |
Программа выведет |
Область обрабатывается верно |
|||
|
А |
нет |
— |
— |
— |
нет |
|||
|
В |
да |
нет |
— |
— |
нет |
|||
|
С |
нет |
— |
— |
— |
нет |
|||
|
D |
нет |
— |
— |
— |
нет |
|||
|
Е |
нет |
— |
— |
— |
нет |
|||
|
F |
да |
да |
нет |
не принадлежит |
нет |
|||
|
G |
да |
да |
да |
принадлежит |
да |
|||
|
Н |
нет |
— |
— |
— |
нет |
|||
|
I |
да |
да |
нет |
не принадлежит |
да |
|||
|
2) Возможная доработка (Паскаль):
Возможны и другие способы доработки. Пример:
|
||||||||
|
Указания по оцениванию |
||||||||
|
Обратите внимание! В задаче требовалось выполнить три действия: указать для каждой области, как будет работать программа, что она выведет на экран и правильно ли это (в виде таблицы), и исправить две ошибки. Баллы за данное задание начисляются как сумма баллов за верное выполнение каждого действия. 1. Верное заполнение предложенной таблицы. 2. Исправление неправильного использования условного оператора, в результате чего при невыполнении первого или второго условия программа не выдавала ничего (отсутствуют случаи ELSE). Исправлением этой ошибки может быть либо добавление случая ELSE к каждому условию IF либо объединение всех условий IF в одно при помощи конъюнкции. В сложных случаях это действие считается выполненным, если программа выдает одно из двух сообщений “принадлежит” или “не принадлежит” для любых чисел х и у, при этом программа не стала работать хуже, чем раньше, то есть для всех точек, для которых программа ранее выдавала верный ответ, доработанная программа также должна выдавать верный ответ. 3. Исправление ошибки, из-за которой приведенным трем ограничениям не удовлетворяют точки плоскости, у которых у>—х2, у>=|х|—1, у<=0 и х<0 (область F). Исправлением этой ошибки может быть разбиение области на две части и использование дизъюнкции либо отбрасывание от большей области ее части. В сложных случаях это действие считается выполненным, если верно определена закрашенная область, то есть программа выводит сообщение “принадлежит” для всех точек закрашенной области и только для них, для точек вне закрашенной области программа выводит “не принадлежит” или не выводит ничего. |
||||||||
|
Правильно выполнены оба пункта задания. Исправлены две ошибки. Программа для всех пар чисел х, у верно определяет принадлежность точки закрашенной области. В работе (во фрагментах программ) допускается наличие отдельных синтаксических ошибок, не искажающих замысла автора решения. |
3 |
|||||||
|
1. Правильно выполнены два действия из трех (исправлены обе ошибки, но в первом пункте задания не приведена таблица (либо таблица содержит ошибки хотя бы в одной строке), либо приведена таблица, которая содержит ошибки не более чем в одной строке), но исправлена только одна ошибка программы. При написании операций сравнения допускается одно неправильное использование строгих/нестрогих неравенств (считается несущественной ошибкой, погрешностью записи). Например, вместо “у>=-х” используется “у>—х”. 2. Или выполнены все три действия, но при этом в логическом выражении неверно учтены приоритеты логических операций (не расставлены или неправильно расставлены скобки в выражениях). |
2 |
|||||||
|
Правильно выполнено только одно действие из трех, то есть, либо только приведена таблица, которая содержит ошибки в не более чем двух строках, либо таблица не приведена (или приведена и содержит ошибки более чем в двух строках), но исправлена одна ошибка программы. При оценивании этого задания на 1 балл допускается не учитывать корректность работы программ на точках границ областей (вместо нестрогих неравенств в решении были использованы строгие неравенства или наоборот). |
1 |
|||||||
|
Все пункты задания выполнены неверно (таблица анализа правильности алгоритма не приведена, либо содержит ошибки более чем в двух строках, программа не приведена, либо ни одна из двух ошибок не исправлена). |
0 |
|||||||
|
Максимальный балл |
3 |
|||||||
25
Ответ:
|
На языке Паскаль |
На языке Бейсик |
|
|
|
|
На языке СИ |
На алгоритмическом языке |
|
|
|
|
На естественном языке |
|
|
Записываем в переменную I начальное значение, равное 1. В цикле пока I меньше 30 и пока I-й элемент не равен X, увеличиваем переменную I на единицу. После окончания цикла: если элемент массива с номером I не равен X — выводим сообщение, что таких элементов в массиве нет. Иначе, выводим значение переменной I. |
|
26
Содержание верного ответа (допускаются иные формулировки ответа, не искажающие его смысла)
1а. При S = 13...25. Во всех этих случаях Петя должен удвоить количество камней в куче и выиграть. При значениях S < 13 невозможно одним ходом (+1 или x2) получить 26 или больше камней.
1б. При S = 12. Куда бы ни пошел Петя (12 + 1 = 13 или 12 х 2 = 24), Ваня удвоит число камней в куче и выиграет (13 x 2 = 26, 24 х 2 = 48).
2. S = 11 или S = 6. В обоих случаях Петя может получить в кучке 12 камней (11 + 1 = 12, 6 x 2 = 12). При любом ответном ходе Вани (12 + 1 = 13 или 12 x 2 = 24), Петя должен удвоить число камней в куче и выиграть (13 х 2 = 26, 24 х 2 = 48).
3. S = 10. Если Петя удвоит число камней в куче (10 x 2 = 20), Ваня тоже должен удвоить число камней в куче и выиграть (20 x 2 = 40). Если Петя добавит 1 камень в кучу (10 + 1 = 11), Ваня также должен добавить 1 камень в кучу (11 + 1 = 12).
В ответ на любой следующий ход Пети (12 + 1 = 13 или 12 x 2 = 24), Ваня должен удвоить число камней в куче и выиграть (13 x 2 = 26, 24 х 2 = 48). Рассмотрим дерево игры:

В этом дереве в каждой позиции, где должен ходить Петя, разобраны все возможные ходы, а для позиций, где должен ходить Ваня — только ход, соответствующий стратегии, которую выбрал Ваня.
27
Ответ:

Вариант 5
24
Ответ:
|
Содержание верного ответа и указания по оцениванию (допускаются иные формулировки ответа, не искажающие его смысла) |
Баллы |
||||||
|
Элементы ответа: 1) |
|||||||
|
Область |
Условие 1 (y<=х) |
Условие 2 (у<=-х) |
Условие 3 (у>=х*х—2) |
Программа выведет |
Область обрабатывается верно |
||
|
А |
нет |
— |
— |
— |
нет |
||
|
В |
нет |
— |
— |
— |
нет |
||
|
С |
нет |
— |
— |
— |
нет |
||
|
D |
нет |
— |
— |
— |
нет |
||
|
Е |
да |
нет |
— |
— |
нет |
||
|
F |
да |
да |
нет |
не принадлежит |
да |
||
|
G |
да |
да |
да |
принадлежит |
да |
||
|
Н |
нет |
— |
— |
— |
нет |
||
|
I |
да |
нет |
— |
— |
нет |
||
|
2) Возможная доработка (Паскаль):
Возможны и другие способы доработки. Пример:
|
|||||||
|
Указания по оцениванию |
|||||||
|
Обратите внимание! В задаче требовалось выполнить три действия: указать для каждой области, как будет работать программа, что она выведет на экран и правильно ли это (в виде таблицы), и исправить две ошибки. Баллы за данное задание начисляются как сумма баллов за верное выполнение каждого действия. 1. Верное заполнение предложенной таблицы. 2. Исправление неправильного использования условного оператора, в результате чего при невыполнении первого или второго условия программа не выдавала ничего (отсутствуют случаи ELSE). Исправлением этой ошибки может быть либо добавление случая ELSE к каждому условию IF, либо объединение всех условий IF в одно при помощи конъюнкции. В сложных случаях это действие считается выполненным, если программа выдает одно из двух сообщений “принадлежит” или “не принадлежит” для любых чисел х и у, при этом программа не стала работать хуже, чем раньше, то есть для всех точек, для которых программа ранее выдавала верный ответ, доработанная программа также должна выдавать верный ответ. 3. Исправление ошибки, из-за которой приведенным трем ограничениям не удовлетворяют точки плоскости, у которых у>=х2-2 и у>х и у<=-х (область Н), а также те, у которых у>=х2-2 и у>-х и у<=х (область I). Исправлением этой ошибки может быть разбиение области на две части и использование дизъюнкции либо отбрасывание от большей области ее части. В сложных случаях это действие считается выполненным, если верно определена закрашенная область, то есть программа выводит сообщение “принадлежит” для всех точек закрашенной области и только для них, для точек вне закрашенной области программа выводит “не принадлежит” или не выводит ничего. |
|||||||
|
Правильно выполнены оба пункта задания. Исправлены две ошибки. Программа для всех пар чисел (х, у) верно определяет принадлежность точки закрашенной области. В работе (во фрагментах программ) допускается наличие отдельных синтаксических ошибок, не искажающих замысла автора решения. |
3 |
||||||
|
1. Правильно выполнены два действия из трех (исправлены обе ошибки, но в первом пункте задания не приведена таблица (либо таблица содержит ошибки хотя бы в одной строке), либо приведена таблица, которая содержит ошибки не более чем в одной строке), но исправлена только одна ошибка программы. При написании операций сравнения допускается одно неправильное использование строгих/нестрогих неравенств (считается несущественной ошибкой, погрешностью записи). Например, вместо “у>=-х” используется “у>-х”. 2. Или выполнены все три действия, но при этом в логическом выражении неверно учтены приоритеты логических операций (не расставлены или неправильно расставлены скобки в выражениях). |
2 |
||||||
|
Правильно выполнено только одно действие из трех, то есть, либо только приведена таблица, которая содержит ошибки в не более чем двух строках, либо таблица не приведена (или приведена и содержит ошибки более чем в двух строках), но исправлена одна ошибка программы. При оценивании этого задания на 1 балл допускается не учитывать корректность работы программ на точках границ областей (вместо нестрогих неравенств в решении были использованы строгие неравенства или наоборот). |
1 |
||||||
|
Все пункты задания выполнены неверно (таблица анализа правильности алгоритма не приведена, либо содержит ошибки более чем в двух строках, программа не приведена, либо ни одна из двух ошибок не исправлена). |
0 |
||||||
|
Максимальный балл |
3 |
||||||
25
Ответ:
|
На языке Паскаль |
На языке Бейсик |
|
|
|
|
На языке СИ |
На алгоритмическом языке |
|
|
|
|
На естественном языке |
|
|
Записываем в переменную МАХ начальное значение, равное значению первого элемента массива. В переменную МАХ2 записываем начальное значение, равное значению второго элемента массива. Если значение МАХ оказывается меньше значения МАХ2, то в переменную МАХ записываем значение второго элемента массива, а в переменную МАХ — значение первого элемента массива. В цикле перебираем все элементы с 3-го до 40-го. Если значение текущего элемента массива оказывается больше значения переменной МАХ, то в переменную МАХ2 записываем значение переменной МАХ, а в переменную МАХ записываем значение текущего элемента массива. Иначе, если значение текущего элемента массива оказывается больше значения переменной МАХ2, записываем в переменную МАХ2 значение текущего элемента. Выводим значение переменной МАХ2. |
|
26
Содержание верного ответа и указания к оцениванию
(допускаются иные формулировки ответа, не искажающие его смысла)
1a) S = 16...30. Петя должен увеличить количество камней в куче в 2 раза и выиграть. Для S < 16 невозможно одним ходом ( +1, +2 или x2) получить в куче 31 или больше камней.
1б) S = 15. Куда бы ни походил Петя (15 + 1 = 16, 15 + 2 = 17 или 15 x 2 = 30), Петя должен увеличить количество камней в куче в 2 раза и выиграть (16 х 2 = 32, 17 x 2 = 34, 30 х 2 = 60).
2. S = 13 и S = 14. Своим первым ходом Петя должен получить в куче 15 камней (13 + 2 = 15 или 14 + 1 = 15). При любом ответном ходе Бани (15 + 1 = 16, 15 + 2 = 17 или 15 х 2 = 30), Ваня должен увеличить количество камней в куче в 2 раза и выиграть (16 х 2 = 32, 17 x 2 = 34, 30 х 2 = 60).
3. S = 12. Если Петя удвоит количество камней в куче (12 х 2 = 24), Ваня тоже удвоит количество камней в куче и выиграет (24 х 2 = 48).
Если же Петя добавит в кучу 1 камень или 2 камня (12 + 1 = 13 или 12 + 2 = 14), Ваня должен довести количество камней в куче до 15 (13 + 2 = 15 или 14 + 1 = 15). При любом ответном ходе Пети (15 + 1 = 16, 15 + 2 = 17 или 15 x 2 = 30), Ваня должен увеличить количество камней в куче в 2 раза и выиграть (16 х 2 = 32, 17 x 2 = 34, 30 х 2 = 60). Рассмотрим дерево игры:

В этом дереве в каждой позиции, где должен ходить Петя, разобраны все возможные ходы, а для позиций, где должен ходить Ваня — только ход, соответствующий стратегии, которую выбрал Ваня.
27
Ответ:


Вариант 6
24
Ответ:
|
Содержание верного ответа и указания по оцениванию (допускаются иные формулировки ответа, не искажающие его смысла) |
Баллы |
|||||||
|
Элементы ответа: 1) |
||||||||
|
Область |
Условие 1 (х*х+у*у<=1) |
Условие 2 (у>=х) |
Условие 3 (х<=0) |
Программа выведет |
Область обрабатывается верно |
|||
|
А |
нет |
— |
— |
— |
нет |
|||
|
В |
нет |
— |
— |
— |
нет |
|||
|
С |
нет |
— |
— |
— |
нет |
|||
|
D |
нет |
— |
— |
— |
нет |
|||
|
Е |
да |
да |
да |
принадлежит |
да |
|||
|
F |
да |
да |
нет |
не принадлежит |
нет |
|||
|
G |
да |
нет |
— |
— |
нет |
|||
|
Н |
да |
нет |
— |
— |
нет |
|||
|
2) Возможная доработка (Паскаль):
Возможны и другие способы доработки. Пример:
|
||||||||
|
Указания по оцениванию |
||||||||
|
Обратите внимание! В задаче требовалось выполнить три действия: указать для каждой области, как будет работать программа, что она выведет на экран и правильно ли это (в виде таблицы), и исправить две ошибки. Баллы за данное задание начисляются как сумма баллов за верное выполнение каждого действия. 1. Верное заполнение предложенной таблицы. 2. Исправление неправильного использования условного оператора, в результате чего при невыполнении первого или второго условия программа не выдавала ничего (отсутствуют случаи ELSE). Исправлением этой ошибки может быть либо добавление случая ELSE к каждому условию IF, либо объединение всех условий IF в одно при помощи конъюнкции. В сложных случаях это действие считается выполненным, если программа выдает одно из двух сообщений “принадлежит” или “не принадлежит” для любых чисел х и у, при этом программа не стала работать хуже, чем раньше, то есть для всех точек, для которых программа ранее выдавала верный ответ, доработанная программа также должна выдавать верный ответ. 3. Исправление ошибки, из-за которой приведенным трем ограничениям не удовлетворяют точки плоскости, у которых х2+у2<=1 и у<х и х<=0 (область G), а также те, у которых х2+у2<=1 и у>=х и х>0 (область F). Исправлением этой ошибки может быть разбиение области на две части и использование дизъюнкции либо отбрасывание от большей области ее части. В сложных случаях это действие считается выполненным, если верно определена закрашенная область, то есть программа выводит сообщение “принадлежит” для всех точек закрашенной области и только для них, для точек вне закрашенной области программа выводит “не принадлежит” или не выводит ничего. |
||||||||
|
Правильно выполнены оба пункта задания. Исправлены две ошибки. Программа для всех пар чисел (х, у) верно определяет принадлежность точки закрашенной области. В работе (во фрагментах программ) допускается наличие отдельных синтаксических ошибок, не искажающих замысла автора решения. |
3 |
|||||||
|
1. Правильно выполнены два действия из трех (исправлены обе ошибки, но в первом пункте задания не приведена таблица (либо таблица содержит ошибки хотя бы в одной строке), либо приведена таблица, которая содержит ошибки не более чем в одной строке, но исправлена только одна ошибка программы). При написании операций сравнения допускается одно неправильное использование строгих/нестрогих неравенств (считается несущественной ошибкой, погрешностью записи). Например, вместо “у>=х” используется “у>х”. 2. Или выполнены все три действия, но при этом в логическом выражении неверно учтены приоритеты логических операций (не расставлены или неправильно расставлены скобки в выражениях). |
2 |
|||||||
|
Правильно выполнено только одно действие из трех, то есть, либо только приведена таблица, которая содержит ошибки в не более чем двух строках, либо таблица не приведена (или приведена и содержит ошибки более чем в двух строках), но исправлена одна ошибка программы. При оценивании этого задания на 1 балл допускается не учитывать корректность работы программ на точках границ областей (вместо нестрогих неравенств в решении были использованы строгие неравенства или наоборот). |
1 |
|||||||
|
Все пункты задания выполнены неверно (таблица анализа правильности алгоритма не приведена либо содержит ошибки более чем в двух строках, программа не приведена, либо ни одна из двух ошибок не исправлена). |
0 |
|||||||
|
Максимальный балл |
3 |
|||||||
25
Ответ:
|
На языке Паскаль |
На языке Бейсик |
|
|
|
|
На языке СИ |
На алгоритмическом языке |
|
|
|
|
На естественном языке |
|
|
Записываем в переменную К начальное значение, равное нулю. В цикле перебираем все элементы с 1-го до 40-го. Если значение текущего элемента массива оказывается больше нуля, то: увеличиваем значение переменной К на 1; если значение переменной К стало равно трем, в переменную J записываем значение переменной I. После окончания цикла: Если значение переменной К оказалось меньше трех, то выводим сообщение, что искомого элемента в массиве нет. Иначе, выводим значение переменной J. |
|
26
Содержание верного ответа и указания к оцениванию
(допускаются иные формулировки ответа, не искажающие его смысла)
1а. При S = 18...27. Во всех этих случаях Петя должен добавить в кучу 10 камней и выиграть. При значениях S < 18 невозможно одним ходом ( +1 или +10) получить 28 или больше камней.
1б. При S = 17. Куда бы ни пошел Петя (17 + 1 = 18 или 17 + 10 = 27), Ваня добавит в кучу 10 камней и выиграет (18 + 10 = 28, 27 + 10 = 37).
2. S = 16 или S = 7. В обоих случаях Петя может получить в кучке 17 камней (16 + 1 = 17, 7 + 10 = 17). При любом ответном ходе Вани (17 + 1 = 18 или 17 + 10 = 27), Петя должен добавить в кучу 10 камней и выиграть (18 + 10 = 28, 27 + 10 = 37).
3. S = 15. Если Петя добавит 10 камней в кучу (15 + 10 = 25), Ваня тоже должен добавить 10 камней в кучу и выиграть (25 + 10 = 35). Если Петя добавит 1 камень в кучу (15 + 1 = 16), Ваня также должен добавить 1 камень в кучу (16 + 1 = 17).
В ответ на любой следующий ход Пети (17 + 1 = 18 или 17 + 10 = 27), Ваня должен добавить 10 камней в кучу и выиграть (18 + 10 = 28, 27 + 10 = 37). Рассмотрим дерево игры:

В этом дереве в каждой позиции, где должен ходить Петя, разобраны все возможные ходы, а для позиций, где должен ходить Ваня — только ход, соответствующий стратегии, которую выбрал Ваня.
27
Ответ:

Вариант 7
24
Ответ:
|
Содержание верного ответа и указания по оцениванию (допускаются иные формулировки ответа, не искажающие его смысла) |
Баллы |
|||||||
|
Элементы ответа: 1. |
||||||||
|
Область |
Условие 1 (х>=-2) |
Условие 2 (x<=7) |
Условие 3 (х<4) |
Программа выведет |
Область обрабатывается верно |
|||
|
А |
нет |
— |
— |
— |
нет |
|||
|
В |
да |
да |
да |
не принадлежит |
нет |
|||
|
С |
да |
да |
да |
не принадлежит |
да |
|||
|
D |
да |
да |
нет |
принадлежит |
да |
|||
|
Е |
да |
нет |
— |
— |
нет |
|||
|
2. Возможная доработка (Паскаль):
Возможны и другие способы доработки. Например:
|
||||||||
|
Указания по оцениванию |
||||||||
|
Обратите внимание! В задаче требуется выполнить три действия. 1. Заполнить таблицу. 2. Исправить ошибку в условном операторе. 3. Исправить ошибку, связанную с неправильным набором условий. Баллы за данное задание начисляются как сумма баллов за верное выполнение каждого действия. Рассмотрим отдельно каждое действие. 1. Действие по заполнению таблицы считается выполненным, если в таблице нет ошибок или ошибки присутствуют только в одной строке. 2. Неправильное использование условного оператора, в результате чего при невыполнении первого или второго условия программа не выдавала ничего (отсутствуют случаи ELSE). Исправлением этой ошибки может быть либо добавление случая ELSE к каждому условию IF, либо объединение всех условий IF в одно при помощи конъюнкции. В сложных случаях это действие считается выполненным, если программа выдает одно из двух сообщений: “принадлежит” или “не принадлежит” — для любых чисел х, при этом программа не стала работать хуже, чем раньше, т.е. для всех точек, для которых программа ранее выдавала верный ответ, доработанная программа также должна выдавать верный ответ. 3. Приведенных трех ограничений недостаточно для описания двух областей (потеряно условие x<=1). Кроме того, необходимо учесть, что области не соединены. Исправлением этой ошибки может быть разбиение области на две части и использование дизъюнкции либо использование сложной комбинации каскадных условий. В сложных случаях это действие считается выполненным, если верно определены заштрихованные области, т.е. программа выводит сообщение “принадлежит” для всех точек закрашенных областей, и только для них, для точек вне заштрихованных областей программа выводит “не принадлежит” или не выводит ничего. В работе (во фрагментах программ) допускается наличие отдельных синтаксических ошибок, не искажающих замысла автора решения |
||||||||
|
Выполнены все три действия |
3 |
|||||||
|
Правильно выполнены два действия из трех (исправлены обе ошибки, но в пункте 1 задания не приведена таблица (либо таблица содержит ошибки в двух и более строках), либо приведена таблица (которая содержит ошибки не более чем в одной строке), но исправлена только одна ошибка программы). При написании операций сравнения допускается одно неправильное использование строгих/нестрогих неравенств (считается несущественной ошибкой, погрешностью записи). Например, вместо “x<=1” используется “x<1” |
2 |
|||||||
|
Правильно выполнено только одно действие из трех, т.е. либо только приведена таблица, которая содержит ошибки в не более чем одной строке, либо таблица не приведена (или приведена и содержит ошибки более чем в одной строке), но исправлена одна ошибка программы. При оценивании этого задания на 1 балл допускается не учитывать корректность работы программ на точках границ областей (вместо нестрогих неравенств в решении были использованы строгие неравенства или наоборот) |
1 |
|||||||
|
Все пункты задания выполнены неверно (таблица анализа правильности алгоритма не приведена либо содержит ошибки в двух и более строках, программа не приведена либо ни одна из двух ошибок не исправлена) |
0 |
|||||||
|
Максимальный балл |
3 |
|||||||
25
Ответ:
|
На языке Паскаль |
На языке Бейсик |
|
|
|
|
На языке СИ |
На алгоритмическом языке |
|
|
|
|
На естественном языке |
|
|
Записываем в переменную Lmax начальное значение, равное нулю, в переменную L — начальное значение, равное единице, в переменную S — начальное значение, равное первому элементу массива. В цикле перебираем все элементы со 2-го до 40-го. Если значение текущего элемента массива оказывается больше значения предыдущего элемента: увеличиваем значение переменной L на 1; увеличиваем значение переменной S на значение текущего элемента. Иначе: если значение переменной L больше значения переменной Lmax, то переменной Lmax присваиваем значение переменной L, а переменной Smax присваиваем значение переменной S; переменной L присваиваем значение 1; переменной S присваиваем значение текущего элемента массива. После окончания цикла, если значение переменной L оказалось больше значения переменной Lmax, присваиваем переменной Smax значение переменной S. Выводим значение переменной Smax. |
|
26
Содержание верного ответа и указания к оцениванию
(допускаются иные формулировки ответа, не искажающие его смысла)
1а. При S = 11...30. Во всех этих случаях Петя должен увеличить количество камней в куче в три раза и выиграть. При значениях S < 11 невозможно одним ходом ( +1, +2 или x3) получить 31 или больше камней.
1б. При S = 10. Куда бы ни пошел Петя (10 + 1 = 11, 10 + 2 = 12 или 10 х 3 = 30), Ваня утроит число камней в куче и выиграет (11 x 3 = 33, 12 х 3 = 36 или 30 х 3 = 90).
2. S = 8 или S = 9. В обоих случаях Петя должен получить в кучке 10 камней (8 + 2 = 10, 9 + 1 = 10). При любом ответном ходе Вани (10 + 1 = 11, 10 + 2 = 12 или 10 х 3 = 30), Петя должен утроить число камней в куче и выиграть (11 x 3 = 33, 12 х 3 = 36 или 30 х 3 = 90).
3. S = 7. Если Петя добавит в кучу 1 или 2 камня (7 + 1 = 8 или 7 + 2 = 9), Ваня должен получить в куче 10 камней (8 + 2 = 10, 9 + 1 = 10) и в ответ на любой ход Пети (10 + 1 = 11, 10 + 2 = 12 или 10 х 3 = 30), Ваня должен утроить число камней в куче и выиграть (11 х 3 = 33, 12 х 3 = 36 или 30 х 3 = 90). Если Петя утроит число камней в куче (7 x 3 = 21), Ваня также должен утроить число камней в куче и выиграть (21 х 3 = 63).
Рассмотрим дерево игры:

Дерево всех партий, возможных при Ваниной стратегии. Знаком “>>” обозначены позиции, в которых партия заканчивается.
27
Ответ:

Вариант 8
24
Ответ:
|
Содержание верного ответа и указания по оцениванию (допускаются иные формулировки ответа, не искажающие его смысла) |
Баллы |
|||||||
|
Элементы ответа: 1. |
||||||||
|
Область |
Условие 1 (x>=3) |
Условие 2 (x<=9) |
Условие 3 (х>=7) |
Программа выведет |
Область обрабатывается верно |
|||
|
А |
нет |
— |
— |
— |
нет |
|||
|
В |
да |
да |
нет |
не принадлежит |
нет |
|||
|
С |
да |
да |
нет |
не принадлежит |
да |
|||
|
D |
да |
да |
да |
принадлежит |
да |
|||
|
Е |
да |
нет |
— |
— |
нет |
|||
|
2. Возможная доработка (Паскаль):
Возможны и другие способы доработки. Например:
|
||||||||
|
Указания по оцениванию |
||||||||
|
Обратите внимание! В задаче требуется выполнить три действия. 1. Заполнить таблицу. 2. Исправить ошибку в условном операторе. 3. Исправить ошибку, связанную с неправильным набором условий. Баллы за данное задание начисляются как сумма баллов за верное выполнение каждого действия. Рассмотрим отдельно каждое действие. 1. Действие по заполнению таблицы считается выполненным, если в таблице нет ошибок или ошибки присутствуют только в одной строке. 2. Неправильное использование условного оператора, в результате чего при невыполнении первого или второго условия программа не выдавала ничего (отсутствуют случаи ELSE). Исправлением этой ошибки может быть либо добавление случая ELSE к каждому условию IF, либо объединение всех условий IF в одно при помощи конъюнкции. В сложных случаях это действие считается выполненным, если программа выдает одно из двух сообщений: “принадлежит” или “не принадлежит” — для любых чисел х, при этом программа не стала работать хуже, чем раньше, т.е. для всех точек, для которых программа ранее выдавала верный ответ, доработанная программа также должна выдавать верный ответ. 3. Приведенных трех ограничений недостаточно для описания двух областей (потеряно условие x<=5). Кроме того, необходимо учесть, что области не соединены. Исправлением этой ошибки может быть разбиение области на две части и использование дизъюнкции либо использование сложной комбинации каскадных условий. В сложных случаях это действие считается выполненным, если верно определены заштрихованные области, т.е. программа выводит сообщение “принадлежит” для всех точек закрашенных областей, и только для них, для точек вне заштрихованных областей программа выводит “не принадлежит” или не выводит ничего. В работе (во фрагментах программ) допускается наличие отдельных синтаксических ошибок, не искажающих замысла автора решения |
||||||||
|
Выполнены все три действия |
3 |
|||||||
|
Правильно выполнены два действия из трех (исправлены обе ошибки, но в пункте 1 задания не приведена таблица (либо таблица содержит ошибки в двух и более строках), либо приведена таблица (которая содержит ошибки не более чем в одной строке), но исправлена только одна ошибка программы). При написании операций сравнения допускается одно неправильное использование строгих/нестрогих неравенств (считается несущественной ошибкой, погрешностью записи). Например, вместо “х<=5” используется “х<5” |
2 |
|||||||
|
Правильно выполнено только одно действие из трех, т.е. либо только приведена таблица, которая содержит ошибки в не более чем одной строке, либо таблица не приведена (или приведена и содержит ошибки более чем в одной строке), но исправлена одна ошибка программы. При оценивании этого задания на 1 балл допускается не учитывать корректность работы программ на точках границ областей (вместо нестрогих неравенств в решении были использованы строгие неравенства или наоборот) |
1 |
|||||||
|
Все пункты задания выполнены неверно (таблица анализа правильности алгоритма не приведена либо содержит ошибки в двух и более строках, программа не приведена либо ни одна из двух ошибок не исправлена) |
0 |
|||||||
|
Максимальный балл |
3 |
|||||||
25
Ответ:
|
На языке Паскаль |
На языке Бейсик |
|
|
|
|
На языке СИ |
На алгоритмическом языке |
|
|
|
|
На естественном языке |
|
|
Записываем в переменную MIN начальное значение, равное 1000. В цикле перебираем все элементы с 1-го до 40-го. Если текущий элемент массива больше 99 и меньше 1000 и меньше MIN и остаток от деления его на 10 не равен 4, тогда кладем значение этого элемента в переменную MIN. После окончания цикла: если значение переменной MIN осталось равно 1000, то выводим на экран "NO", иначе выводим на экран значение переменной MIN. |
|
26
Содержание верного ответа и указания к оцениванию
(допускаются иные формулировки ответа, не искажающие его смысла)
1а. При S = 14...26. Во всех этих случаях Петя должен увеличить количество камней в куче в два раза и выиграть. При значениях S < 14 невозможно одним ходом ( +1, +2 или x2) получить 27 или больше камней.
1б. При S = 13. Куда бы ни пошел Петя (13 + 1 = 14, 13 + 2 = 15 или 13 x 2 = 26), Ваня удвоит число камней в куче и выиграет (14 х 2 = 28, 15 x 2 = 30 или 26 x 2 = 52).
2. S = 11 или S = 12. В обоих случаях Петя должен получить в кучке 13 камней (11 + 2 = 13, 12 + 1 = 13). При любом ответном ходе Вани (13 + 1 = 14, 13 + 2 = 15 или 13 х 3 = 39), Петя должен удвоить число камней в куче и выиграть (14 X 2 = 28, 15 X 2 = 30 или 26 X 2 = 52).
3. S = 10. Если Петя добавит в кучу 1 или 2 камня (10 + 1 = 11 или 10 + 2 = 12), Ваня должен получить в куче 13 камней (11 + 2 = 13, 12 + 1 = 13) и в ответ на любой ход Пети (13 + 1 = 14, 13 + 2 = 15 или 13X3 = 39), Ваня должен удвоить число камней в куче и выиграть (14 х 2 = 28, 15 x 2 = 30 или 26 х 2 = 52). Если Петя удвоит число камней в куче (10 x 2 = 20), Ваня также должен удвоить число камней в куче и выиграть (20 x 2 = 40).
Рассмотрим дерево игры:

Дерево всех партий, возможных при Ваниной стратегии. Знаком “>>” обозначены позиции, в которых партия заканчивается.
27
Ответ:

Вариант 9
24
Ответ:
|
Содержание верного ответа и указания по оцениванию (допускаются иные формулировки ответа, не искажающие его смысла) |
Баллы |
|||||||
|
Элементы ответа: 1. |
||||||||
|
Область |
Условие 1 (x<=11) |
Условие 2 (х>=-1) |
Условие 3 (х<7) |
Программа выведет |
Область обрабатывается верно |
|||
|
А |
да |
нет |
— |
— |
нет |
|||
|
В |
да |
да |
да |
принадлежит |
да |
|||
|
С |
да |
да |
да |
принадлежит |
нет |
|||
|
D |
да |
да |
нет |
не принадлежит |
нет |
|||
|
Е |
нет |
— |
— |
— |
нет |
|||
|
2. Возможная доработка (Паскаль):
Возможны и другие способы доработки. Например:
|
||||||||
|
Указания по оцениванию |
||||||||
|
Обратите внимание! В задаче требуется выполнить три действия. 1. Заполнить таблицу. 2. Исправить ошибку в условном операторе. 3. Исправить ошибку, связанную с неправильным набором условий. Баллы за данное задание начисляются как сумма баллов за верное выполнение каждого действия. Рассмотрим отдельно каждое действие. 1. Действие по заполнению таблицы считается выполненным, если в таблице нет ошибок или ошибки присутствуют только в одной строке. 2. Неправильное использование условного оператора, в результате чего при невыполнении первого или второго условия программа не выдавала ничего (отсутствуют случаи ELSE). Исправлением этой ошибки может быть либо добавление случая ELSE к каждому условию IF, либо объединение всех условий IF в одно при помощи конъюнкции. В сложных случаях это действие считается выполненным, если программа выдает одно из двух сообщений: “принадлежит” или “не принадлежит” — для любых чисел х, при этом программа не стала работать хуже, чем раньше, т.е. для всех точек, для которых программа ранее выдавала верный ответ, доработанная программа также должна выдавать верный ответ. 3. Приведенных трех ограничений недостаточно для описания двух областей (потеряно условие x<=3). Кроме того, необходимо учесть, что области не соединены. Исправлением этой ошибки может быть разбиение области на две части и использование дизъюнкции, либо использование сложной комбинации каскадных условий. В сложных случаях это действие считается выполненным, если верно определены заштрихованные области, т.е. программа выводит сообщение “принадлежит” для всех точек закрашенных областей, и только для них, для точек вне заштрихованных областей программа выводит “не принадлежит” или не выводит ничего. В работе (во фрагментах программ) допускается наличие отдельных синтаксических ошибок, не искажающих замысла автора решения |
||||||||
|
Выполнены все три действия |
3 |
|||||||
|
Правильно выполнены два действия из трех (исправлены обе ошибки, но в пункте 1 задания не приведена таблица (либо таблица содержит ошибки в двух и более строках), либо приведена таблица (которая содержит ошибки не более чем в одной строке), но исправлена только одна ошибка программы). При написании операций сравнения допускается одно неправильное использование строгих/нестрогих неравенств (считается несущественной ошибкой, погрешностью записи). Например, вместо “x<=3” используется “x<3” |
2 |
|||||||
|
Правильно выполнено только одно действие из трех, т.е. либо только приведена таблица, которая содержит ошибки в не более чем одной строке, либо таблица не приведена (или приведена и содержит ошибки более чем в одной строке), но исправлена одна ошибка программы. При оценивании этого задания на 1 балл допускается не учитывать корректность работы программ на точках границ областей (вместо нестрогих неравенств в решении были использованы строгие неравенства или наоборот) |
1 |
|||||||
|
Все пункты задания выполнены неверно (таблица анализа правильности алгоритма не приведена либо содержит ошибки в двух и более строках, программа не приведена либо ни одна из двух ошибок не исправлена) |
0 |
|||||||
|
Максимальный балл |
3 |
|||||||
25
Ответ:
|
На языке Паскаль |
На языке Бейсик |
|
|
|
|
На языке СИ |
На алгоритмическом языке |
|
|
|
|
На естественном языке |
|
|
Записываем в переменную MIN начальное значение, равное единице, а в переменную MIN2 начальное значение, равное двум. Если значение второго элемента массива меньше, чем значение первого элемента массива, то в переменную MIN записываем число 2, а в переменную MIN2 записываем число 1. В цикле перебираем все элементы с 3-го до 40-го. Если значение текущего элемента оказывается меньше значения элемента массива с номером MIN, то в переменную MIN2 записываем значение переменной MIN, а в переменную MIN записываем номер текущего элемента массива. Иначе, если значение текущего элемента массива оказывается меньше значения элемента массива с номером MIN2, то в переменную MIN2 записываем номер текущего элемента массива. После окончания цикла выводим значение переменных MIN и MIN2. |
|
26
Содержание верного ответа и указания к оцениванию
(допускаются иные формулировки ответа, не искажающие его смысла)
1а. При S = 12...23. Во всех этих случаях Петя должен увеличить количество камней в куче в два раза и выиграть. При значениях S < 12 невозможно одним ходом ( +1, +3 или х2) получить 24 или больше камней.
1б. При S = 11. Куда бы ни пошел Петя (11 + 1 = 12, 11 + 3 = 14 или 11 х 2 = 22), Ваня удвоит число камней в куче и выиграет (12 x 2 = 24, 14 x 2 = 28 или 22 x 2 = 44).
2. S = 8 или S = 10. В обоих случаях Петя должен получить в кучке 11 камней (8 + 3 = 11, 10 + 1 = 11). При любом ответном ходе Вани (11 + 1 = 12, 11 + 3 = 14 или 11 x 2 = 22), Петя должен удвоить число камней в куче и выиграть (12 x 2 = 24, 14 x 2 = 28 или 22 x 2 = 44).
3. S = 7 (также верный ответ S = 9). Если Петя добавит в кучу 1 или 3 камня (7 + 1 = 8 или 7 + 3 = 10), Ваня должен получить в куче 11 камней (8 + 3 = 11, 10 + 1 = 11) и в ответ на любой ход Пети (11 + 1 = 12, 11 + 3 = 14 или 11 x 2 = 22), Ваня должен удвоить число камней в куче и выиграть (12 x 2 = 24, 14 x 2 = 28 или 22 x 2 = 44). Если Петя удвоит число камней в куче (7 x2 = 14), Ваня также должен удвоить число камней в куче и выиграть (14 х 2 = 28).
Рассмотрим дерево игры:

Дерево всех партий, возможных при Ваниной стратегии. Знаком “”” обозначены позиции, в которых партия заканчивается.
27
Ответ:

Вариант 10
24
Ответ:
|
Содержание верного ответа и указания по оцениванию (допускаются иные формулировки ответа, не искажающие его смысла) |
Баллы |
|||||||
|
Элементы ответа: 1. |
||||||||
|
Область |
Условие 1 (х>1) |
Условие 2 (х>=7) |
Условие 3 (х<=13) |
Программа выведет |
Область обрабатывается верно |
|||
|
А |
нет |
— |
— |
— |
нет |
|||
|
В |
нет |
— |
— |
— |
нет |
|||
|
С |
да |
нет |
— |
— |
нет |
|||
|
D |
да |
да |
да |
принадлежит |
да |
|||
|
Е |
да |
да |
нет |
не принадлежит |
да |
|||
|
2. Возможная доработка (Паскаль):
Возможны и другие способы доработки. Например:
|
||||||||
|
Указания по оцениванию |
||||||||
|
Обратите внимание! В задаче требуется выполнить три действия. 1. Заполнить таблицу. 2. Исправить ошибку в условном операторе. 3. Исправить ошибку, связанную с неправильным набором условий. Баллы за данное задание начисляются как сумма баллов за верное выполнение каждого действия. Рассмотрим отдельно каждое действие. 1. Действие по заполнению таблицы считается выполненным, если в таблице нет ошибок или ошибки присутствуют только в одной строке. 2. Неправильное использование условного оператора, в результате чего при невыполнении первого или второго условия программа не выдавала ничего (отсутствуют случаи ELSE). Исправлением этой ошибки может быть либо добавление случая ELSE к каждому условию IF, либо объединение всех условий IF в одно при помощи конъюнкции. В сложных случаях это действие считается выполненным, если программа выдает одно из двух сообщений: “принадлежит” или “не принадлежит” — для любых чисел х, при этом программа не стала работать хуже, чем раньше, т.е. для всех точек, для которых программа ранее выдавала верный ответ, доработанная программа также должна выдавать верный ответ. 3. Приведенных трех ограничений недостаточно для описания двух областей (потеряно условие х>= -5). Кроме того, необходимо учесть, что области не соединены. Исправлением этой ошибки может быть разбиение области на две части и использование дизъюнкции либо использование сложной комбинации каскадных условий. В сложных случаях это действие считается выполненным, если верно определены заштрихованные области, т.е. программа выводит сообщение “принадлежит” для всех точек закрашенных областей и только для них, для точек вне заштрихованных областей программа выводит “не принадлежит” или не выводит ничего. В работе (во фрагментах программ) допускается наличие отдельных синтаксических ошибок, не искажающих замысла автора решения |
||||||||
|
Выполнены все три действия |
3 |
|||||||
|
Правильно выполнены два действия из трех (исправлены обе ошибки, но в пункте 1 задания не приведена таблица (либо таблица содержит ошибки в двух и более строках), либо приведена таблица (которая содержит ошибки не более чем в одной строке), но исправлена только одна ошибка программы). При написании операций сравнения допускается одно неправильное использование строгих/нестрогих неравенств (считается несущественной ошибкой, погрешностью записи). Например, вместо “х>=-5” используется “x>-5” |
2 |
|||||||
|
Правильно выполнено только одно действие из трех, т.е. либо только приведена таблица, которая содержит ошибки в не более чем одной строке, либо таблица не приведена (или приведена и содержит ошибки более чем в одной строке), но исправлена одна ошибка программы. При оценивании этого задания на 1 балл допускается не учитывать корректность работы программ на точках границ областей (вместо нестрогих неравенств в решении были использованы строгие неравенства или наоборот) |
1 |
|||||||
|
Все пункты задания выполнены неверно (таблица анализа правильности алгоритма не приведена либо содержит ошибки в двух и более строках, программа не приведена либо ни одна из двух ошибок не исправлена) |
0 |
|||||||
|
Максимальный балл |
3 |
|||||||
25
Ответ:
|
На языке Паскаль |
На языке Бейсик |
|
|
|
|
На языке СИ |
На алгоритмическом языке |
|
|
|
|
На естественном языке |
|
|
Записываем в переменную MIN начальное значение, равное единице, а в переменную MIN2 начальное значение, равное двум. В переменную S записываем начальное значение, равное разнице между первым и вторым элементами массива. В цикле со счетчиком I перебираем номера элементов с первого по N-1-й. Внутри него в цикле со счетчиком J перебираем номера элементов с номера 1+1 по N-й. Если разница между значением элемента массива с номером I и значением элемента массива с номером J оказывается меньше, чем значение переменной S, то в переменную S записываем эту разницу, в переменную MIN записываем значение переменной I, а в переменную MIN2 записываем значение переменной J. После окончания обоих циклов выводим значение переменных MIN и MIN2. |
|
26
Содержание верного ответа и указания к оцениванию
(допускаются иные формулировки ответа, не искажающие его смысла)
1а. При S = 15...29. Во всех этих случаях Петя должен увеличить количество камней в куче в два раза и выиграть. При значениях S < 15 невозможно одним ходом ( +2, +3 или x2) получить 30 или больше камней.
1б. При S = 13 или S = 14. Куда бы ни пошел Петя (13 + 2 = 15, 13 + 3 = 16, 13 х 2 = 26, 14 + 2 = 16, 14 + 3 = 17 или 14 х 2 = 28), Ваня удвоит число камней в куче и выиграет (15 x 2 = 30, 16 х 2 = 32, 17 х 2 = 34, 26 х 2 = 52 или 28 х 2 = 56).
2. Верный ответ: любые 2 значения среди S = 7, S = 10, S = 11 или S = 12. Например, S = 11 или S = 12. В обоих случаях Петя должен получить в кучке 14 камней (11 + 3 = 14, 12 + 2 = 14). При любом ответном ходе Вани (14 + 2 = 16, 14 + 3 = 17 или 14 x 2 = 28), Петя должен удвоить число камней в куче и выиграть (16 x 2 = 32, 17 х 2 = 34 или 28 х 2 = 56).
3. S = 9 (также верный ответ S = 8). Если Петя добавит в кучу 2 или 3 камня (9 + 2 = 11 или 9 + 3 = 12), Ваня должен получить в куче 14 камней (11 + 3 = 14, 12 + 2 = 14) и в ответ на любой ход Пети (14 + 2 = 16, 14 + 3 = 17 или 14 х 2 = 28), Ваня должен удвоить число камней в куче и выиграть (16 х 2 = 32, 17 х 2 = 34 или 28 x 2 = 56). Если Петя удвоит число камней в куче (9 x2 = 18), Ваня также должен удвоить число камней в куче и выиграть (18 x 2 = 36).
Рассмотрим дерево игры:

Дерево всех партий, возможных при Ваниной стратегии. Знаком “>>” обозначены позиции, в которых партия заканчивается.
27
Ответ:

Вариант 11
24
Ответ:
|
Содержание верного ответа и указания по оцениванию (допускаются иные формулировки ответа, не искажающие его смысла) |
Баллы |
|
Элементы ответа: 1) 2 2) 5 (или любое однозначное число или число, в котором все цифры одинаковые) 3) (Исправление программы на языке Паскаль) В строке "k := 10;" должно быть "k := 0;", в строке "if N mod 10 < k then" должно быть "if N mod 10 > k then". |
|
|
Указания по оцениванию |
|
|
Обратите внимание! В задаче требовалось выполнить три действия. Баллы за данное задание начисляются как сумма баллов за верное выполнение каждого действия. 1. Верно указано, что именно выведет программа при указанных в условии входных данных. 2. Указано число, при котором программа работает верно 3. Указаны и верно исправлены две ошибки: а) Указана и верно исправлена ошибка инициализации (не обязательно с упоминанием этого термина). б) Указано на неверное условие выбора максимума, и оно исправлено на верное. Каждый из п. а) и б) считается выполненным, если: i) правильно указана строка с ошибкой; ii) указан такой новый вариант строки, что при исправлении второй ошибки получается правильная программа. |
|
|
Правильно выполнены все пункты задания. Обе ошибки исправлены верно. Программа после исправлений для всех натуральных чисел N, не превосходящих 109, верно определяет наибольшую цифру. В работе (во фрагментах программ) допускается наличие отдельных синтаксических ошибок, не искажающих замысла автора решения. |
3 |
|
Правильно выполнены два действия из трех. Верное указание на ошибку при неверном исправлении при этом не засчитывается. Допустимо, чтобы в пункте 3 была исправлена только одна ошибка. |
2 |
|
Правильно выполнено только одно действие из трех, то есть, либо только выполнен пункт 1, либо пункт 2, либо верно исправлена хотя бы одна ошибка путем ее явного указания и исправления или в новом тексте программы |
1 |
|
Все пункты задания выполнены неверно или отсутствуют. |
0 |
|
Максимальный балл |
3 |
25
Ответ:
|
На языке Паскаль |
На языке Бейсик |
|
|
|
|
На языке СИ |
На алгоритмическом языке |
|
|
|
|
На естественном языке |
|
|
Записываем в переменную МАХ начальное значение, равное -20001. В цикле перебираем все элементы с 1-го до 39-го. Если текущий элемент массива плюс следующий элемент массива дает остаток от деления на 3 не равный нулю И больше МАХ, тогда кладем значение этой сумму (текущий элемент плюс следующий элемент) в переменную МАХ. После окончания цикла выводим на экран значение переменной МАХ. |
|
26
Содержание верного ответа и указания к оцениванию
(допускаются иные формулировки ответа, не искажающие его смысла)
1а. При S = 10...29. Во всех этих случаях Петя должен увеличить количество камней в куче в три раза и выиграть. При значениях S < 10 невозможно одним ходом ( +1, +2 или ХЗ) получить 30 или больше камней.
1б. При S = 9. Куда бы ни пошел Петя (9 + 1 = 10, 9 + 2 = 11 или 9 x 3 = 27), Ваня утроит число камней в куче и выиграет (10 х 3 = 30, 11 х 3 = 33 или 27 х 3 = 81).
2. S = 7 или S = 8 или S = 3 (достаточно указать любые два значения из трех. Например, S = 7 и S = 8). В обоих случаях Петя должен получить в кучке 9 камней (7 + 2 = 9, 8 + 1 = 9). При любом ответном ходе Вани (9 + 1 = 10, 9 + 2 = 11 или 9 x 3 = 27), Петя должен утроить число камней в куче и выиграть (10 x 3 = 30, 11 x 3 = 33 или 27 х 3 = 81).
3. S = 6. Если Петя добавит в кучу 1 или 2 камня (6 + 1 = 7 или 6 + 2 = 8), Ваня должен получить в куче 9 камней (7 + 2 = 9, 8 + 1 = 9) ив ответ на любой ход Пети (9 + 1 = 10, 9 + 2 = 11 или 9 x 3 = 27), Ваня должен утроить число камней в куче и выиграть (10 х 3 = 30, 11 х 3 = 33 или 27 х 3 = 81). Если Петя утроит число камней в куче (6x3 = 18), Ваня также должен утроить число камней в куче и выиграть (18 х 3 = 54).
Рассмотрим дерево игры:

Дерево всех партий, возможных при Ваниной стратегии. Знаком “>>” обозначены позиции, в которых партия заканчивается.
27
Ответ:

Вариант 12
24
Ответ:
|
Содержание верного ответа и указания по оцениванию (допускаются иные формулировки ответа, не искажающие его смысла) |
Баллы |
|
Элементы ответа: 1) 7 2) 10 (или любое натуральное число, оканчивающееся на 0) 3) (Исправление программы на языке Паскаль) В строке "s := 0;" должно быть "s := N mod 10;". |
|
|
Указания по оцениванию |
|
|
Обратите внимание! В задаче требовалось выполнить три действия. Баллы за данное задание начисляются как сумма баллов за верное выполнение каждого действия. 1. Верно указано, что именно выведет программа при указанных в условии входных данных. 2. Указано число, при котором программа работает верно 3. Указана и верно исправлена ошибка инициализации (не обязательно с упоминанием этого термина). Пункт 3 считается выполненным, если: а) правильно указана строка с ошибкой; б) указан такой новый вариант строки, что при исправлении ошибки получается правильная программа. |
|
|
Правильно выполнены все пункты задания. Ошибка исправлена верно. Программа после исправлений для всех натуральных чисел N, не превосходящих 109, верно определяет сумму цифр числа. В работе (во фрагментах программ) допускается наличие отдельных синтаксических ошибок, не искажающих замысла автора решения. |
3 |
|
Правильно выполнены два действия из трех. Верное указание на ошибку при неверном исправлении при этом не засчитывается. |
2 |
|
Правильно выполнено только одно действие из трех, то есть, либо только выполнен пункт 1, либо пункт 2, либо верно исправлена ошибка путем ее явного указания и исправления или в новом тексте программы |
1 |
|
Все пункты задания выполнены неверно или отсутствуют. |
0 |
|
Максимальный балл |
3 |
25
Ответ:
|
На языке Паскаль |
На языке Бейсик |
|
|
|
|
На языке СИ |
На алгоритмическом языке |
|
|
|
|
На естественном языке |
|
|
Записываем в переменную К начальное значение, равное нулю. В цикле перебираем все элементы с 1-го до 39-го. Если текущий элемент массива умножить на следующий элемент массива дает остаток от деления на 2 равный нулю И это произведение больше нуля, тогда увеличиваем на единицу значение переменной К. После окончания цикла выводим на экран значение переменной К. |
|
26
Содержание верного ответа и указания к оцениванию
(допускаются иные формулировки ответа, не искажающие его смысла)
1а. При S = 13...25. Во всех этих случаях Петя должен увеличить количество камней в куче в два раза и выиграть. При значениях S < 13 невозможно одним ходом ( +1, +3 или x2) получить 26 или больше камней.
1б. При S = 12. Куда бы ни пошел Петя (12 + 1 = 13, 12 + 3 = 15 или 12 x 2 = 24), Ваня удвоит число камней в куче и выиграет (13 x 2 = 26, 15 х 2 = 30 или 242 х 2 = 48).
2. S = 9 или S = 11 или S = 6 (достаточно указать два значения из трех. Например, S = 9 или S = 11). В обоих случаях Петя должен получить в кучке 12 камней (9 + 3 = 12, 11 + 1 = 12). При любом ответном ходе Вани (12 + 1 = 13, 12 + 3 = 15 или 12 x 2 = 24), Петя должен удвоить число камней в куче и выиграть (13 х 2 = 26, 15 х 2 = 30 или 24 х 2 = 48).
3. S = 8 (также верный ответ S = 10). Если Петя добавит в кучу 1 или 3 камня (8 + 1 = 9 или 8 + 3 = 11), Ваня должен получить в куче 12 камней (9 + 3 = 12, 11 + 1 = 12) и в ответ на любой ход Пети (12 + 1 = 13, 12 + 3 = 15 или 12 x 2 = 24), Ваня должен удвоить число камней в куче и выиграть (13 x 2 = 26, 15 х 2 = 30 или 24 х 2 = 48). Если Петя удвоит число камней в куче (8 x2 = 16), Ваня также должен удвоить число камней в куче и выиграть (16 x 2 = 32).
Рассмотрим дерево игры:

Дерево всех партий, возможных при Ваниной стратегии. Знаком “>>” обозначены позиции, в которых партия заканчивается.
27
Ответ:


Вариант 13
24
Ответ:
|
Содержание верного ответа и указания по оцениванию (допускаются иные формулировки ответа, не искажающие его смысла) |
Баллы |
|
Элементы ответа: 1) 16 2) 5 4 0 (или любая последовательность натуральных чисел, начинающаяся с нечетного числа, содержащая четное положительное число и оканчивающаяся нулем) 3) (Исправление программы на языке Паскаль) В строке “s := 0 ; ” должно быть
Другой вариант исправления ошибки: Строку “read(а);” переставить на две строки ниже (перед строкой “end;”. |
|
|
Указания по оцениванию |
|
|
Обратите внимание! В задаче требовалось выполнить три действия. Баллы за данное задание начисляются как сумма баллов за верное выполнение каждого действия. 1. Верно указано, что именно выведет программа при указанных в условии входных данных. 2. Указаны входные данные, при которых программа работает верно. 3. Указана и верно исправлена ошибка, не проверяющая первое введенное число (но проверяющая последнее введенное число). Пункт 3 считается выполненным, если правильно указано, как именно нужно исправить ошибку. |
|
|
Правильно выполнены все пункты задания. Ошибка исправлена верно. Программа после исправлений для всех последовательностей натуральных чисел, оканчивающихся нулем, верно определяет сумму четных элементов последовательности. В работе (во фрагментах программ) допускается наличие отдельных синтаксических ошибок, не искажающих замысла автора решения. |
3 |
|
Правильно выполнены два действия из трех. Верное указание на ошибку при неверном исправлении при этом не засчитывается. |
2 |
|
Правильно выполнено только одно действие из трех, то есть, либо только выполнен пункт 1, либо пункт 2, либо верно исправлена ошибка путем ее явного указания и исправления или в новом тексте программы |
1 |
|
Все пункты задания выполнены неверно или отсутствуют. |
0 |
|
Максимальный балл |
3 |
25
Ответ:
|
На языке Паскаль |
На языке Бейсик |
|
|
|
|
На языке СИ |
На алгоритмическом языке |
|
|
|
|
На естественном языке |
|
|
Записываем в переменную MIN начальное значение, равное 20001. В цикле перебираем номера пар элементов с 1-го до 20-го. Вычисляем номера элементов в паре как удвоенное значение номера пары и удвоенное значение номера пары минус 1. Сумму значений элементов с такими номерами сравниваем со значением переменной MIN. Если эта сумма оказывается меньше, записываем ее в переменную MIN. После окончания цикла выводим на экран значение переменной MIN. |
|
26
Содержание верного ответа и указания к оцениванию
(допускаются иные формулировки ответа, не искажающие его смысла)
1а. При S = 20...39. Во всех этих случаях Петя должен увеличить количество камней в куче в два раза и выиграть. При значениях S < 20 невозможно одним ходом ( +2, +3 или x2) получить 40 или больше камней.
1б. При S = 18 или S = 19. Куда бы ни пошел Петя (18 + 2 = 20, 18 + 3 = 21, 18 х 2 = 36, 19 + 2 = 21, 19 + 3 = 22 или 19 х 2 = 38), Ваня удвоит число камней в куче и выиграет (20 x 2 = 40, 21 х 2 = 42, 22 х 2 = 44, 36 х 2 = 72 или 38 х 2 = 76).
2. Верный ответ: любые 2 значения среди S = 9, S = 15, S = 16 или S = 17. Например, S = 15 или S = 16. В обоих случаях Петя должен получить в кучке 18 камней (15 + 3 = 18, 16 + 2 = 18). При любом ответном ходе Вани (18 + 2 = 20, 18 + 3 = 21 или 18 х 2 = 36), Петя должен удвоить число камней в куче и выиграть (20 х 2 = 40, 21 х 2 = 42 или 36 х 2 = 72).
3. S = 13 (также верный ответ S = 14). Если Петя добавит в кучу 2 или 3 камня (13 + 2 = 15 или 13 + 3 = 16), Ваня должен получить в куче 18 камней (15 + 3 = 18, 16 + 2 = 18) и в ответ на любой ход Пети (18 + 2 = 20, 18 + 3 = 21 или 18 х 2 = 36), Ваня должен удвоить число камней в куче и выиграть (20 х 2 = 40, 21 х 2 = 42 или 36 х 2 = 72). Если Петя удвоит число камней в куче (13 х 2 = 26), Ваня также должен удвоить число камней в куче и выиграть (26 х 2 = 52).
Рассмотрим дерево игры:

Дерево всех партий, возможных при Ваниной стратегии. Знаком “>>” обозначены позиции, в которых партия заканчивается.
27
Ответ:


Вариант 14
24
Ответ:
|
Содержание верного ответа и указания по оцениванию (допускаются иные формулировки ответа, не искажающие его смысла) |
Баллы |
|
Элементы ответа: 1) “NO” 2) 1 2 3 4 (или любая последовательность 4-х целых чисел, у которой сумма четных чисел больше нуля) 3) (Исправление программы на языке Паскаль) В строке “count := 1; ” должно быть “count := 0;”. В строке “if sum > 0 then” должно быть “if count > 0 then”. |
|
|
Указания по оцениванию |
|
|
Обратите внимание! В задаче требовалось выполнить четыре действия: 1. Указать, что выведет программа для указанных входных данных, 2. Привести пример входных данных, при которых программа работает верно, 3. Исправить одну ошибку в программе, 4. Исправить вторую ошибку в программе |
|
|
Правильно выполнены все пункты задания. Ошибки исправлены верно. В работе (во фрагментах программ) допускается наличие отдельных синтаксических ошибок, не искажающих замысла автора решения. Ни одна правильная строка не указана в качестве неправильной. |
3 |
|
Правильно выполнены три действия из четырех. Верное указание на ошибку при неверном исправлении при этом не засчитывается. Не более одной верной строки указано как неправильная. |
2 |
|
Правильно выполнено два действия из четырех. Не более одной верной строки указано в качестве неверной. |
1 |
|
Правильно выполнено менее двух действий |
0 |
|
Максимальный балл |
3 |
25
Ответ:
|
На языке Паскаль |
На языке Бейсик |
|
|
|
|
На языке СИ |
На алгоритмическом языке |
|
|
|
|
На естественном языке |
|
|
Записываем в переменную К начальное значение, равное 0. В цикле перебираем все элементы с 1-го до 40-го. Если текущий элемент массива больше 99 и меньше 1000, тогда увеличиваем значение переменной К на 1. После окончания цикла: если значение переменной К осталось равно 0, то выводим на экран “NO”, иначе выводим на экран значение переменной К. |
|
26
Содержание верного ответа и указания к оцениванию
(допускаются иные формулировки ответа, не искажающие его смысла)
1а. При S = 15...28. Во всех этих случаях Петя должен увеличить количество камней в куче в два раза и выиграть. При значениях S < 15 невозможно одним ходом ( +1, +2 или х2) получить 29 или больше камней.
1б. При S = 14. Куда бы ни пошел Петя (14 + 1 = 15, 14 + 2 = 16 или 14 x 2 = 28), Ваня удвоит число камней в куче и выиграет (15 x 2 = 30, 16 х 2 = 32 или 28 x 2 = 56).
2. S = 7, S = 12 или S = 13. Во всех случаях Петя должен получить в кучке 14 камней (7 x 2 = 14, 12 + 2 = 14, 13 + 1 = 14). При любом ответном ходе Вани (14 + 1 = 15, 14 + 2 = 16 или 14 x2 = 28), Петя должен удвоить число камней в куче и выиграть (15 x 2 = 30, 16 х 2 = 32 или 28 x 2 = 56).
3. S = 11. Если Петя добавит в кучу 1 или 2 камня (11 + 1 = 12 или 11 + 2 = 13), Ваня должен получить в куче 14 камней (12 + 2 = 14, 13 + 1 = 14) и в ответ на любой ход Пети (14 + 1 = 15, 14 + 2 = 16 или 14 x 2 = 28), Ваня должен удвоить число камней в куче и выиграть (15 x 2 = 30, 16 x 2 = 32 или 28 x 2 = 56). Если Петя удвоит число камней в куче (11 x 2 = 22), Ваня также должен удвоить число камней в куче и выиграть (22 x 2 = 44).
Рассмотрим дерево игры:

Дерево всех партий, возможных при Ваниной стратегии. Знаком “>>” обозначены позиции, в которых партия заканчивается.
27
Ответ:


Вариант 15
24
Ответ:
|
Содержание верного ответа и указания по оцениванию (допускаются иные формулировки ответа, не искажающие его смысла) |
Баллы |
|
Элементы ответа: 1) 6 2) 2 -1 2 -3 (или любая последовательность 4-х целых чисел, в которой два числа 2, а остальные 2 числа — неположительные) 3) (Исправление программы на языке Паскаль) В строке “prod := 0;” должно быть “prod := 1;”. В строке “prod := prod + а;” должно быть “prod := prod * а;”. |
|
|
Указания по оцениванию |
|
|
Обратите внимание! В задаче требовалось выполнить четыре действия: 1. Указать, что выведет программа для указанных входных данных, 2. Привести пример входных данных, при которых программа работает верно, 3. Исправить одну ошибку в программе, 4. Исправить вторую ошибку в программе |
|
|
Правильно выполнены все пункты задания. Ошибки исправлены верно. В работе (во фрагментах программ) допускается наличие отдельных синтаксических ошибок, не искажающих замысла автора решения. Ни одна правильная строка не указана в качестве неправильной. |
3 |
|
Правильно выполнены три действия из четырех. Верное указание на ошибку при неверном исправлении при этом не засчитывается. Не более одной верной строки указано как неправильная. |
2 |
|
Правильно выполнено два действия из четырех. Не более одной верной строки указано в качестве неверной. |
1 |
|
Правильно выполнено менее двух действий |
0 |
|
Максимальный балл |
3 |
25
Ответ:
|
На языке Паскаль |
На языке Бейсик |
|
|
|
|
На языке СИ |
На алгоритмическом языке |
|
|
|
|
На естественном языке |
|
|
Записываем в переменную Р начальное значение, равное 1. В цикле перебираем все элементы с 1-го до 40-го. Если значение текущего элемента массива положительно и остаток от деления его на 2 не равен нулю, умножаем текущее значение переменной Р на текущий элемент массива и кладем результат в переменную Р. После окончания цикла выводим на экран значение переменной Р. |
|
26
Содержание верного ответа и указания к оцениванию
(допускаются иные формулировки ответа, не искажающие его смысла)
1а. При S = 9...24. Во всех этих случаях Петя должен увеличить количество камней в куче в три раза и выиграть. При значениях S < 9 невозможно одним ходом ( +1, +3 или x3) получить 25 или больше камней.
1б. При S = 8. Куда бы ни пошел Петя (8 + 1 = 9, 8 + 3 = 11 или 8 x 3 = 24), Ваня утроит число камней в куче и выиграет (9 x 3 = 27, 11 x 3 = 33 или 24 х 3 = 72).
2. S = 5 или S = 7. В обоих случаях Петя должен получить в кучке 8 камней (5 + 3 = 8, 7 + 1 = 8). При любом ответном ходе Вани (8 + 1 = 9, 8 + 3 = 11 или 8 x 3 = 24), Петя должен утроить число камней в куче и выиграть (9 х 3 = 27, 11 х 3 = 33 или 24 х 3 = 72).
3. S = 4 (также верный ответ S = 6). Если Петя добавит в кучу 1 или 3 камня (4 + 1 = 5 или 4 + 3 = 7), Ваня должен получить в куче 8 камней (5 + 3 = 8, 7 + 1 = 8) ив ответ на любой ход Пети (8 + 1 = 9, 8 + 3 = 11 или 8 x 3 = 24), Ваня должен утроить число камней в куче и выиграть (9 x 3 = 27, 11 х 3 = 33 или 24 х 3 = 72). Если Петя утроит число камней в куче (4 x 3 = 12), Ваня также должен утроить число камней в куче и выиграть (12 x 3 = 36).
Рассмотрим дерево игры:

Дерево всех партий, возможных при Ваниной стратегии. Знаком “>>” обозначены позиции, в которых партия заканчивается.
27
Ответ:


Вариант 16
24
Ответ:
|
Содержание верного ответа и указания по оцениванию (допускаются иные формулировки ответа, не искажающие его смысла) |
Баллы |
|
Элементы ответа: |
|
|
1) 6 2) 1 2 4 6 (или любая последовательность 4-х целых чисел, в которой нечетные числа — единицы, а остальные числа — четные) 3) (Исправление программы на языке Паскаль) В строке “if a mod 2 > 0 then” должно быть “if a mod 2 <> 0 then”. В строке “count := count + а” должно быть “count := count + 1”. |
|
|
Указания по оцениванию |
|
|
Обратите внимание! В задаче требовалось выполнить четыре действия: 1. Указать, что выведет программа для указанных входных данных, 2. Привести пример входных данных, при которых программа работает верно, 3. Исправить одну ошибку в программе, 4. Исправить вторую ошибку в программе |
|
|
Правильно выполнены все пункты задания. Ошибки исправлены верно. В работе (во фрагментах программ) допускается наличие отдельных синтаксических ошибок, не искажающих замысла автора решения. Ни одна правильная строка не указана в качестве неправильной. |
3 |
|
Правильно выполнены три действия из четырех. Верное указание на ошибку при неверном исправлении при этом не засчитывается. Не более одной верной строки указано как неправильная. |
2 |
|
Правильно выполнено два действия из четырех. Не более одной верной строки указано в качестве неверной. |
1 |
|
Правильно выполнено менее двух действий |
0 |
|
Максимальный балл |
3 |
25
Ответ:
|
На языке Паскаль |
На языке Бейсик |
|
|
|
|
На языке СИ |
На алгоритмическом языке |
|
|
|
|
На естественном языке |
|
|
Записываем в переменную К начальное значение, равное 1. Записываем в переменную МАХ начальное значение, равное первому элементу массива. В цикле перебираем элементы со 2-го до 40-го. Если значение текущего элемента массива больше значения переменной МАХ, то в переменную МАХ кладем значение текущего элемента и кладем в переменную К число 1. Иначе, если значение текущего элемента равно значению переменной МАХ, увеличиваем значение переменной К на 1. После окончания цикла выводим на экран значение переменной К. |
|
26
Содержание верного ответа и указания к оцениванию
(допускаются иные формулировки ответа, не искажающие его смысла)
1. Для обеих позиций (7,25) и (9,24) выигрышную стратегию имеет Ваня. Он выигрывает первым же ходом независимо от хода Пети. Для этого ему необходимо удвоить количество камней во второй куче. Обоснование:
Из позиции (7,25) Петя может получить позиции (8,25), (14,25), (7,26) и (7,50). Во всех случаях сумма камней в кучах меньше 58. Однако при ходе Вани (удвоение второй кучи) сумма становится не менее 58.
Из позиции (9,24) Петя может получить позиции (10,24), (18,24), (9,25) и (9,48). Во всех случаях сумма камней в кучах меньше 58. Однако при ходе Вани (удвоение второй кучи) сумма становится не менее 58.
2. Для всех трех позиций (6,25), (8,24) и (9,23) выигрышную стратегию имеет Петя.
Из позиции (6,25) Петя может добавить 1 камень в первую кучу и получить (7,25).
А из позиций (8,24) и (9,23) Петя может получить позицию (9,24) добавив камень во вторую (8+1,24) или первую (9,23+1) кучу соответственно.
Для полученных позиций (7,25) и (9,24) в пункте 1 доказано, что они проигрышные. Как бы ни походил Ваня, Петя удвоит количество камней во второй куче и выиграет.
3. В позиции (8,23) выигрышную стратегию имеет Ваня.
Если Петя первым ходом добавит 1 камень в какую-нибудь кучу, получится позиция (9,23) или (8,24). В пункте 2 доказано, что эти позиции выигрышные. Петя должен добавить 1 камень в другую кучу (9,23+1) или (8+1,24) соответственно и в ответ на любой ответный ход Вани удвоить число камней во второй куче. Если же Петя первым ходом удвоит число камней в какой-нибудь куче (получится (16,23) или (8,46)), Ваня своим первым ходом удвоит число камней во второй куче и выиграет.
Рассмотрим дерево игры:

Дерево всех партий, возможных при Ваниной стратегии. Знаком “>>” обозначены позиции, в которых партия заканчивается.
27
Ответ:

Вариант 17
24
Ответ:
|
Содержание верного ответа и указания по оцениванию (допускаются иные формулировки ответа, не искажающие его смысла) |
Баллы |
|
Элементы ответа: 1) -5 2) 1 2 3 0 (или любая последовательность 4-х целых чисел, в которой либо нет отрицательных чисел, а последнее число — 0, либо только одно отрицательное число — последнее) 3) (Исправление программы на языке Паскаль) В строке “sum := а” должно быть “sum := sum + а”. В строке “writeln(a) ” должно быть “writeln(sum)”. |
|
|
Указания по оцениванию |
|
|
Обратите внимание! В задаче требовалось выполнить четыре действия: 1. Указать, что выведет программа для указанных входных данных, 2. Привести пример входных данных, при которых программа работает верно, 3. Исправить одну ошибку в программе, 4. Исправить вторую ошибку в программе |
|
|
Правильно выполнены все пункты задания. Ошибки исправлены верно. В работе (во фрагментах программ) допускается наличие отдельных синтаксических ошибок, не искажающих замысла автора решения. Ни одна правильная строка не указана в качестве неправильной. |
3 |
|
Правильно выполнены три действия из четырех. Верное указание на ошибку при неверном исправлении при этом не засчитывается. Не более одной верной строки указано как неправильная. |
2 |
|
Правильно выполнено два действия из четырех. Не более одной верной строки указано в качестве неверной. |
1 |
|
Правильно выполнено менее двух действий |
0 |
|
Максимальный балл |
3 |
25
Ответ:
|
На языке Паскаль |
На языке Бейсик |
|
|
|
|
На языке СИ |
На алгоритмическом языке |
|
|
|
|
На естественном языке |
|
|
Записываем в переменную К начальное значение, равное нулю. В цикле перебираем все элементы с 1-го до 40-го. Если значение текущего элемента массива больше нуля, и при этом его остаток от деления на 2 равен нулю, увеличиваем значение переменной К на 1. После окончания цикла: если значение переменной К равно 40, выводим на экран “YES”, иначе выводи на экран “NO”. |
|
26
Содержание верного ответа и указания к оцениванию
(допускаются иные формулировки ответа, не искажающие его смысла)
1. Для обеих позиций (5,20) и (7,19) выигрышную стратегию имеет Ваня. Он выигрывает первым же ходом независимо от хода Пети. Для этого ему необходимо удвоить количество камней во второй куче. Обоснование:
Из позиции (5,20) Петя может получить позиции (6,20), (10,20), (5,21) и (5,40). Во всех случаях сумма камней в кучах меньше 46. Однако при ходе Вани (удвоение второй кучи) сумма становится не менее 46.
Из позиции (7,19) Петя может получить позиции (8,19), (14,19), (7,20) и (7,38). Во всех случаях сумма камней в кучах меньше 46. Однако при ходе Вани (удвоение второй кучи) сумма становится не менее 46.
2. Для всех трех позиций (5,19), (6,19) и (7,18) выигрышную стратегию имеет Петя.
Из позиции (5,19) Петя может добавить 1 камень во вторую кучу и получить (5,20).
А из позиций (6,19) и (7,18) Петя может получить позицию (7,19) добавив камень во вторую (6+1,19) или первую (7,18+1) кучу соответственно.
Для полученных позиций (5,20) и (7,19) в пункте 1 доказано, что они проигрышные. Как бы ни походил Ваня, Петя удвоит количество камней во второй куче и выиграет.
3. В позиции (6,18) выигрышную стратегию имеет Ваня.
Если Петя первым ходом добавит 1 камень в какую-нибудь кучу, получится позиция (7,18) или (6,19). В пункте 2 доказано, что эти позиции выигрышные. Петя должен добавить 1 камень в другую кучу (7,18+1) или (6+1,19) соответственно и в ответ на любой ответный ход Вани удвоить число камней во второй куче. Если же Петя первым ходом удвоит число камней в какой-нибудь куче (получится (12,18) или (6,36)), Ваня своим первым ходом удвоит число камней во второй куче и выиграет.
Рассмотрим дерево игры:

Дерево всех партий, возможных при Ваниной стратегии. Знаком “>>” обозначены позиции, в которых партия заканчивается.
27
Ответ:

Вариант 18
24
Ответ:
|
Содержание верного ответа и указания по оцениванию (допускаются иные формулировки ответа, не искажающие его смысла) |
Баллы |
|
Элементы ответа: 1) 0 2) 0 0 0 0 (или любая последовательность 4-х целых чисел, в которой есть хотя бы один ноль, а другие числа отрицательные) 3) (Исправление программы на языке Паскаль) В строке “max := 0 ; ” должно быть “max := -1001” (или любое число <=1000). В строке “а := max” должно быть “max := а”. |
|
|
Указания по оцениванию |
|
|
Обратите внимание! В задаче требовалось выполнить четыре действия: 1. Указать, что выведет программа для указанных входных данных, 2. Привести пример входных данных, при которых программа работает верно, 3. Исправить одну ошибку в программе, 4. Исправить вторую ошибку в программе |
|
|
Правильно выполнены все пункты задания. Ошибки исправлены верно. В работе (во фрагментах программ) допускается наличие отдельных синтаксических ошибок, не искажающих замысла автора решения. Ни одна правильная строка не указана в качестве неправильной. |
3 |
|
Правильно выполнены три действия из четырех. Верное указание на ошибку при неверном исправлении при этом не засчитывается. Не более одной верной строки указано как неправильная. |
2 |
|
Правильно выполнено два действия из четырех. Не более одной верной строки указано в качестве неверной. |
1 |
|
Правильно выполнено менее двух действий |
0 |
|
Максимальный балл |
3 |
25
Ответ:
|
На языке Паскаль |
На языке Бейсик |
|
|
|
|
На языке СИ |
На алгоритмическом языке |
|
|
|
|
На естественном языке |
|
|
Записываем в переменную К начальное значение, равное нулю. В цикле перебираем элементы со 2-го до 40-го. Если значение текущего элемента массива меньше или равно значению предыдущего элемента массива, увеличиваем значение переменной К на 1. После окончания цикла: если значение переменной К равно нулю, выводим на экран “YES”, иначе выводи на экран “NO”. |
|
26
Содержание верного ответа и указания к оцениванию
(допускаются иные формулировки ответа, не искажающие его смысла)
1a) S = 13...25. Петя должен удвоить число камней во второй куче.
1б) 0 (нет таких S). Единственный подходящий вариант (S = 12) не подходит, т.к. при первом ходе Пети "+1 к первой куче" получается ситуация (5,12), из которой нельзя выиграть одним ходом. Числа, меньшие 12, тоже не подходят (при S = 11 добавление 1 камня во вторую кучу приводит к (4, 12), из которой не выиграть). Аналогично, можно такое показать для каждого меньшего S.
2) S = 12. Первым ходом Петя должен добавить 1 камень в первую кучу (получится (5,12)). При любом ответном ходе Вани Петя должен удвоить вторую кучу и выиграть.
3) S = 11.
(Здесь рисовать дерево ВСЕХ ходов Пети и ответных ходов Вани. На каждом ребре писать наподобие "П:5+1" (это значит, что Петя добавляет 1 камень в кучку, в которой 5 камней)).
Смысл дерева:
Если Петя добавит 1 камень в какую-нибудь кучку, Ваня должен добавить 1 камень в другую кучку. Получится ситуация (5,12). При любом ответном ходе Пети Ваня должен удвоить вторую кучу и выиграть.
Если Петя удвоит какую-нибудь кучку, Ваня должен удвоить вторую кучу и выиграть.
В дереве написать ">>" после каждой финальной выигрышной ситуации.
Под деревом написать:
В дереве рассмотрены все возможные ходы Пети и ответные ходы Вани, соответствующие выигрышной стратегии. Знаком ">>" обозначены позиции, в которых партия заканчивается.
27
Ответ:
Решение задания А

Решение задания Б


Вариант 19
24
Ответ:
|
Содержание верного ответа и указания по оцениванию (допускаются иные формулировки ответа, не искажающие его смысла) |
Баллы |
|
Элементы ответа: 1) 0 2) 1 2 3 4 (или любая последовательность 4-х целых чисел, в которой есть хотя бы одно положительное число) 3) (Исправление программы на языке Паскаль) В строке “if min > 0 then” должно быть “if min < 2000 then” (или min <> 2000 или min <= 1000). В строке “writeln (0)” должно быть “writeln('NO')”. |
|
|
Указания по оцениванию |
|
|
Обратите внимание! В задаче требовалось выполнить четыре действия: 1. Указать, что выведет программа для указанных входных данных, 2. Привести пример входных данных, при которых программа работает верно, 3. Исправить одну ошибку в программе, 4. Исправить вторую ошибку в программе |
|
|
Правильно выполнены все пункты задания. Ошибки исправлены верно. В работе (во фрагментах программ) допускается наличие отдельных синтаксических ошибок, не искажающих замысла автора решения. Ни одна правильная строка не указана в качестве неправильной. |
3 |
|
Правильно выполнены три действия из четырех. Верное указание на ошибку при неверном исправлении при этом не засчитывается. Не более одной верной строки указано как неправильная. |
2 |
|
Правильно выполнено два действия из четырех. Не более одной верной строки указано в качестве неверной. |
1 |
|
Правильно выполнено менее двух действий |
0 |
|
Максимальный балл |
3 |
25
Ответ:
|
На языке Паскаль |
На языке Бейсик |
|
|
|
|
На языке СИ |
На алгоритмическом языке |
|
|
|
|
На естественном языке |
|
|
Записываем в переменные К и J начальные значения, равные нулю. В цикле перебираем все элементы с 1-го до 40-го. Если значение текущего элемента массива больше нуля, увеличиваем значение переменной К на 1. Если значение текущего элемента массива меньше нуля, увеличиваем значение переменной J на 1. После окончания цикла: если значение переменной К равно значению переменной J, выводим на экран “=”, иначе если значение переменной К больше значения переменной J, выводим на экран “+”, иначе выводим на экран “-”. |
|
26
Содержание верного ответа и указания к оцениванию
(допускаются иные формулировки ответа, не искажающие его смысла)
1. Для обеих позиций (4,30) и (6,29) выигрышную стратегию имеет Ваня. Он выигрывает первым же ходом независимо от хода Пети. Для этого ему необходимо удвоить количество камней во второй куче. Обоснование:
Из позиции (4,30) Петя может получить позиции (5,30), (8,30), (4,31) и (4,60). Во всех случаях сумма камней в кучах меньше 65. Однако при ходе Вани (удвоение второй кучи) сумма становится не менее 65.
Из позиции (6,29) Петя может получить позиции (7,29), (12,29), (6,30) и (6,58). Во всех случаях сумма камней в кучах меньше 65. Однако при ходе Вани (удвоение второй кучи) сумма становится не менее 65.
2. Для всех трех позиций (4,29), (6,28) и (5,29) выигрышную стратегию имеет Петя.
Из позиции (4,29) Петя может добавить 1 камень во вторую кучу и получить (4,30).
А из позиций (6,28) и (5,29) Петя может получить позицию (6,29) добавив камень во вторую (6,28+1) или первую (5+1,29) кучу соответственно.
Для полученных позиций (4,30) и (6,29) в пункте 1 доказано, что они проигрышные. Как бы ни походил Ваня, Петя удвоит количество камней во второй куче и выиграет.
3. В позиции (5,28) выигрышную стратегию имеет Ваня.
Если Петя первым ходом добавит 1 камень в какую-нибудь кучу, получится позиция (6,28) или (5,29). В пункте 2 доказано, что эти позиции выигрышные. Петя должен добавить 1 камень в другую кучу (6,28+1) или (5+1,29) соответственно и в ответ на любой ответный ход Вани удвоить число камней во второй куче. Если же Петя первым ходом удвоит число камней в какой-нибудь куче (получится (10,28) или (5,56)), Ваня своим первым ходом удвоит число камней во второй куче и выиграет.
Рассмотрим дерево игры:

Дерево всех партий, возможных при Ваниной стратегии. Знаком ">>" обозначены позиции, в которых партия заканчивается.
27
Ответ:


Вариант 20
24
Ответ:
|
Содержание верного ответа и указания по оцениванию (допускаются иные формулировки ответа, не искажающие его смысла) |
Баллы |
|
Элементы ответа: 1) -4 2) 1 2 3 4 (или любая последовательность 4-х целых чисел, в которой все элементы неотрицательны) 3) (Исправление программы на языке Паскаль) В строке “if а < 0 then” должно быть “if (а < 0) and (num = 0) then”. В строке “num := а” должно быть “num := i”. |
|
|
Указания по оцениванию |
|
|
Обратите внимание! В задаче требовалось выполнить четыре действия: 1. Указать, что выведет программа для указанных входных данных, 2. Привести пример входных данных, при которых программа работает верно, 3. Исправить одну ошибку в программе, 4. Исправить вторую ошибку в программе |
|
|
Правильно выполнены все пункты задания. Ошибки исправлены верно. В работе (во фрагментах программ) допускается наличие отдельных синтаксических ошибок, не искажающих замысла автора решения. Ни одна правильная строка не указана в качестве неправильной. |
3 |
|
Правильно выполнены три действия из четырех. Верное указание на ошибку при неверном исправлении при этом не засчитывается. Не более одной верной строки указано как неправильная. |
2 |
|
Правильно выполнено два действия из четырех. Не более одной верной строки указано в качестве неверной. |
1 |
|
Правильно выполнено менее двух действий |
0 |
|
Максимальный балл |
3 |
25
Ответ:
|
На языке Паскаль |
На языке Бейсик |
|
|
|
|
На языке СИ |
На алгоритмическом языке |
|
|
|
|
На естественном языке |
|
|
Записываем в переменную К начальное значение, равное нулю. В цикле перебираем все элементы с 1-го до 40-го. Если значение текущего элемента массива больше девяти и меньше ста, увеличиваем значение переменной К на 1. После окончания цикла: если значение переменной К больше нуля, выводим на экран “ YES”, иначе выводим на экран “N0”. |
|
26
Содержание верного ответа и указания к оцениванию
(допускаются иные формулировки ответа, не искажающие его смысла)
1. Для обеих позиций (6,25) и (8,24) выигрышную стратегию имеет Ваня. Он выигрывает первым же ходом независимо от хода Пети. Для этого ему необходимо удвоить количество камней во второй куче. Обоснование:
Из позиции (6,25) Петя может получить позиции (7,25), (12,25), (6,26) и (6,50). Во всех случаях сумма камней в кучах меньше 57. Однако при ходе Вани (удвоение второй кучи) сумма становится не менее 57.
Из позиции (8,24) Петя может получить позиции (9,24), (16,24), (8,25) и (8,48). Во всех случаях сумма камней в кучах меньше 57. Однако при ходе Вани (удвоение второй кучи) сумма становится не менее 57.
2. Для всех трех позиций (6,24), (8,23) и (7,24) выигрышную стратегию имеет Петя.
Из позиции (6,24) Петя может добавить 1 камень во вторую кучу и получить (6,25).
А из позиций (8,23) и (7,24) Петя может получить позицию (8,24) добавив камень во вторую (8,23+1) или первую (7+1,24) кучу соответственно.
Для полученных позиций (6,25) и (8,24) в пункте 1 доказано, что они проигрышные. Как бы ни походил Ваня, Петя удвоит количество камней во второй куче и выиграет.
3. В позиции (7,23) выигрышную стратегию имеет Ваня.
Если Петя первым ходом добавит 1 камень в какую-нибудь кучу, получится позиция (8,23) или (7,24). В пункте 2 доказано, что эти позиции выигрышные. Петя должен добавить 1 камень в другую кучу (8,23+1) или (7+1,24) соответственно и в ответ на любой ответный ход Вани удвоить число камней во второй куче. Если же Петя первым ходом удвоит число камней в какой-нибудь куче (получится (14,23) или (7,46)), Ваня своим первым ходом удвоит число камней во второй куче и выиграет.
Рассмотрим дерево игры:

Дерево всех партий, возможных при Ваниной стратегии. Знаком “>>” обозначены позиции, в которых партия заканчивается.
27
Ответ:





































































































