Информатика и ИКТ - ЕГЭ Практикум и диагностика - Учебное пособие для общеобразовательных организаций
Цикл со счётчиком - Алгоритмы
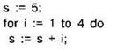
Задание 4.6.1. Определите значение переменной s после выполнения следующего фрагмента программы:
|
Бейсик |
Паскаль |
|
|
|
|
Си |
Алгоритмический язык |
|
|
|
В ответе укажите одно целое число — значение переменной s.
Ответ: ________________.
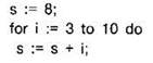
Задание 4.6.2. Определите значение переменной s после выполнения следующего фрагмента программы:
|
Бейсик |
Паскаль |
|
|
|
|
Си |
Алгоритмический язык |
|
|
|
В ответе укажите одно целое число — значение переменной s.
Ответ: ________________.
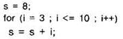
Задание 4.6.3. Определите значение переменной s после выполнения следующего фрагмента программы:
|
Бейсик |
Паскаль |
|
|
|
|
Си |
Алгоритмический язык |
|
|
|
В ответе укажите одно целое число — значение переменной s.
Ответ: ________________.
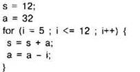
Задание 4.6.4. Определите значение переменной s после выполнения следующего фрагмента программы:
|
Бейсик |
Паскаль |
|
|
|
|
Си |
Алгоритмический язык |
|
|
|
В ответе укажите одно целое число — значение переменной s.
Ответ: ________________.
Задание 4.6.5. Определите значение переменной s после выполнения следующего фрагмента программы:
|
Бейсик |
Паскаль |
|
|
|
|
Си |
Алгоритмический язык |
|
|
|
В ответе укажите одно целое число — значение переменной s.
Ответ: ________________.
Задание 4.6.6. Напишите программу, которая вводит с клавиатуры натуральное число N и выводит на экран N первых элементов последовательности:
1, 3, 5, 7, 9, 11, 13, ...
|
Пример ввода |
Пример вывода |
|
1 |
1 |
|
3 |
1 3 5 |
|
6 |
1 3 5 7 9 11 |
|
8 |
1 3 5 7 9 11 13 15 |
Задание 4.6.7. Напишите программу, которая вводит с клавиатуры натуральное число N и выводит на экран N первых элементов последовательности:
2, 5, 8, 11, 14, ...
|
Пример ввода |
Пример вывода |
|
1 |
2 |
|
3 |
2 5 8 |
|
6 |
2 5 8 11 14 17 |
|
8 |
2 5 8 11 14 17 20 23 |
Задание 4.6.8. Напишите программу, которая вводит с клавиатуры натуральное число N и после этого вводит ещё N целых чисел. После этого программа выводит на экран сумму всех введённых чисел.
|
Пример ввода |
Пример вывода |
|
5 1 2 3 4 5 |
15 |
|
7 3 2 1 0 -1 -2 -3 |
0 |
Задание 4.6.9. Напишите программу, которая вводит с клавиатуры натуральное число N и после этого вводит ещё N целых чисел. После этого программа выводит на экран количество положительных введённых чисел.
|
Пример ввода |
Пример вывода |
|
6 2 -3 -5 7 8 2 |
4 |
|
4 -1 -2 -3 -4 |
0 |
Задание 4.6.10. Напишите программу, которая вводит с клавиатуры натуральное число N и после этого вводит ещё N целых чисел. После этого программа выводит произведение нечётных введённых чисел.
|
Пример ввода |
Пример вывода |
|
6 |
15 |
|
1 2 3 4 5 6 |
|
|
6 |
-15 |
|
-1 2 3 4 5 1 |
|
|
4 |
1 |
|
2 4 6 8 |
Задание 4.6.11. Напишите программу, которая вводит с клавиатуры натуральное число N и после этого вводит ещё N целых чисел. После этого программа выводит, присутствует ли среди введённых чисел хотя бы одно отрицательное число (“YES”/“NO”).
|
Пример ввода |
Пример вывода |
|
5 1 2 3 0 5 |
NO |
|
6 2 -3 4 5 -7 7 |
YES |
Задание 4.6.12. Напишите программу, которая вводит с клавиатуры натуральное число N и после этого вводит ещё N целых чисел. После этого программа выводит, все ли введённые числа равны друг другу (“YES”/“NO”).
|
Пример ввода |
NO |
|
6 1 1 1 1 1 1 |
YES |
|
6 1 1 1 1 1 2 |
NO |
|
6 2 1 1 1 1 1 |
NO |
|
6 2 1 2 1 2 1 |
NO |



















