Информатика ОГЭ - Комплекс материалов для подготовки учащихся
Вариант 3 - ПРИМЕРНЫЕ ВАРИАНТЫ ОГЭ
Часть 1
При выполнении заданий 1-6 в поле ответа запишите одну цифру, которая соответствует номеру правильного ответа.
1. В одной из кодировок Unicode каждый символ кодируется 16 битами. Определите размер следующего предложения в данной кодировке:
Вознёсся выше он главою непокорной Александрийского столпа.
1) 118 бит
2) 944 бит
3) 59 байт
4) 472 байт
Ответ: ![]()
2. Для какого из указанных значений числа X истинно выражение:
(Х > 1)И(Х > 2)И(Х ≠ 3)?
1) 1
2) 2
3) 3
4) 4
Ответ: ![]()
3. В таблице приведена стоимость перевозок между пятью железнодорожными станциями, обозначенными буквами А, В, С, D и Е. Укажите схему, соответствующую таблице.

Ответ: ![]()
4. Пользователь работал с каталогом Видео. Он поднялся на 2 уровня вверх, затем спустился на один уровень вниз, потом ещё раз спустился на один уровень вниз.
В результате он оказался в каталоге С:\2011\Избранное\Фото
Каким мог быть полный путь каталога, с которым пользователь начинал работу?
1) C:\2011\Избранное\Байкал\Видео
2) С:\Байкал\Видео
3) С:\Избранное\Байкал\Видео
4) С:\2011\Байкал\Видео
Ответ: ![]()
5. Дан фрагмент электронной таблицы.
|
A |
B |
|
|
1 |
9 |
=А1-А2 |
|
2 |
3 |
=2*В1 |
|
3 |
15 |
=А1+А3 |
|
4 |
4 |
=В3/А4 |
После выполнения вычислений была построена диаграмма по значениям диапазона ячеек В1:В4. Укажите адрес ячейки, соответствующий выделенной области на диаграмме.

1) В1
2) В2
3) В3
4) В4
Ответ: ![]()
6. Исполнитель Чертёжник перемещается на координатной плоскости, оставляя след в виде линии. Чертёжник может выполнять команду
Сместиться на (а, b) (где а, b - целые числа), перемещающую Чертёжника из точки с координатами (х, у) в точку с координатами (х + а, у + b). Если числа а, b положительные, значение соответствующей координаты увеличивается, если отрицательные - уменьшается. Например, если Чертёжник находится в точке с координатами (4, 2), то команда Сместиться на (2, -3) переместит Чертёжника в точку (6, -1).
Запись Повтори k раз
Команда1 Команда2 Команда3
Конец
означает, что последовательность команд Команда1 Команда2 Команда3 повторится k раз.
Чертёжнику был дан для исполнения следующий алгоритм:
Повтори 3 раз
Сместиться на (-2, -4) Сместиться на (3, 3) Сместиться на (1, -2)
Конец
На какую одну команду можно заменить этот алгоритм, чтобы Чертежник оказался в той же точке, что и после выполнения алгоритма?
1) Сместиться на (6, -9)
2) Сместиться на (9, -6)
3) Сместиться на (-6, 9)
4) Сместиться на (-9, 6)
Ответ: ![]()
Ответом к заданиям 7-18 является число или последовательность символов (букв или цифр), которые следует записать в поле ответа в тексте работы.
7. Ваня шифрует русские слова, записывая вместо каждой буквы её номер в алфавите (без пробелов). Номера букв даны в таблице.
|
А |
1 |
Й |
11 |
У |
21 |
Э |
31 |
|
Б |
2 |
К |
12 |
Ф |
22 |
Ю |
32 |
|
В |
3 |
Л |
13 |
X |
23 |
Я |
33 |
|
Г |
4 |
М |
14 |
Ц |
24 |
||
|
Д |
5 |
Н |
15 |
Ч |
25 |
||
|
Е |
6 |
О |
16 |
Ш |
26 |
||
|
Ё |
7 |
П |
17 |
Щ |
27 |
||
|
Ж |
8 |
Р |
18 |
Ъ |
28 |
||
|
3 |
9 |
С |
19 |
Ы |
29 |
||
|
И |
10 |
Т |
20 |
Ь |
30 |
Некоторые шифровки можно расшифровать несколькими способами. Например, 311333 может означать “ВАЛЯ”, может - “ЭЛЯ”, а может - “ВААВВВ”.
Даны четыре шифровки:
26910
13131
36910
65432
Только одна из них расшифровывается единственным способом. Найдите её и расшифруйте. Получившееся слово запишите в качестве ответа.
Ответ: _______________________.
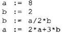
8. В программе “:=” обозначает оператор присваивания, знаки “+”, “-”, “*” и “/” - соответственно операции сложения, вычитания, умножения и деления. Правила выполнения операций и порядок действий соответствует правилам арифметики.
Определите значение переменной а после выполнения алгоритма:

В ответе укажите одно целое число - значение переменной а.
Ответ: _______________________.
9. Определите, что будет напечатано в результате работы следующей программы. Текст программы приведён на трёх языках программирования.
|
Алгоритмический язык |
|
|
Бейсик |
|
|
Паскаль |
|
Ответ: _______________________.
10. В таблице Dat хранятся данные о количестве сделанных учениками заданий (Dat[1] заданий сделал первый ученик, Dat[2] - второй и т. д.). Определите, какое число будет напечатано в результате работы следующей программы. Текст программы приведён на трёх языках программирования.
|
Алгоритмический язык |
|
|
|
|
|
Бейсик |
Паскаль |
|
|
|
Ответ: _______________________.
11. На рисунке - схема дорог, связывающих города А, Б, В, Г, Д, Е, И, К. По каждой дороге можно двигаться только в одном направлении, указанном стрелкой. Сколько существует различных путей из города А в город К?

Ответ: _______________________.
12. Ниже в табличной форме представлен фрагмент базы данных о реках мира.
|
Название реки |
Часть света |
Протяжённость (км) |
Площадь бассейна (тыс. км2) |
|
Лена |
Азия |
4320 |
2418 |
|
Волга |
Европа |
3690 |
1380 |
|
Индигирка |
Азия |
1790 |
360 |
|
Терек |
Европа |
626 |
44 |
|
Нева |
Европа |
74 |
282 |
|
Нигер |
Африка |
4160 |
2092 |
|
Инд |
Азия |
3180 |
980 |
|
Луара |
Европа |
1020 |
115 |
Сколько записей в данном фрагменте удовлетворяют условию
(Часть света = “Европа”) И (Площадь бассейна (тыс. км2) < 200)?
В ответе укажите одно число - искомое количество записей.
Ответ: _______________________.
13. Переведите число 110110 из двоичной системы счисления в десятичную систему счисления.
В ответе напишите полученное число.
Ответ: _______________________.
14. У исполнителя Вычислитель две команды, которым присвоены номера:
1. умножь на 4
2. вычти 2
Первая из них увеличивает число на экране в 4 раза, вторая уменьшает его на 2.
Составьте алгоритм получения из числа 3 числа 30, содержащий не более 5 команд. В ответе запишите только номера команд.
(Например, 11221 - это алгоритм:
умножь на 4
умножь на 4
вычти 2
вычти 2
умножь на 4,
который преобразует число 1 в 48)
Если таких алгоритмов более одного, то запишите любой из них.
Ответ: _______________________.
15. Скорость передачи данных через ADSL-соединение равна 215 бит/с.
Передача файла через данное соединение заняла 1 минуту 4 секунды. Определите размер файла в Кбайт.
В ответе укажите одно число - размер файла в Кбайт. Единицы измерения писать не нужно.
Ответ: _______________________.
16. Цепочка из четырех бусин, помеченных латинскими буквами, формируется по следующему правилу:
- в начале цепочки стоит одна из бусин А, В, С;
- на третьем месте - одна из бусин В, D, С, которой нет на первом месте;
- в конце - одна из бусин A, D, Е, которой нет на третьем месте;
- на втором месте - одна из бусин С, D, Е, не стоящая на четвёртом месте.
Определите, сколько из перечисленных цепочек созданы по этому правилу?
CDCA CDDE AEDD ADBD ACDA BADE CDEA ССВА АЕВС
В ответе запишите только количество цепочек.
Ответ: _______________________.
17. Доступ к файлу book1.htm, находящемуся на сервере biblio.ru, осуществляется по протоколу http. В таблице фрагменты адреса файла закодированы буквами от А до Ж. Запишите последовательность этих букв, кодирующую адрес указанного файла в сети Интернет.
A) ://
Б) biblio
B) http
Г) .ru
Д) .htm
Е) book1
Ж) /
Ответ:
18. 17В таблице приведены запросы к поисковому серверу. Расположите обозначения запросов в порядке возрастания количества страниц, которые найдёт поисковый сервер по каждому запросу. По всем запросам было найдено разное количество страниц.
Для обозначения логической операции “ИЛИ” в запросе используется символ “|”, а для логической операции “И” - “&”.
A) логика & (математика | программирование)
Б) логика & математика
B) логика & математика & программирование
Г) логика | математика
Ответ:
Часть 2
Задания этой части (19—20) выполняются на компьютере. Результатом исполнения задания является отдельный файл (для одного задания - один файл). Формат файла, его имя и каталог для сохранения Вам сообщат организаторы экзамена.
19. В электронную таблицу занесли данные о результатах ЕГЭ.
|
A |
B |
C |
D |
E |
|
|
1 |
номер участника |
баллы русский язык |
баллы математика |
баллы физика |
баллы информатика |
|
2 |
участник 1 |
79 |
81 |
44 |
85 |
|
3 |
участник 2 |
98 |
23 |
82 |
89 |
|
4 |
участник 3 |
48 |
79 |
60 |
90 |
|
5 |
участник 4 |
94 |
35 |
90 |
40 |
В столбце А записан номер участника; в столбце В - балл по русскому языку; в столбце С - балл по математике; в столбце D - балл по физике; в столбце Е - балл по информатике. Всего в электронную таблицу были занесены данные по 1000 участникам.
Выполните задание
Откройте на диске файл task19_3.xlsx с данной электронной таблицей (на экзамене расположение файла вам сообщат организаторы экзамена). На основании данных, содержащихся в этой таблице, ответьте на два вопроса:
1. Сколько участников тестирования получили по физике и математике более 140 баллов? Ответ на этот вопрос запишите в ячейку Н2 таблицы.
2. Каков средний балл по математике у участников, которые набрали по русскому языку более 70 баллов? Ответ на этот вопрос запишите в ячейку Н3 таблицы с точностью не менее двух знаков после запятой.
Полученную таблицу необходимо сохранить под именем, указанным организаторами экзамена.
20.1. Исполнитель Робот умеет перемещаться по лабиринту, начерченному на плоскости, разбитой на клетки. Между соседними (по сторонам) клетками может стоять стена, через которую Робот пройти не может.
У Робота есть девять команд. Четыре команды - это команды-приказы:
вверх вниз влево вправо
При выполнении любой из этих команд Робот перемещается на одну клетку соответственно вверх ↑, вниз ↓, влево ←, вправо →. Если Робот получит команду передвижения сквозь стену, то он разрушится.
Также у Робота есть команда закрасить, при которой закрашивается клетка, в которой Робот находится в настоящий момент.
Ещё четыре команды - это команды проверки условий. Эти команды проверяют, свободен ли путь для Робота в каждом из четырёх возможных направлений:
сверху свободно снизу свободно слева свободно справа свободно
Эти команды можно использовать вместе с условием “если”, имеющим следующий вид:
если условие то
последовательность команд
все
Здесь условие - одна из команд проверки условия.
Последовательность команд - это одна или несколько любых команд-приказов.
Например, для передвижения на одну клетку вправо, если справа нет стенки и закрашивания
клетки, можно использовать такой алгоритм:
если справа свободно то
вправо
закрасить
все
В одном условии можно использовать несколько команд проверки условий, применяя логические связки и, или, не, например:
если (справа свободно) и (не снизу свободно) то
вправо
все
Для повторения последовательности команд можно использовать цикл “пока”, имеющий
следующий вид:
нц пока условие
последовательность команд
кц
Например, для движения вправо, пока это возможно, можно использовать следующий алгоритм:
нц пока справа свободно
вправо
кц
Выполните задание.
На бесконечном поле имеется лестница. Сначала лестница спускается вниз (справа налево), затем поднимается вверх. Высота каждой ступени - одна клетка, ширина - две клетки. Робот находится под верхней ступенькой правой части лестницы, в правой клетке.
Количество ступенек, ведущих вниз, и количество ступенек, ведущих вверх, неизвестно.
На рисунке указан один из возможных способов расположения лестницы и Робота (Робот обозначен буквой “Р”).

Напишите для Робота алгоритм, закрашивающий все клетки, расположенные непосредственно под ступенями лестницы. Требуется закрасить только клетки, удовлетворяющие данному условию. Например, для приведённого выше рисунка Робот должен закрасить следующие клетки (см. рисунок):

Конечное расположение Робота может быть произвольным. Алгоритм должен решать задачу для произвольного размера поля и любого допустимого расположения стен внутри прямоугольного поля. При исполнении алгоритма Робот не должен разрушиться, выполнение алгоритма должно завершиться.
Алгоритм может быть выполнен в среде формального исполнителя или записан в текстовом редакторе.
Сохраните алгоритм в текстовом файле. Название файла и каталог для сохранения Вам сообщат организаторы экзамена.
20.2. Напишите программу, которая в последовательности натуральных чисел определяет сумму всех чисел, кратных 6 и оканчивающихся на 4. Программа получает на вход натуральные числа, количество введённых чисел неизвестно, последовательность чисел заканчивается числом 0 (0 — признак окончания ввода, не входит в последовательность).
Количество чисел не превышает 1000. Введённые числа не превышают 30 000.
Программа должна вывести одно число: сумму всех чисел, кратных 6 и оканчивающихся на 4.
Пример работы программы:
|
Входные данные |
Выходные данные |
|
14 |
168 |
|
24 |
|
|
144 |
|
|
22 |
|
|
12 |
|
|
0 |





