Алгебра и начала анализа для учащихся 11 класса поурочные планы
ввести понятие иррациональных уравнений и показать способы их решения - ИРРАЦИОНАЛЬНЫЕ УРАВНЕНИЯ - ОБОБЩЕНИЕ ПОНЯТИЯ СТЕПЕНИ - 1-е полугодие
УРОК № 1
Урок–лекция
Цели: ввести понятие иррациональных уравнений и показать способы их решения.
Ход урока
I. Итоги проверочной работы
1. Разобрать ошибки учащихся в работе.
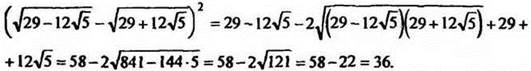
2. Решить задание 6*:

Подкоренные выражения не являются полными квадратами, т. е. применить приём из предыдущего примера не удаётся. Возведём вычисляемое выражение в квадрат:

Следовательно, исходное выражение может быть равно 6 или -6; так как
то это выражение отрицательно. Ответ: -6.
II. Объяснение нового материала (лекция)
1. Уравнения, в которых переменная содержится под знаком корня, называются иррациональными.
2. Решение иррациональных уравнений сводится к переходу от иррационального к рациональному уравнению путём возведения в степень обеих частей уравнения или замены переменной.
3. При возведении обеих частей уравнения в чётную степень возможно появление посторонних корней. Поэтому при использовании указанного метода следует проверить все найденные корни подстановкой в исходное уравнение.
4. Иногда удобнее решать иррациональные уравнения, определив область допустимых значений неизвестного и используя равносильные переходы.
5. Решим уравнения: ![]()
Решение
Возведём обе части уравнения в квадрат: ![]()
Проверка: 1) х = -1, тогда
ложно;
2) х =2, тогда
верно. Ответ: х = 2;
![]()
Решение

Проверка:
значит, х1 = 0 не удовлетворяет уравнению.
2) х2 = 3, тогда
Значит, х = 3 – корень уравнения. Ответ: 3;
![]()
Решение
Возведя обе части уравнения в квадрат, получим 2х - 3 = х - 2, х = 1.
Проверка:
Обе части уравнения не имеют смысла. Ответ: нет корней;
г) решить уравнение ![]()
Решение
Поскольку корни арифметические, то левая часть уравнения неотрицательна, а правая отрицательна, значит, уравнение решений не имеет. Ответ: уравнение решений не имеет;
д) решить уравнение ![]()
Решение .
Область допустимых значений неизвестного (ОДЗ) этого уравнения определяется системой неравенств
которая решений не имеет. Уравнение не определено в множестве действительных чисел. Ответ: уравнение решений не имеет;
е) решить уравнение ![]()
Решение
По определению квадратного корня уравнение
равносильно системе

Ответ: 11.
III. Закрепление изученного материала
1. Решить № 417 (a).
2. Решить № 418 (а; б).
3. Решить №419 (а; г),.
Учащиеся решают самостоятельно, а затем проверяют своё решение с решением сильного ученика на переносной доске (сначала они не видят, как он решает).
IV. Итоги урока
V. Домашнее задание: п. 33 (до примера 6); решить № 417 (в), № 418 (в; г), № 419 (б; в), № 422 (а; г).