Алгебра и начала анализа для учащихся 11 класса поурочные планы
проверить усвоение учащимися изученного материала; рассмотреть решение систем уравнений - ИРРАЦИОНАЛЬНЫЕ УРАВНЕНИЯ - ОБОБЩЕНИЕ ПОНЯТИЯ СТЕПЕНИ - 1-е полугодие
Цели: проверить усвоение учащимися изученного материала; рассмотреть решение систем уравнений.
Ход урока
I. Самостоятельная работа (12-20 мин)
Вариант I |
Вариант II |
Решите уравнения: |
Решите уравнения: |
1) № 422 (b);. |
1) № 422 (б); |
2) № 424 (b); |
2) № 424 (г); |
3) № 425 (b). |
3) № 425 (г). |
Учащиеся выполняют работу на отдельных листочках, учитель собирает их на проверку и выясняет, как выполнена учащимися домашняя работа и усвоен изученный материал.
II. Работа с учебником
1. Рассмотреть по учебнику решение системы уравнений - пример 7 на стр. 208.
2. Решить № 426 (а; б):
а) решите систему уравнений 
Указание.
Решаем систему уравнений
способом подстановки b = 2a - 5;
б) решите систему уравнений
.
Указание. Обозначим ![]()
Решаем систему уравнений 
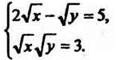
в) решите систему уравнений 
Решение
Обозначим ![]()
Решаем систем.

Решая эту систему, получаем: а = 1, b = 3 или а = 3, b = 1. Откуда х = 1, у = 9 или x = 9, y = 1. Ответ: (1; 9); (9; 1).
4*. Решите систему уравнений 
Решение
Обозначим ![]()
Решаем систему 
Следовательно, u = 1, v = 2 или u = 2, v = 1.
Откуда получаем: 
Ответ: (1; 64); (64; 1).
III. Итоги урока
IV. Домашнее задание: п. 33; решить № 423 (в; г), 16 426 (в; г), № 427 (а; б).