Алгебра и начала анализа для учащихся 11 класса поурочные планы
повторить и систематизировать изученный материал, подготовиться к контрольной работе; проверить усвоение учащимися изученного материала - СТЕПЕНЬ С РАЦИОНАЛЬНЫМ ПОКАЗАТЕЛЕМ. КОНТРОЛЬНАЯ РАБОТА № 3 - ОБОБЩЕНИЕ ПОНЯТИЯ СТЕПЕНИ - 1-е полугодие
УРОК № 4
Контрольная работа № 3 на 25 мин
Цели: повторить и систематизировать изученный материал, подготовиться к контрольной работе; проверить усвоение учащимися изученного материала.
Ход урока
I. Повторение изученного материала
1. Устно:
1) какое уравнение называется иррациональным? Как решают иррациональные уравнения?
2) почему при решении иррациональных уравнений необходимо делать проверку? Каким образом её можно упростить?
3) Объясните, почему не имеет решений уравнение.
![]()
4) Дайте определение степени:
![]()
5) Сформулируйте правила действия над степенями с рациональным показателем.
2. Анализ домашней контрольной работы (указать ошибки, допущенные учащимися и решить те задания, которые вызвали у ребят затруднения).
II. Подготовка к контрольной работе
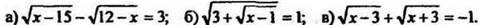
1. Решить уравнение ![]()
2. Решите систему уравнений 
3. Упростите выражение 
III. Контрольная работа (25 мин.
Вариант I
1°. Упростите выражение 
2°. Решите уравнение ![]()
3. Решите систему уравнений 
Вариант II
1°. Упростите выражение 
2°. Решите уравнение ![]()
3. Решите систему уравнений
_.
IV. Домашнее задание: решить № 438 (в; г).