Алгебра и начала анализа для учащихся 11 класса поурочные планы
закрепить навыки и умения доказательства, что данная функция F является первообразной для данной функции f на данном промежутке - ОПРЕДЕЛЕНИЕ ПЕРВООБРАЗНОЙ - ПЕРВООБРАЗНАЯ - 1-е полугодие
Цели: закрепить навыки и умения доказательства, что данная функция F является первообразной для данной функции f на данном промежутке.
Ход урока
I. Устные упражнения
1. Найдите функцию f, если известно, что f'(x) = 3х2.
2. Вместо точек поставьте какую-нибудь функцию, удовлетворяющую равенству:

3. Являются ли первообразными для одной и той же функции следующие функции:

Если являются, то укажите эту функцию.
II. Решение упражнений № 330 (б; г), № 331 (а; б), № 332 (в; б), № 334 (в; г).
III. Самостоятельна работ.
Вариант I
1. Докажите, что функция F есть первообразная для функции f на промежутке (-∞;∞):
![]()
2. Найдите одну из первообразных для данной функции на R:
![]()
Вариант II
1. Докажите, что функция F есть первообразная для функции f на промежутке (-∞;∞):

2. Найдите одну из первообразных для данной функции на R:
![]()
Вариант III
1. Докажите, что функция F есть первообразная для функции f на промежутке (-∞;0):
![]()
2. Является ли функция F первообразной для функции f на промежутке (-∞;∞):
![]()
Вариант IV (для сильных учащихся)
1. Является ли функция F первообразной для функций f на промежутке l:
![]()
![]()
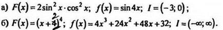
2. Докажите, что функция F есть первообразная для функции f на промежутке l:

Если сильные учащиеся при решении упражнений из учебника решали быстрее, чем класс, можно самостоятельную работу им выдать раньше.
IV. Итоги урока
V. Домашнее задание: п. 26; № 332 (г), № 333, №334 (а; б); повторить теорему Лагранжа, стр. 128, п. 19.
По желанию:
1. Докажите, что функция F(x) = x3lxl является первообразной для функции f(х) = 4х2|х| на промежутке (-∞;∞).
2. Является ли функция F первообразной для функции f на промежутке l:

Ответы:
1. При х ≠ 0 равенство F'(x) = f(x) проверяется просто. При х = 0 получаем ![]()
2. а) да; б) нет.