Алгебра и начала анализа для учащихся 11 класса поурочные планы
научить с помощью таблицы находить общий вид первообразной, закрепить этот навык при решении упражнений - ОСНОВНОЕ СВОЙСТВО ПЕРВООБРАЗНОЙ - ПЕРВООБРАЗНАЯ - 1-е полугодие
Цели: научить с помощью таблицы находить общий вид первообразной, закрепить этот навык при решении упражнений.
Ход урока
I. Проверка домашнего задания
1. Один учащийся заполняет заготовленную заранее таблицу первообразных.
2. Другой выносит решение упражнений № 335, 336 на доску.
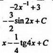
3. В это время устно с классом найти общий вид первообразных для функции f:
![]()
II. Решение упражнений
№ 337 (в; г), № 338 (б; г), № 339 (в), № 340 (в, 6), № 341 (в).
III. Самостоятельная работа. Программированный контроль.
Задание
Вариант I
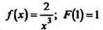
Для функции f(x) найдите F(x), если ![]()
Найдите общий вид первообразных для функций.

Вариант II
Для функции f(x) найдите F(x), если ![]()
Найдите общий вид первообразных для функций:

Ответы
1 |
2 |
3 |
4 |
|
|
|
|
Верный ответ: вариант I -2, 1, 2; вариант II - 3, 4, 1.
Результаты фронтального опроса учащихся помогут учителю выяснить, какие из заданий вызвали затруднения учащихся. Это видно по неверно названной цифре.
Далее проводится устная или письменная работа по устранению ошибок учащихся.
IV. Итоги урока
V. Домашнее задание: п. 27 (к зачёту по § 7 выучить весь теоретический материал); № 337 (а; б), № 338 (а; в), N° 339 (a), № 340 (a).
По желанию
1. Для функции
найдите первообразную, график которой проходит через точку М(
;3). Начертите этот график.
2. Найдите общий вид первообразных для функций:




