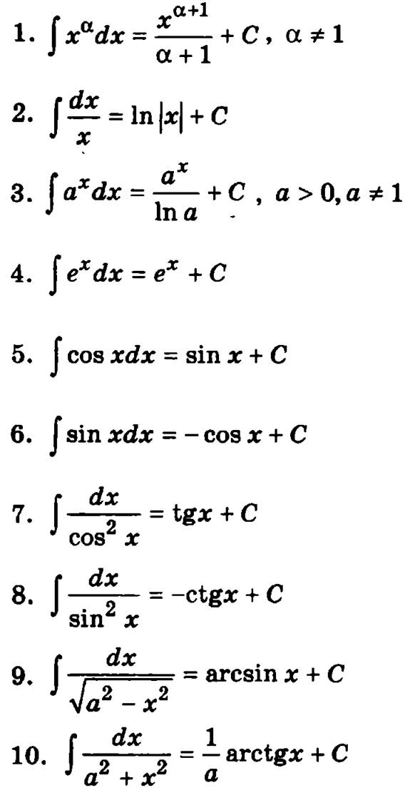
Высшая математика мини-справочник для ВУЗов Таблица интегралов от элементарных функций - НЕОПРЕДЕЛЕННЫЙ ИНТЕГРАЛ ПредыдущаяСодержаниеСледующая