Высшая математика мини-справочник для ВУЗов
Методы вычисления определенного интеграла - ОПРЕДЕЛЕННЫЙ ИНТЕГРАЛ
Метод непосредственного интегрирования может быть использован и для вычисления определенных интегралов. Суть этого метода заключается в том, что, применяя тождественные преобразования подынтегрального выражения, исходный интеграл, используя свойство линейности

где F(x) — первообразная функции f(x), G(x) — первообразная функции g(x), сводится к сумме более простых интегралов, которые могут быть вычислены непосредственно при помощи таблицы интегралов.
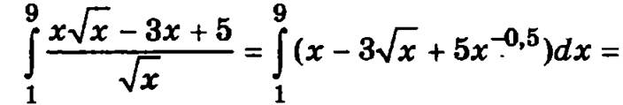
Пример.


Метод интегрирования по частям. При вычислении данным методом определенных интегралов формула интегрирования принимает вид

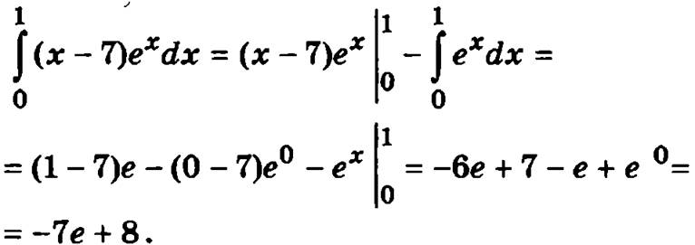
Пример. 
Примем за u = х - 7, a dv = exdx, тогда получим
и, используя (2)

Метод замены переменной. Допустим, что необходимо вычислить интеграл
в котором подынтегральная функция представима в виде f(x) = g(φ(x))φ'(x), где φ(х) — функция дифференцируемая на интервале [а, b] и на концах указанного интеграла принимает значения φ(а) = t0, φ(b) = t1, а функция g(t) имеет первообразную G(t).
Введем новую переменную интегрирования t, связанную со старой переменной х соотношением t = φ(х), тогда получим
Пример. 
Введем новую переменную интегрирования t = φ(x) = х2 + 3x, тогда dt = φ'(x)dx = (2х + 3)dx.
При х = 0 t = φ(0) = 0, а при х = 1 t = φ(1) = 12 + 3 = 4.
В результате получим
