Высшая математика мини-справочник для ВУЗов
Однородные дифференциальные уравнения первого порядка - ОБЫКНОВЕННЫЕ ДИФФЕРЕНЦИАЛЬНЫЕ УРАВНЕНИЯ
Дифференциальное уравнение первого порядка называется однородным, если оно может быть приведено к виду

Однородные дифференциальные уравнения можно рассматривать как частный случай дифференциальных уравнений с разделяющимися переменными, к которым они могут быть сведены. Для этого вводят новую неизвестную функцию z = y/x.
Тогда у = z ∙ х , а у' = z'х + z. Подставляя приведенные соотношения в (5), получим
z'x + z = f(z) или z'x = f(z) - z.
Полученное дифференциальное уравнение является уравнением с разделяющимися переменными.
Заменим в нем z' на dz/dx:
а затем умножим обе его части на dx
dz ∙ x = (f(z) - z) ∙ dx.
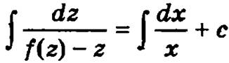
Далее, разделим обе части уравнения на х ∙ (f(z) - z), получим

Интегрируя приведенное выше соотношение
и возвращаясь к старой неизвестной функции y, делая замену z = y/x, получим общее решение исходного однородного дифференциального уравнения первого порядка.
Пример. Найти частное решение дифференциального уравнения
удовлетворяющее начальному условию y(1) = 0.
После введения новой неизвестной функции z = y/x (у = z ∙ х, а у' = z'x + z) дифференциальное уравнение примет вид

Умножая полеченное уравнение на dx
![]()
а затем деля на х (1 + z)5/2, получим

Для завершения построения общего решения проинтегрируем приведенное выше соотношение

Интеграл, стоящий в правой части, является табличным ![]()
В интеграле
сделаем замену переменной интегрирования

Тогда
а общее решение уравнение выразится в виде

Подставляя в общее решение х = 1, у = 0 (начальное условие), получим

Тогда при данном значении с общее решение примет вид, соответствующий определяемому частному решению
