Высшая математика мини-справочник для ВУЗов
Знакоположительные (знакопостоянные) числовые ряды - РЯДЫ
Ряд называется знакопостоянным, если все его члены положительны или все члены отрицательны.
Будем рассматривать знакоположительные ряды, у которых все члены-положительны. Ряды, у которых все члены отрицательны, легко сводятся к знакоположительным, если вынести за скобки знак минус, общий для всех членов ряда. Тогда в скобках останется знакоположительный ряд.
Признак Даламбера
Пусть дан знакоположительный ряд
Тогда если существует предел
то при q < 1 ряд сходится, при g > 1 ряд расходится, при q = 1 признак не решает вопроса о сходимости ряда.
Пример. Рассмотрим ряд 
Его общий член
Тогда

значит данный ряд сходится.
Признак Коши
Пусть дан знакоположительный ряд
Тогда если существует предел
то при r < 1 ряд сходится, при r > 1 ряд расходится, при r = 1 признак не решает вопроса о сходимости ряда.
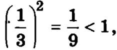
Пример. Рассмотрим ряд 
Общий член ряда
тогда
и 
следовательно, данный ряд сходится.
Интегральный признак сходимости
Пусть дан знакоположительный ряд
Тогда если существует непрерывная, монотонно убывающая функция f(x), такая, что аn = f(n), то данный ряд и несобственный интеграл
одновременно сходятся или расходятся.
Пример. Рассмотрим знакоположительный ряд
где s - некоторый положительный параметр. Такой ряд называют гармоническим. Очевидно в этом случае f(x) = 1/x8, так как f(n) = 1/n8. Тогда, исследуя несобственный интеграл, соответствующий данному ряду, получим

Значение полученного выше предела зависит от параметра s. Если s < 1, то предел равен ∞ и интеграл вместе с рассматриваемым рядом расходится, если s > 1, то предел равен 1/(1 - s) и интеграл вместе с рядом сходится.
Следует отметить, что приведенные выше формулы имеют смысл лишь при s ≠ 1, и случай s = 1 необходимо исследовать отдельно.
Рассмотрим ряд
которому соответствует несобственный интеграл
и значит данный ряд расходится.
Окончательно получаем следующий результат: гармонический ряд сходится при s > 1 и расходится при s ≤ 1.
Признак сравнения
Пусть даны два знакоположительных ряда
Тогда, если существует конечный, отличный от нуля предел
то оба ряда одновременно сходятся или одновременно расходятся.
Пример. Исследуем сходимость ряда

Рассмотрим поведение общего члена ряда для достаточно больших n
Если n достаточно велико, то величина n3 намного превосходит 3n и 5 и значит, последними двумя слагаемыми, стоящими в знаменателе под знаком квадратного корня, можно пренебречь:

Рассмотрим другой ряд
с которым будем сравнивать исследуемый ряд. Это гармонический ряд, у которого параметр s = 3/2 и, следовательно, этот ряд сходится. Вычислим предел 

Рассмотренный выше предел конечный и не равен нулю, значит, исходный ряд будет сходящимся.