Высшая математика мини-справочник для ВУЗов
Метод Гаусса - ЛИНЕЙНАЯ АЛГЕБРА
Рассмотрим еще один метод решения систем линейных уравнений, который может быть использован при решении любой системы. Этот метод основан на исключении неизвестных из уравнений и приведению системы к виду, в котором каждое уравнение содержит лишь одну неизвестную.
При исключении неизвестных из уравнений можно использовать следующие преобразования, которые позволяют перейти к другой системе линейных уравнений, эквивалентной исходной:
1) менять местами любые два уравнения системы;
2) умножать любое уравнение (то есть все слагаемые, стоящие в левой его части, и его правую часть) на любое число, не равное нулю;
3) прибавлять (или вычитать) к любому уравнению системы любое другое уравнение этой же системы, умноженное на некоторое число.
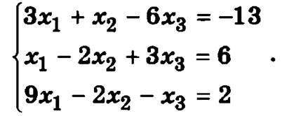
Рассмотрим конкретный пример и решим методом Гаусса следующую систему уравнений:

Поменяем местами первое и второе уравнения данной системы, чтобы коэффициент при неизвестной x1 в первом уравнении системы был равен 1. Это упростит дальнейшие преобразования.

Исключим неизвестное х1 из второго и третьего уравнений. Для этого вычтем из второго уравнения системы первое уравнение, умноженное на 3, а из третьего уравнения - первое уравнение, умноженное на 9:

Разделим третье уравнение полученной системы на 4:

Теперь следует исключить неизвестное х2 из третьего уравнения. Это можно достаточно легко сделать, если коэффициент при х2 во втором уравнении будет равен 1. Этого можно добиться, разделив второе уравнение системы на 7. Но в этом случае коэффициент второго уравнения при х3 и его правая часть будут являться дробными числами (равными соответственно -15/7 и -31/7). Чтобы избавиться от необходимости работать с дробными числами, поступим иначе. Вычтем из второго уравнения третье уравнение, умноженное на 2:

В результате получим во втором уравнении системы при неизвестном х2 коэффициент, равный -1, который тоже вполне устроит.
Прибавим к третьему уравнению полученной системы второе уравнение, умноженное на 4:

Делим третье уравнение на -11:

Полученный вид системы линейных уравнений называется треугольным видом. Для него характерно отсутствие неизвестного х1 во всех уравнениях системы, кроме первого, отсутствие неизвестного х2 во всех уравнениях системы, кроме первого и второго, и так далее.
Исключаем переменное х3 из первого и второго уравнений. Для этого прибавим ко второму уравнению системы третье уравнение, а из первого уравнения вычтем третье уравнение, умноженное на 3

Теперь для получения решения системы надо исключить неизвестное х2 из первого уравнения системы. Прибавим к первому уравнению второе уравнение, умноженное на -2, а затем умножим второе уравнение на -1:

Решим еще одну систему линейных уравнений:

Поменяем местами первое и второе уравнения системы.

Исключая неизвестное x1 из второго, третьего и четвертого уравнений системы, вычтем из второго уравнения первое уравнение, умноженное на 3, из третьего уравнения системы — первое уравнение, умноженное на 2, и из четвертого уравнения системы — первое уравнение, умноженное на 5:

Теперь, чтобы исключить неизвестное х2 из третьего и четвертого уравнений системы, необязательно добиваться единичного коэффициента при х2 во втором уравнении. Для этого достаточно из третьего уравнения вычесть второе уравнение, а из четвертого уравнения системы вычесть два вторых уравнения:

Очевидно, что два последних уравнения системы удовлетворяются при любых значениях входящих в них неизвестных. Поэтому их можно исключить из системы:

Полученный вид системы является треугольным. Он содержит два уравнения и пять неизвестных. Для решения систем уравнения в таких случаях, когда треугольный вид их содержит больше неизвестных, чем уравнений, все неизвестные делятся на базисные и свободные. Число базисных неизвестных должно равняться числу уравнений системы. Причем в качестве базисных можно выбирать такие неизвестные, коэффициенты которых образуют определитель, отличный от нуля. Например, в данном случае в качестве базисных неизвестных можно выбрать х1 и х2, так как определитель при этих неизвестных не равен нулю:

Оставшиеся свободные неизвестные переносятся в правую часть уравнений с противоположным знаком:

Полученную систему решают относительно базисных переменных х1 и х2.
Разделим второе уравнение системы на -7:

Исключая неизвестное x2 из первого уравнения, вычитая из первого уравнения второе уравнение системы, умноженное на 3, получим окончательное решение:

Полученное решение называется общим решением системы линейных уравнений.
В нем свободные неизвестные x3, x4, x5 могут принимать любые значения. Присваивая неизвестным x3, x4, x5 конкретные числовые значения, будем получать решения данной системы, которые называются частными. Например, полагая x3 = 1, x4 = -3, x5 = 5, получим

Тогда частным решением системы будет
