Высшая математика мини-справочник для ВУЗов
Закон больших чисел - ТЕОРИЯ ВЕРОЯТНОСТЕЙ
Закон больших чисел — это совокупность предложений, в которых утверждается, что с вероятностью сколь угодно близкой к единице отклонение средней арифметической достаточно большого числа случайных величин от постоянной величины, равной средней арифметической их математических ожиданий, не превзойдет заданного сколь угодно малого числа ε > 0.
Неравенство Маркова. Если случайная величина X не принимает отрицательных значений и δ — произвольная положительная величина, то вероятность того, что значения случайной величины X не превзойдут величины δ, не превысит 1 – a/δ, где а есть математическое ожидание X

Неравенство Чебышева. Вероятность того, что отклонение случайной величины от ее математического ожидания превзойдет по модулю положительное число 5, не больше дроби, числитель которой есть дисперсия случайной величины, а знаменатель — квадрат δ:

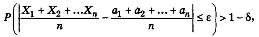
Теорема Чебышева. Если дисперсия попарно независимых случайных величин не превосходит заданного положительного числа С, то вероятность того, что абсолютное отклонение средней арифметической таких величин от средней арифметической их математических ожиданий меньше некоторого числа е, с возрастанием количества случайных величин становится сколь угодно близкой к единице

где X1, Х2, ..., Xn — случайные величины, a1, a2, ..., an — их математические ожидания, ε > 0, δ > 0.
Следствие из теоремы Чебышева. Если независимые случайные величины имеют одинаковые равные а математические ожидания, дисперсии их ограничены одной и той же постоянной С, а их число достаточно велико, то, как бы ни было мало данное число ε > 0, вероятность того, что отклонение средней арифметической этих случайных величин от а не превысит по абсолютной величине ε, сколь угодно близка к единице

Теорема Пуассона. Если вероятность рi наступления события А в i-м испытании (i = 1, 2, ..., n) не меняется, когда становится известным исход предыдущих испытаний, а число испытанийn достаточно велико, то вероятность того, что относительная частота события А будет сколь угодно мало отличаться от средней арифметической вероятностей pi, сколь угодно мала.
Теорема Бернулли. Если вероятность p наступления события А в каждом из n независимых испытаний постоянна, а число испытаний достаточно велико, то вероятность того, что относительная частота события А будет сколь угодно мало отличаться от его вероятности, сколь угодно близка к единице.
Теорема Ляпунова. Если имеется п независимых случайных величин X1, Х2, ..., Хn с математическими ожиданиями a1, а2, ..., аn и с дисперсиями D(X1), D(X2), ..., D(Xn), причем отклонения всех случайных величин от их математических ожиданий не превышают по абсолютной величине одного и того же числа ε > 0:
|Xi – ai| ≤ ε,
а все дисперсии ограничены одним и тем же числом С:
D(Хi) ≤ С,
то при достаточно большом п сумма случайных величин X1, Х2, ..., Хn будет подчинена закону распределения, как угодно близкому к закону нормального распределения.