Поурочное планирование по физике 7 класс к учебникам Перышкина А. В. и Громова С. В
Плавание тел - ДАВЛЕНИЕ ТВЕРДЫХ ТЕЛ, ЖИДКОСТЕЙ И ГАЗОВ
ЦЕЛЬ
Учащиеся должны усвоить, что:
♦ тело плавает на поверхности жидкости или всплывает в газе, если его средняя плотность меньше плотности среды;
♦ тело плавает внутри жидкости или газа, если его средняя плотность равна плотности среды;
♦ тело тонет в жидкости или газе, если его средняя плотность больше плотности среды.
Учащиеся должны научиться:
♦ предсказывать условия плавания тел;
♦ предсказывать плавание тел в конкретных ситуациях;
♦ выявлять и классифицировать информацию о плавании судов и воздухоплавании в виде таблицы 8.
Таблица 8
Информация о плавании судов я воздухоплавании
|
Устройство |
Принцип действия |
Величина, характеризующая устройство |
Область применения |
|
Судно (речное, морское) |
ватерлиния Fт = Fвыт |
Осадка Н Водоизмещение Грузоподъемность |
Научные исследования, транспорт |
|
Воздушный шар |
Изменение температуры t °C: FA > FT, подъем FA = FT, висит FA < FT, спуск
|
Подъемная сила F = Fa - Ft
|
Аэрофотосъемка, научные исследования; экскурсии |
ВИД ДОСКИ
Плавание тел
ФАКТ Поведение тел в среде зависит от соотношения FT и Fвыт
ПЗ 18. Сформулировать условия плавания тел в более простой форме.
ПРЕДСКАЗАНИЕ

ОБНАРУЖЕНИЕ
Идея вода 1 г/см3

ЭУ

|
Эксперимент |
Масса, г |
Плотность, г/см3 |
Поведение в воде |
|
10 |
0,67 |
погружено частично |
|
|
15 |
1,50 |
плавает внутри |
|
|
17 |
1,13 |
тонет |
ОТВЕТ Тело располагается в жидкости или газе в зависимости от соотношения между плотностью среды ρ и средней плотностью тела
Д/з. § 48 (8 письменно), 49, 50 (3—5 письменно), 51 (6-8 письменно). Изучить самостоятельно плавучие средства и летательные аппараты, описанные в § 50-51. Выяснить назначение, принцип действия, характеристики каждого технического объекта, область его применения, историю создания. Описать 3 объекта по своему усмотрению
СЦЕНАРИЙ
Этап актуализации знаний
П. Что вы знаете о действии жидкостей и газов на погруженные тела? (Организует ответы учащихся по моделям и формулам.)
В сказке про козлика, который умел считать до десяти, речное судно могло выдержать только десять пассажиров, при большем их числе судно могло пойти ко дну. Сформулируйте это условие на языке физики.
У. Если сила тяжести больше выталкивающей силы, тело в жидкости тонет; если же выталкивающая сила больше, то тело всплывает.
П. Зарисуйте действующие силы для трех случаев: тело тонет, всплывает, плавает внутри. Каково соотношение между силами тяжести и архимедовой в этих случаях? (Организует ответы учащихся.)
Мотивационный этап
П. Вопрос о плавании тел — очень важная практическая задача. Вы уже знаете, что в одной и той же жидкости, например в воде, одни тела плавают, а другие тонут. От каких свойств тел это зависит? И можно ли предсказать поведение тела в жидкости, не рассчитывая силу тяжести и выталкивающую силу? (Выслушивает соображения учащихся.)
Этап «создания» нового знания
П. Запишите познавательную задачу 18 «Условия плавания тел в более простой форме». Какие идеи есть по ее решению?
У. Нужно составить выражения для силы тяжести и архимедовой силы, подставить их в условие плавания и провести математические преобразования.
П. (Фиксирует основные шаги.) Проведите преобразования для второго случая. Приступайте к работе. У вас — 3 мин. (Организует проверку вывода.) Каково соотношение между плотностями жидкости и тела для первого и второго случаев? (Организует ответы учащихся.) Можно ли считать полученные соотношения истинными?
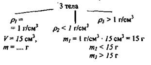
У. Их нужно проверить на опыте. Нужно взять жидкость известной плотности, например воду, ее плотность 1 г/см3, тела из разных веществ с плотностями 1 г/см3, больше и меньше 1 г/см3, пронаблюдать за их поведением в воде;
П. Где же взять вещество с такой же плотностью, как у воды?
У. Можно взять не сплошное тело, но у которого средняя плотность равна 1 г/см3.
П. В вашем распоряжении имеются пробирка с пробкой вместимостью 15 см3, песок речной и весы. Предложите, как изготовить такое тело?
У. Нужно насыпать в пробирку песок так, чтобы средняя плотность равнялась плотности воды.
П. Как это сделать? Какой должна быть масса пробирки с песком?
У. Поскольку плотность воды 1 г/см3, а объем пробирки с пробкой 15 см3, то масса пробирки с песком и пробкой должна быть равна 15 г.
П. Опишите процесс изготовления тела плотностью 1 г/см3.
У. Нужно уравновесить весы, положив предварительно на правую чашку лист бумаги для песка. Затем установить на левую чашку гири массой 15 г, а на правую положить пробирку с пробкой. Далее аккуратно насыпать песок на правую чашку до тех пор, пока не установится равновесие. Песок пересыпать в пробирку и закрыть ее пробкой, проконтролировать массу на весах.
П. Теперь изобразите схему экспериментальной установки для проверки условий плавания тел и таблицу (см. табл. 8) для записи результатов. У вас — 3 мин.
(Организует обсуждение схемы экспериментальной установки и таблицы.) Работать будем по группам1. Каждая группа исследует одно из полученных условий. (Раздает задания группам.) У вас — 10 мин.
(Организует обсуждение результатов эксперимента.)
Сформулируйте ответ на поставленную задачу.
У. Тело плавает на поверхности жидкости или всплывает в газе, если его средняя плотность меньше плотности среды. Тело плавает в среде, если его средняя плотность равна плотности среды. Тело тонет в жидкости или газе, если его средняя плотность больше плотности среды.
П. Запишите этот вывод и тему урока.
Домашнее задание
П. Изучите самостоятельно технические устройства: речное или морское судно, воздушный шар. Прочтите § 50-51 учебника и выясните назначение, принцип действия, характеристики каждого устройства и область его применения. Подготовьте таблицу (см. табл. 8) для домашней работы2.
Этап применения нового знания и контрольный этап
П. (Организует выполнение задания 67 и контроль.)
ДИДАКТИЧЕСКИЕ СРЕДСТВА
Лабораторный опыт: исследование поведения пробирки с песком в воде в зависимости от ее средней плотности.
Задания группам:
1) Проверьте, будет ли плавать на поверхности воды пробирка с песком, плотность которой меньше плотности воды.
2) Проверьте, утонет ли в воде пробирка с песком, плотность которой больше плотности воды.
3) Проверьте, будет ли плавать внутри воды пробирка с песком, плотность которой равна плотности воды.
1 Группа может состоять из двух и более человек. Одно и то же задание могут выполнять несколько групп.
2 Соответствующая таблица представлена в цели урока. Проверка домашнего задания проводится в начале следующего урока.


