Комбинированные летние задания за курс 1 класса 50 занятий по русскому языку и математике - 2017 год
ЗАНЯТИЕ 49
Дата ____________________
1. Запиши пословицы. Поставь ударения в словах последней пословицы.
Чистота — залог здоровья.
Ум да здоровье всего дороже.
Солнце, воздух и вода — наши лучшие друзья.

2. Заполни пропуски.
а) В слове осень __ слога, __ букв, __ звука.
б) В слове Иван __ слога, __ буквы, __ звука.
в) В слове лейка __ слога, __ букв, __ звуков.
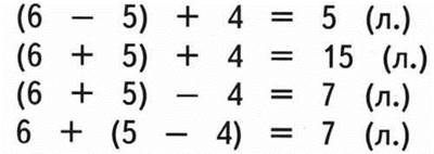
3. В магазине купили листы красной и зелёной бумаги. Когда израсходовали б листов красной и 5 листов зелёной бумаги, то осталось 4 листа. Сколько листов бумаги было куплено?
Подчеркни числовое выражение, которое является решением задачи.
