Полный справочник школьника 1-4 класссы - 2015 год
Вычитание двузначных чисел с переходом через десяток - СЛОЖЕНИЕ И ВЫЧИТАНИЕ - МАТЕМАТИКА
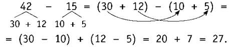
Запомни!
1. Представляем уменьшаемое в виде суммы удобных слагаемых.
2. Представляем вычитаемое в виде суммы разрядных слагаемых.
3. Вычитаем десятки, а затем единицы.
4. Складываем полученные разности.
Пример

Задания
1. Реши примеры.

2. Игра “Классики”. Пройди по классикам, двигаясь прямыми линиями с ответом ![]()
