Полный справочник школьника 1-4 класссы - 2015 год
Устное деление двузначного числа на однозначное - УМНОЖЕНИЕ И ДЕЛЕНИЕ - МАТЕМАТИКА
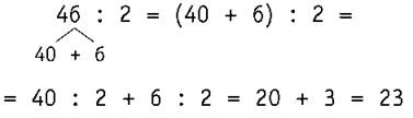
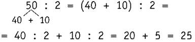
При делении двузначного числа на однозначное используется свойство деления суммы на число:
(a + b) : c = a : c + b : c
Пример 1
46 : 2

Пример 2
50 : 2

Пример 3
72 : 6

Такие случаи называют внетабличным делением.